Study on Axial Dispersion Characteristics of Double-Layer Prefabricated Fragments
Abstract
1. Introduction
2. Experimental Procedures
3. Experimental Results
4. Discussion
4.1. Classic Models for Fragment Velocity and Dispersion Calculation
4.2. Three-Stage Detonation Drive Model along the Axial Distribution
4.2.1. Detonation Wave Acceleration Stage
4.2.2. Metal–Medium Interaction Stage
4.2.3. Detonation Products Acceleration Stage
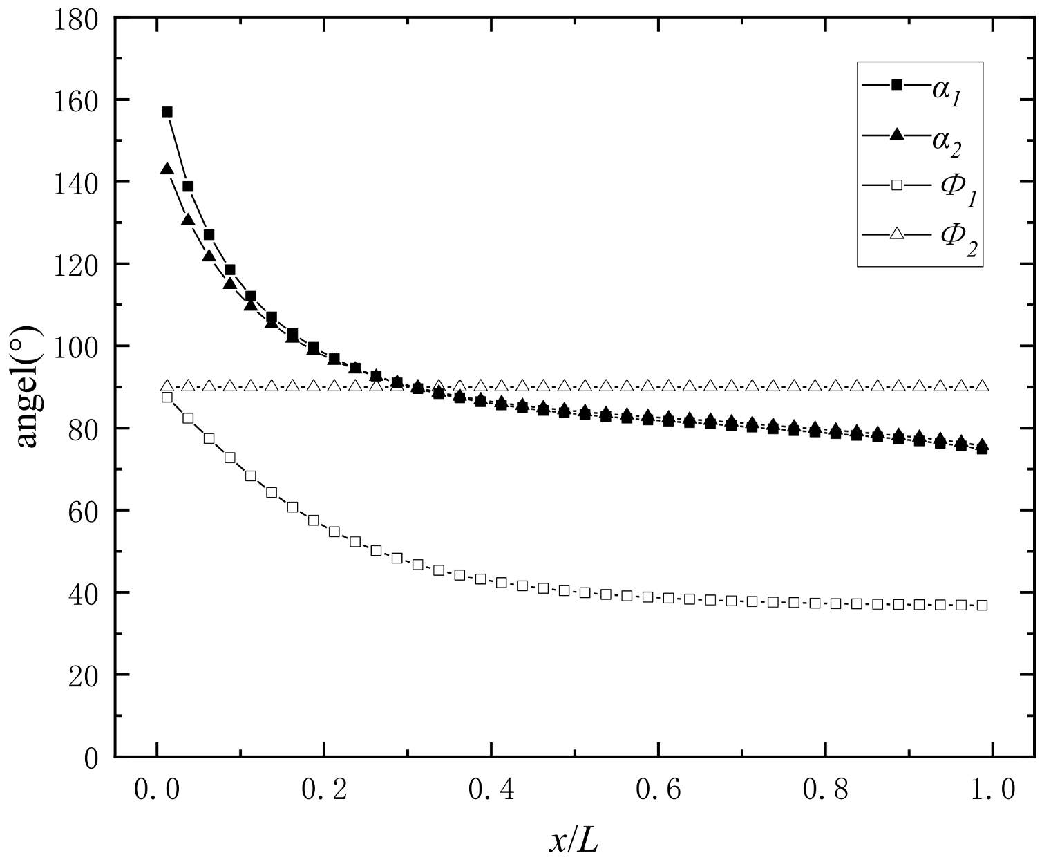
4.2.4. Direction Angle of Double-Layer Prefabricated Fragments
4.3. Simulation Results of the Three-Stage Detonation Drive Model
4.4. Comparison between Experimental Results and the Three-Stage Detonation Drive Model Calculation
4.5. Remarks about the Three-Stage Detonation Drive Model and Future Work
5. Conclusions
- (1)
- The energy of detonation products is enormous; therefore, the “detonation product acceleration stage” is the main stage in the three-stage detonation driving model of double-layer prefabricated fragments.
- (2)
- The De Marre formula can accurately describe the relationship between the initial velocity of prefabricated fragments and the penetration depth on the target.
- (3)
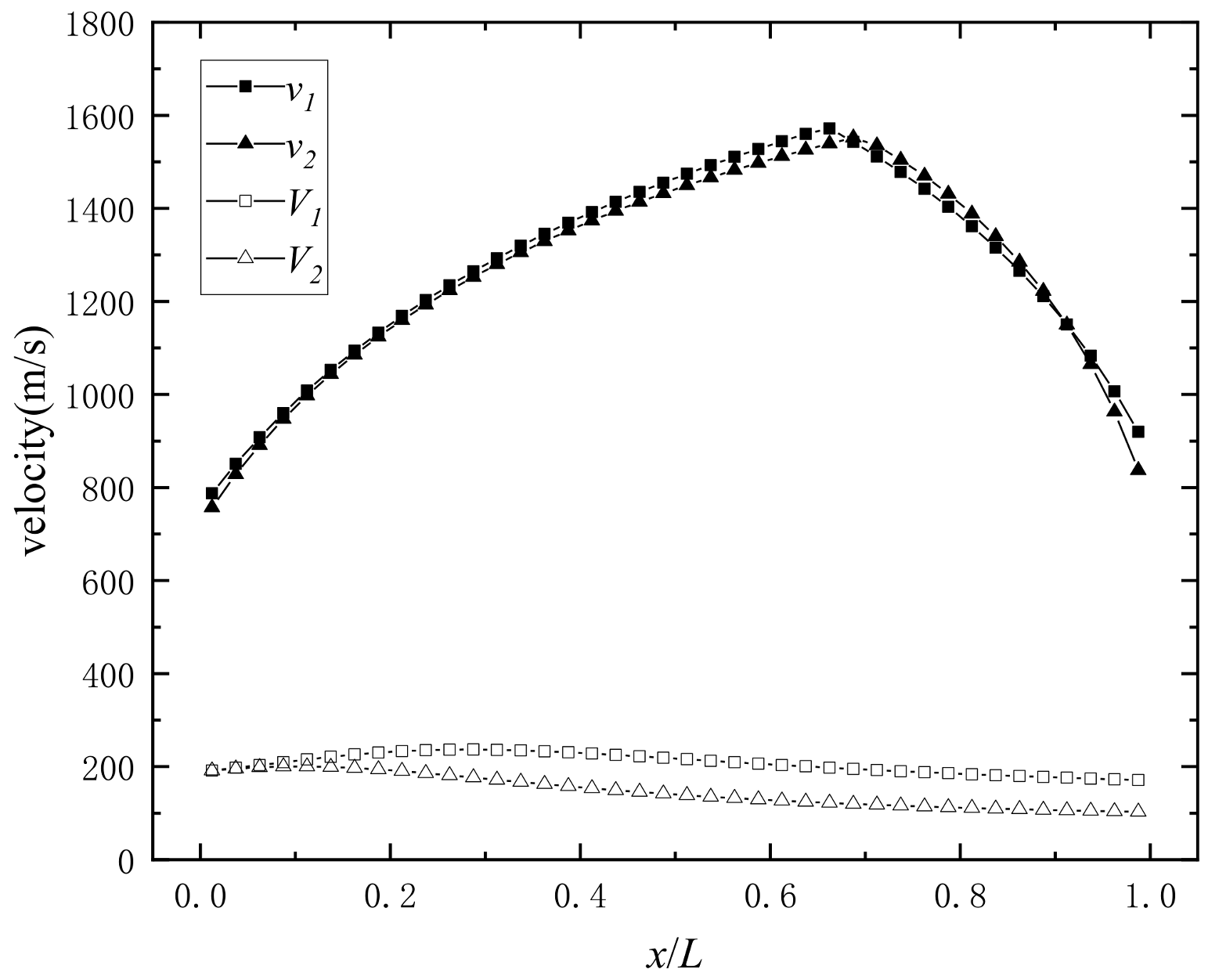
- With the increase in the distance between the prefabricated fragments and the initiation end, the initial velocity of the prefabricated fragment increases first and then decreases, while the maximum initial velocity of the prefabricated fragment appears at around x/L = 0.66.
- (4)
- The obstruction of the outer-layer fragment during the flow of detonation products reduces detonation products leaking from the inner-layer fragment area. The outer-layer fragments are surrounded by air, and there is no obvious obstruction to the outward flow of detonation products from the outer-layer fragments. Therefore, the energy utilization rate of the inner-layer fragment is 69%, which is higher than the value for the outer-layer fragments (56%).
- (5)
- The initial parameters of double-layer prefabricated fragments calculated from the three-stage detonation driving model are in good agreement with the test results. The model can provide theoretical support and a design scheme for the initial parameter design of double-layer prefabricated fragments warheads.
Author Contributions
Funding
Institutional Review Board Statement
Informed Consent Statement
Data Availability Statement
Conflicts of Interest
References
- Liu, H.; Huang, G.Y.; Guo, Z.W.; Feng, S.S. Fragments velocity distribution and estimating method of thin-walled cy-lindrical improvised explosive devices with different length-to-diameter ratios. Thin Wall Struct. 2022, 175, 109212. [Google Scholar] [CrossRef]
- Gao, Y.; Feng, S.S.; Xiao, X.; Feng, Y.; Huang, Q. Fragment characteristics from a cylindrical casing constrained at one end. Int. J. Mech. Sci. 2023, 248, 108186. [Google Scholar] [CrossRef]
- Zou, S.; Gu, W.; Ren, W.; Shen, C.; Chen, Z.; Hao, L. Functional damage assessment method for preformed fragment warheads to evaluate the effect on the phased-array antenna. Electronics 2023, 12, 1907. [Google Scholar] [CrossRef]
- Cullis, I.G.; Dunsmore, P.; Harrison, A.; Lewtas, I.; Townsley, R. Numerical simulation of the natural fragmentation of explosively loaded thick walled cylinders. Def. Technol. 2014, 10, 198–210. [Google Scholar] [CrossRef]
- Dhote, K.D.; Murthy, K.; Rajan, K.M. Dynamics of multi layered fragment separation by explosion. Int. J. Impact Eng. 2015, 75, 194–202. [Google Scholar] [CrossRef]
- Danel, J.F.; Kazandjian, L. A few remarks about the Gurney energy of condensed explosives. Prop. Explos. Pyrotech. 2004, 29, 314–316. [Google Scholar] [CrossRef]
- Snyman, I.M.; Mostert, F.J. Computation of fragment velocities and projection angles of an anti-aircraft round. In Proceedings of the South African Ballistics Organisation Conference, Pretoria, South Africa, 29 September–1 October 2014. [Google Scholar]
- Gurney, R.W. The Initial Velocities of Fragments from Bombs, Shell and Grenades; BRL Report No. 405; Aberdeen Proving Ground: Aberdeen, MD, USA, 1943. [Google Scholar]
- Felix, D.; Colwill, I.; Stipidis, E. Real-time calculation of fragment velocity for cylindrical warheads. Def. Technol. 2019, 15, 264–271. [Google Scholar] [CrossRef]
- Qian, L.X.; Liu, T.; Zhang, S.Q. Fragment shot-line model for air-defense warhead. Prop. Explos. Pyrotech. 2000, 25, 92–98. [Google Scholar]
- Huang, G.; Li, W.; Feng, S. Axial distribution of fragment velocities from cylindrical casing under explosive loading. Int. J. Impact Eng. 2015, 76, 20–27. [Google Scholar] [CrossRef]
- Pehrson, G.R. An Improved Equation for Calculating Fragment Projection Angle. In Proceedings of the 7th International Symposium on Ballistics, Hague, The Netherlands, 19–21 March 1976. [Google Scholar]
- Taylor, G.I. Analysis of the Explosion of a Long Cylindrical Bomb Detonated at One End; Cambridge University Press: Cambridge, UK, 1963; pp. 277–286. [Google Scholar]
- König, P.J. A correction for ejection angles of fragments from cylindrical wareheads. Prop. Explos. Pyrotech. 1987, 12, 154–157. [Google Scholar] [CrossRef]
- Li, R.; Li, W.B.; Wang, X.M. Effects of control parameters of three-point initiation on the formation of an explosively formed projectile with fins. Shock Waves 2018, 28, 191–204. [Google Scholar] [CrossRef]
- Wang, X.; Kong, X.; Zheng, C.; Wu, W. Effect of initiation manners on the scattering characteristics of semi-preformed fragment warhead. Def. Technol. 2018, 14, 578–584. [Google Scholar] [CrossRef]
- Hirsch, E. Improved gurney formulas for exploding cylinders and spheres using “hard core” approximation. Prop. Explos. Pyrotech. 1986, 11, 81–84. [Google Scholar] [CrossRef]
- Lindsay, C.M.; Butler, G.C.; Rumchik, C.G.; Schulze, B.; Gustafson, R. Increasing the utility of the copper cylinder expansion test. Prop. Explos. Pyrotech. 2010, 35, 433–439. [Google Scholar] [CrossRef]
- Backofen, J.E.; Weickert, C.A. Obtaining the Gurney energy constant for a two-step propulsion model. AIP Conf. Proc. 2002, 620, 958–961. [Google Scholar]
- Wang, W.; Zeng, L. Research status of numerical simulation of underwater explosion. Chin. J. Nav. Acad. Aero. Eng. 2006, 2, 209–216. [Google Scholar]
- Li, X.; Wang, W.; Liang, Z.; Ruan, X. Research progress on acceleration ability of explosive detonation to metal shells. Chin. J. Missile Arrow Guid. 2022, 42, 7–15. [Google Scholar]
- Wang, F.M.; Lu, F.Y.; Li, X.Y. Research on the projection characteristics of fragments under the loading of the oblique shock wave. Chin. J. Natl. Univ. Def. Technol. 2013, 35, 60–64. [Google Scholar]
- Chapman, D.L.; Oxon, B.A., VI. On the Rate of Explosion in Gases. Philos. Mag. 1899, 47, 90–104. [Google Scholar] [CrossRef]
- Charron, Y.J. Estimation of Velocity Distribution of Fragmenting Warheads Using a Modified Gurney Method. Ph.D. Thesis, Air Force Inst of Tech Wright-Pattersonafb Oh School of Engineering, Wright-Patterson Air Force Base, OH, USA, 1979. [Google Scholar]
- Grisaro, H.; Dancygier, A.N. Numerical study of velocity distribution of fragments caused by explosion of a cylin-drical cased charge. Int. J. Impact Eng. 2015, 86, 1–12. [Google Scholar] [CrossRef]
- Backofen, J.E. Modeling a material’s instantaneous velocity during acceleration driven by a detonation’s gas-push. AIP Conf. Proc. 2006, 845, 936–939. [Google Scholar]
















| Test | h0 (dm) | vb (m/s) |
|---|---|---|
| 1 | 0.0113 | 870 |
| 2 | 0.0198 | 1199 |
| 3 | 0.0262 | 1394 |
| 4 | 0.0321 | 1570 |
| Explosive | ρ0/(g·cm−3) | D/(m·s−1) | PCJ/GPa | A/GPa | B/GPa | R1 | R2 | Ω | E0/GPa |
|---|---|---|---|---|---|---|---|---|---|
| 8701 | 1.695 | 8450 | 29.66 | 854.5 | 20.49 | 4.6 | 1.35 | 0.25 | 9.5 |
| Parameters | 45 Carbon Steel | Tungsten Alloy |
|---|---|---|
| density/(g·cm−3) | 7.83 | 17.6 |
| shear modulus/GPa | 77.0 | 136 |
| Young’s modulus/GPa | 200 | 350 |
| Poisson ratio | 0.32 | 0.286 |
| A | 792 | / |
| B | 510 | / |
| N | 0.26 | / |
| C | 0.014 | / |
| M | 1.03 | / |
| am/(m/s) | 3574 | / |
| bm | 1.92 | / |
| a2/(m/s) | / | 4029 |
| b2 | / | 1.237 |
| Model | Parameters | Values |
|---|---|---|
| The axial distribution model of the initial velocity of double-layer prefabricated fragments | k1,1 | 0.0805 |
| k2,1 | 0.1450 | |
| kr1,1 | 1.0251 | |
| kr2,1 | 1.0354 | |
| ξ1 | 1.3887 | |
| k1,2 | 0.1135 | |
| k2,2 | 0.2510 | |
| kr1,2 | 1.0245 | |
| kr2,2 | 1.0424 | |
| ξ2 | 1.1207 | |
| The axial distribution model of the direction angle of double-layer prefabricated fragments | k3,1 | 5.9252 |
| k4,1 | 0.5143 | |
| k5,1 | 0.2878 | |
| k3,2 | 5.7807 | |
| k4,2 | 0.6312 | |
| k5,2 | 0.2717 |
Disclaimer/Publisher’s Note: The statements, opinions and data contained in all publications are solely those of the individual author(s) and contributor(s) and not of MDPI and/or the editor(s). MDPI and/or the editor(s) disclaim responsibility for any injury to people or property resulting from any ideas, methods, instructions or products referred to in the content. |
© 2023 by the authors. Licensee MDPI, Basel, Switzerland. This article is an open access article distributed under the terms and conditions of the Creative Commons Attribution (CC BY) license (https://creativecommons.org/licenses/by/4.0/).
Share and Cite
He, Y.; Guo, L.; Wang, C.; Du, J.; Wang, H.; He, Y. Study on Axial Dispersion Characteristics of Double-Layer Prefabricated Fragments. Materials 2023, 16, 3966. https://doi.org/10.3390/ma16113966
He Y, Guo L, Wang C, Du J, Wang H, He Y. Study on Axial Dispersion Characteristics of Double-Layer Prefabricated Fragments. Materials. 2023; 16(11):3966. https://doi.org/10.3390/ma16113966
Chicago/Turabian StyleHe, Yuan, Lei Guo, Chuanting Wang, Jinyi Du, Heng Wang, and Yong He. 2023. "Study on Axial Dispersion Characteristics of Double-Layer Prefabricated Fragments" Materials 16, no. 11: 3966. https://doi.org/10.3390/ma16113966
APA StyleHe, Y., Guo, L., Wang, C., Du, J., Wang, H., & He, Y. (2023). Study on Axial Dispersion Characteristics of Double-Layer Prefabricated Fragments. Materials, 16(11), 3966. https://doi.org/10.3390/ma16113966

