Investigation of the Properties of 316L Stainless Steel after AM and Heat Treatment
Abstract
1. Introduction
2. Materials and Methods
2.1. Materials
2.2. Production of Samples Using L-PBF Technology
2.3. Heat Treatment and Microstructure
2.4. Static Tensile Test
3. Results
3.1. Static Tensile Test
3.2. Microstructure Analysis of the as-Built Samples
3.3. Microstructure Analysis of Samples after Heat Treatment
4. Discussion
4.1. Analysis of the Investigated Material
4.2. Characteristics of the Microstructure after L-PBF
4.3. Grain Development in L-PBF after Heat Treatment
- -
- Directly after L-PBF, an austenitic structure with a large number of subgrains is formed. The resulting subgrains are made up of a large number of dislocations. Dislocation tangles on the subgrain boundaries are visible on TEM images of the HT0 state (Figure 16). The authors of [25,65,66,67] described the causes of the dislocation substructure based on internal thermal stresses, and stated that L-PBF technology has elements of plastic deformation. The high density of the dislocations and the occurrence of nano twins in the structure confirmed this fact. Plastic deformation as a secondary effect of internal thermal stresses is induced by high-energy laser energy in combination with rapid cooling .
- -
- After being heated to 1050 °C, dislocations are gradually annihilated. Subgrain dislocation boundaries are still visible at their original locations. The reduction of the dislocation density is visible in the TEM images of the HT2 state. The cellular dislocation subgrains retain their original position, as documented by the TEM images of the HT2 state and the EBSD analysis of the small-angle boundaries compared to the HT0 state. There is an increase in the size of the precipitates from the original of approximately 15 nm to 150 nm and more. After heating to a temperature of 1050 °C, the size of the grains is not affected, and they remain approximately the same size.
- -
- Based on works [24,68], it can be concluded that at temperatures of 1200 °C and higher, dislocations are annihilated. In the temperature range of 1200 °C, new subgrains with irregular shapes are formed. The new subgrains are approximately 1 µm in size and continue to be bounded by wide-angle boundaries.
- -
- At temperatures higher than 1250 °C, small-angle subgrain boundaries are transformed into large-angle new grain boundaries. Abnormal grain growth may occur during this transformation. At temperatures of 1250 °C and above, the resulting grains have a size of approximately 30–50 µm [28].
5. Conclusions
- -
- After L-PBF, a specific substructure was observed in the structure, which is typical for the given technology. Individual grains were formed by low-angle subgrains, which were formed by cellular dislocation subgrains, with . The proportion of low-angle boundaries was 87%. The size of the cellular dislocation subgrains was in the interval ;
- -
- After the selected heat treatment, the proportion of low- and high-angle boundaries did not change. The proportion of low-angle boundaries was 86%. The heat treatment did not affect the orientation of the grains, which were preferentially oriented in the plane with the direction;
- -
- Heat treatment did not have a significant effect on the size of the individual grains either. For the HT0 state, , and for the HT2 state, ;
- -
- TEM EDS analysis pointed to the precipitation of Cr and Ni elements at the boundaries of the cellular dislocation subgrains. The formation of oxide particles MnSiO2, CrSiO2, (Mn, Cr2)O4, and MnO2, whose dispersion in the structure was random, was monitored. Cr23C6 carbide particles were concentrated on the grain boundaries;
- -
- TEM analyses showed that after the heat treatment HT2, there was a significant reduction in the number of dislocations and an increase in precipitates size by ~100 nm;
- -
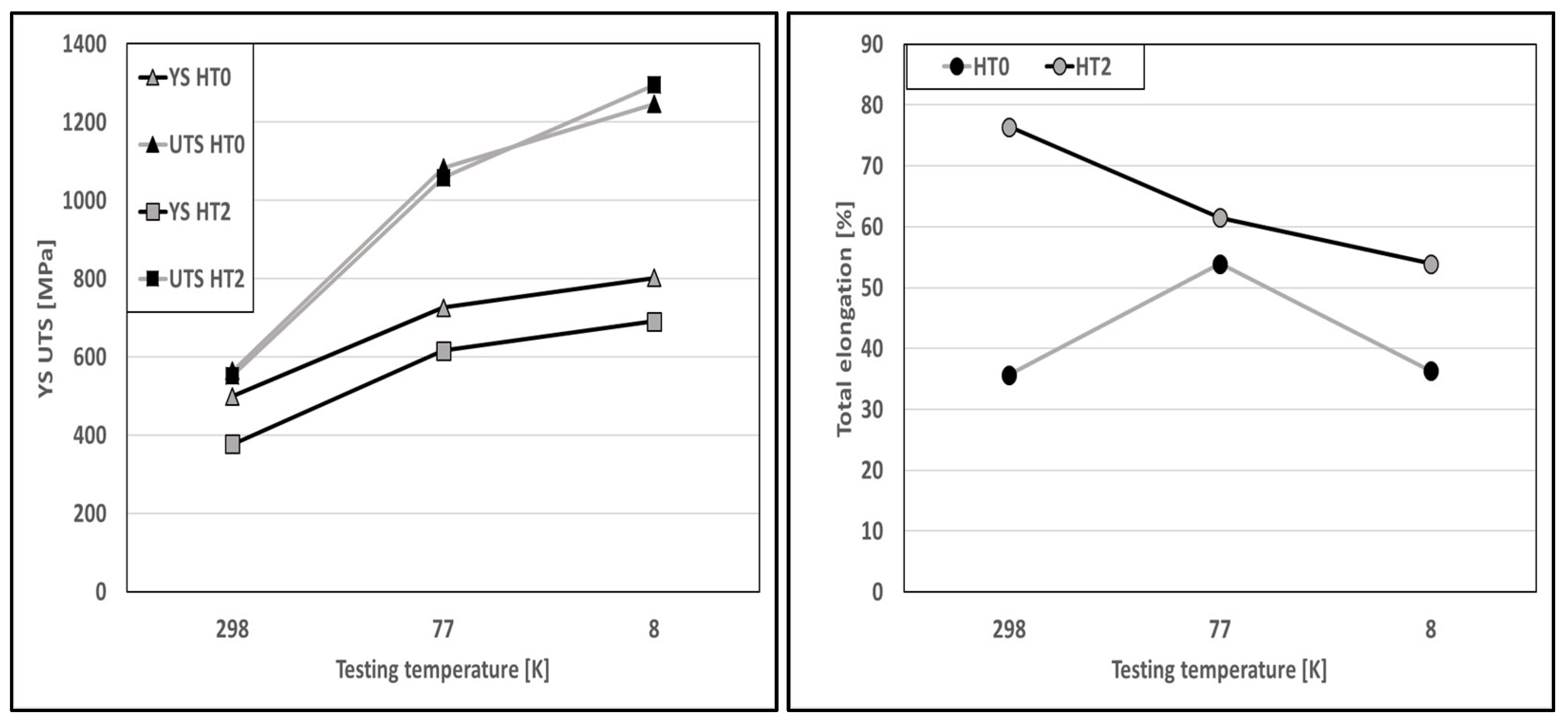
- From the performed analyses of the mechanical properties of the initial state HT0, and the heat-treated state HT2, at , it is possible to observe a significant increase in strength properties when the testing temperature is reduced;
- -
- The achieved mechanical and microstructural properties of the 316L stainless steel produced by L-PBF are significant for the field of material science and their use in the energy industry has a high potential.
Author Contributions
Funding
Institutional Review Board Statement
Informed Consent Statement
Data Availability Statement
Conflicts of Interest
References
- Trevisan, F.; Calignano, F.; Lorusso, M.; Pakkanen, J.; Aversa, A.; Ambrosio, E.P.; Lombardi, M.; Fino, P.; Manfredi, D. On the Selective Laser Melting (SLM) of the AlSi10Mg Alloy: Process, Microstructure, and Mechanical Properties. Materials 2017, 10, 76. [Google Scholar] [CrossRef] [PubMed]
- Ngo, T.D.; Kashani, A.; Imbalzano, G.; Nguyen, K.T.Q.; Hui, D. Additive Manufacturing (3D Printing): A Review of Materials, Methods, Applications and Challenges. Compos. Part B Eng. 2018, 143, 172–196. [Google Scholar] [CrossRef]
- Hajare, D.M.; Gajbhiye, T.S. Additive Manufacturing (3D Printing): Recent Progress on Advancement of Materials and Challenges. Mater. Today Proc. 2022, 58, 736–743. [Google Scholar] [CrossRef]
- Olakanmi, E.O.; Cochrane, R.F.; Dalgarno, K.W. A Review on Selective Laser Sintering/Melting (SLS/SLM) of Aluminium Alloy Powders: Processing, Microstructure, and Properties. Prog. Mater. Sci. 2015, 74, 401–477. [Google Scholar] [CrossRef]
- Dzogbewu, T.C.; de Beer, D. Powder Bed Fusion of Multimaterials. J. Manuf. Mater. Process. 2023, 7, 15. [Google Scholar] [CrossRef]
- Sehhat, M.H.; Mahdianikhotbesara, A. Powder Spreading in Laser-Powder Bed Fusion Process. Granul. Matter 2021, 23, 89. [Google Scholar] [CrossRef]
- Lim, J.J.H.; Malheiros, A.R.C.; Bertali, G.; Long, C.J.; Freyer, P.D.; Burke, M.G. Comparison of Additive Manufactured and Conventional 316L Stainless Steels. Microsc. Microanal. 2015, 21, 467–468. [Google Scholar] [CrossRef]
- Bidulsky, R.; Petrousek, P.; Bidulska, J.; Hudak, R.; Zivcak, J.; Grande, M.A. Porosity Quantification of Additive Manufactured Ti6al4v and CoCrW Alloys Produced by L-PBF. Arch. Metall. Mater. 2022, 67, 83–89. [Google Scholar] [CrossRef]
- Sohrabpoor, H.; Salarvand, V.; Lupoi, R.; Chu, Q.; Li, W.; Aldwell, B.; Stanley, W.; O’Halloran, S.; Raghavendra, R.; Choi, C.-H.; et al. Microstructural and Mechanical Evaluation of Post-Processed SS 316L Manufactured by Laser-Based Powder Bed Fusion. J. Mater. Res. Technol. 2021, 12, 210–220. [Google Scholar] [CrossRef]
- Cooke, A.; Slotwinski, J. Properties of Metal Powders for Additive Manufacturing: A Review of the State of the Art of Metal Powder Property Testing; NIST IR 7873; National Institute of Standards and Technology: Gaithersburg, MD, USA, 2012. [Google Scholar]
- Petrousek, P.; Kvackaj, T.; Kocisko, R.; Bidulska, J.; Luptak, M.; Manfredi, D.; Grande, M.A.; Bidulsky, R. Influence of Cryorolling on Properties of L-Pbf 316l Stainless Steel Tested at 298k and 77k. Acta Metall. Slovaca 2019, 25, 283–290. [Google Scholar] [CrossRef]
- Chen, X.; Li, J.; Cheng, X.; Wang, H.; Huang, Z. Effect of Heat Treatment on Microstructure, Mechanical and Corrosion Properties of Austenitic Stainless Steel 316L Using Arc Additive Manufacturing. Mater. Sci. Eng. A 2018, 715, 307–314. [Google Scholar] [CrossRef]
- Liu, J.; Song, Y.; Chen, C.; Wang, X.; Li, H.; Zhou, C.; Wang, J.; Guo, K.; Sun, J. Effect of Scanning Speed on the Microstructure and Mechanical Behavior of 316L Stainless Steel Fabricated by Selective Laser Melting. Mater. Des. 2020, 186, 108355. [Google Scholar] [CrossRef]
- Larimian, T.; AlMangour, B.; Grzesiak, D.; Walunj, G.; Borkar, T. Effect of Laser Spot Size, Scanning Strategy, Scanning Speed, and Laser Power on Microstructure and Mechanical Behavior of 316L Stainless Steel Fabricated via Selective Laser Melting. J. Mater. Eng. Perform. 2022, 31, 2205–2224. [Google Scholar] [CrossRef]
- Chen, Z.; Lu, Y.; Luo, F.; Zhang, S.; Wei, P.; Yao, S.; Wang, Y. Effect of Laser Scanning Speed on the Microstructure and Mechanical Properties of Laser-Powder-Bed-Fused K418 Nickel-Based Alloy. Materials 2022, 15, 3045. [Google Scholar] [CrossRef] [PubMed]
- Chai, R.; Zhang, Y.; Zhong, B.; Zhang, C. Effect of Scan Speed on Grain and Microstructural Morphology for Laser Additive Manufacturing of 304 Stainless Steel. Rev. Adv. Mater. Sci. 2021, 60, 744–760. [Google Scholar] [CrossRef]
- Pinto, F.C.; Aota, L.S.; Souza Filho, I.R.; Raabe, D.; Sandim, H.R.Z. Recrystallization in Non-Conventional Microstructures of 316L Stainless Steel Produced via Laser Powder-Bed Fusion: Effect of Particle Coarsening Kinetics. J. Mater. Sci. 2022, 57, 9576–9598. [Google Scholar] [CrossRef]
- Ioki, K.; Barabash, V.; Cardella, A.; Elio, F.; Gohar, Y.; Janeschitz, G.; Johnson, G.; Kalinin, G.; Lousteau, D.; Onozuka, M.; et al. Design and Material Selection for ITER First Wall/Blanket, Divertor and Vacuum Vessel. J. Nucl. Mater. 1998, 258–263, 74–84. [Google Scholar] [CrossRef]
- Ioki, K.; Dänner, W.; Koizumi, K.; Krylov, V.A.; Cardella, A.; Elio, F.; Onozuka, M.; ITER Joint Central Team; ITER Home Teams. ITER-FEAT Vacuum Vessel and Blanket Design Features and Implications for the R&D Programme. Nucl. Fusion 2001, 41, 265. [Google Scholar] [CrossRef]
- Moon, H.; Park, S.-H.; Kim, H.-S.; Kim, B.S. Evaluation of the Functional Acceptability of the ITER Vacuum Vessel. Nucl. Fusion 2022, 63, 016003. [Google Scholar] [CrossRef]
- Nishi, H.; Eto, M.; Tachibana, K.; Koizumi, K.; Nakahira, M.; Takahashi, H. Fatigue Behavior on Weldment of Austenitic Stainless Steel for ITER Vacuum Vessel. Fusion Eng. Des. 2001, 58–59, 869–873. [Google Scholar] [CrossRef]
- Nemanič, V.; Žumer, M.; Kovač, J. Hydrogen Permeability of AISI 316 ITER Grade Stainless Steel. J. Nucl. Mater. 2019, 521, 38–44. [Google Scholar] [CrossRef]
- Ellis, E.A.I.; Sprayberry, M.A.; Ledford, C.; Hankwitz, J.P.; Kirka, M.M.; Rock, C.D.; Horn, T.J.; Katoh, Y.; Dehoff, R.R. Processing of Tungsten through Electron Beam Melting. J. Nucl. Mater. 2021, 555, 153041. [Google Scholar] [CrossRef]
- Zhong, Y.; Rännar, L.-E.; Wikman, S.; Koptyug, A.; Liu, L.; Cui, D.; Shen, Z. Additive Manufacturing of ITER First Wall Panel Parts by Two Approaches: Selective Laser Melting and Electron Beam Melting. Fusion Eng. Des. 2017, 116, 24–33. [Google Scholar] [CrossRef]
- Pham, M.S.; Dovgyy, B.; Hooper, P.A. Twinning Induced Plasticity in Austenitic Stainless Steel 316L Made by Additive Manufacturing. Mater. Sci. Eng. A 2017, 704, 102–111. [Google Scholar] [CrossRef]
- Chen, X.; Li, J.; Cheng, X.; He, B.; Wang, H.; Huang, Z. Microstructure and Mechanical Properties of the Austenitic Stainless Steel 316L Fabricated by Gas Metal Arc Additive Manufacturing. Mater. Sci. Eng. A 2017, 703, 567–577. [Google Scholar] [CrossRef]
- Gong, H.; Snelling, D.; Kardel, K.; Carrano, A. Comparison of Stainless Steel 316L Parts Made by FDM- and SLM-Based Additive Manufacturing Processes. JOM 2019, 71, 880–885. [Google Scholar] [CrossRef]
- Zhong, Y.; Rännar, L.-E.; Liu, L.; Koptyug, A.; Wikman, S.; Olsen, J.; Cui, D.; Shen, Z. Additive Manufacturing of 316L Stainless Steel by Electron Beam Melting for Nuclear Fusion Applications. J. Nucl. Mater. 2017, 486, 234–245. [Google Scholar] [CrossRef]
- Bidulsky, R.; Gobber, F.S.; Bidulska, J.; Ceroni, M.; Kvackaj, T.; Grande, M.A. Coated Metal Powders for Laser Powder Bed Fusion (L-PBF) Processing: A Review. Metals 2021, 11, 1831. [Google Scholar] [CrossRef]
- Kočiško, R.; Kvačkaj, T.; Bidulská, J.; Bidulský, R.; Petroušek, P.; Pokorný, I.; Lupták, M.; Actis Grande, M. Evaluation of Powder Metallurgy Workpiece Prepared by Equal Channel Angular Rolling. Materials 2023, 16, 601. [Google Scholar] [CrossRef]
- Stornelli, G.; Gaggia, D.; Rallini, M.; Schino, A.D. Heat Treatment Effect on Maraging Steel Manufactured by Laser Powder Bed Fusion Technology: Microstructure and Mechanical Properties. Acta Metall. Slovaca 2021, 27, 122–126. [Google Scholar] [CrossRef]
- Ridolfi, M.R.; Folgarait, P.; Schino, A.D. Modelling of Selective Laser Melting Process for Additive Manufacturing. Acta Metall. Slovaca 2020, 26, 7–10. [Google Scholar] [CrossRef]
- Weiss, K.-P.; Hetzler, S.; Kvackaj, T.; Bidulsky, R.; Grande, M.A.; Manfredi, D. Cryogenic Material Properties of Additive Manufactured 316L Stainless Steel. IOP Conf. Ser. Mater. Sci. Eng. 2022, 1241, 012047. [Google Scholar] [CrossRef]
- Pasebani, S.; Ghayoor, M.; Badwe, S.; Irrinki, H.; Atre, S.V. Effects of Atomizing Media and Post Processing on Mechanical Properties of 17-4 PH Stainless Steel Manufactured via Selective Laser Melting. Addit. Manuf. 2018, 22, 127–137. [Google Scholar] [CrossRef]
- Woźniak, A.; Staszuk, M.; Reimann, Ł.; Bialas, O.; Brytan, Z.; Voinarovych, S.; Kyslytsia, O.; Kaliuzhnyi, S.; Basiaga, M.; Admiak, M. The Influence of Plasma-Sprayed Coatings on Surface Properties and Corrosion Resistance of 316L Stainless Steel for Possible Implant Application. Arch. Civ. Mech. Eng. 2021, 21, 148. [Google Scholar] [CrossRef]
- Mahmood, M.A.; Chioibasu, D.; Ur Rehman, A.; Mihai, S.; Popescu, A.C. Post-Processing Techniques to Enhance the Quality of Metallic Parts Produced by Additive Manufacturing. Metals 2022, 12, 77. [Google Scholar] [CrossRef]
- Schino, A.D.; Fogarait, P.; Corapi, D.; Pietro, O.D.; Zitelli, C. Austenitic Stainless Steels Manufacturing by Laser Powder Bed Fusion Technique. Acta Metall. Slovaca 2020, 26, 24–26. [Google Scholar] [CrossRef]
- Davies, C.M.; Zhou, R.; Withnell, O.; Williams, R.; Ronneberg, T.; Hooper, P.A. Fracture Toughness Behaviour of 316L Stainless Steel Samples Manufactured Through Selective Laser Melting. In Proceedings of the ASME 2018 Pressure Vessels and Piping Conference, Prague, Czech Republic, 15–20 July 2018; Volume 6A: Materials and Fabrication. [Google Scholar]
- Hong, Y.; Zhou, C.; Zheng, Y.; Zhang, L.; Zheng, J. The Cellular Boundary with High Density of Dislocations Governed the Strengthening Mechanism in Selective Laser Melted 316L Stainless Steel. Mater. Sci. Eng. A 2021, 799, 140279. [Google Scholar] [CrossRef]
- Li, Y.; Krajňák, T.; Podaný, P.; Veselý, J.; Džugan, J. Thermal Stability of Dislocation Structure and Its Effect on Creep Property in Austenitic 316L Stainless Steel Manufactured by Directed Energy Deposition. Mater. Sci. Eng. A 2023, 873, 144981. [Google Scholar] [CrossRef]
- Kaschel, F.R.; Celikin, M.; Dowling, D.P. Effects of Laser Power on Geometry, Microstructure and Mechanical Properties of Printed Ti-6Al-4V Parts. J. Mater. Process. Technol. 2020, 278, 116539. [Google Scholar] [CrossRef]
- Larimian, T.; Kannan, M.; Grzesiak, D.; AlMangour, B.; Borkar, T. Effect of Energy Density and Scanning Strategy on Densification, Microstructure and Mechanical Properties of 316L Stainless Steel Processed via Selective Laser Melting. Mater. Sci. Eng. A 2020, 770, 138455. [Google Scholar] [CrossRef]
- Cobbinah, P.V.; Nzeukou, R.A.; Onawale, O.T.; Matizamhuka, W.R. Laser Powder Bed Fusion of Potential Superalloys: A Review. Metals 2021, 11, 58. [Google Scholar] [CrossRef]
- Bean, C.; Wang, F.; Charpagne, M.A.; Villechaise, P.; Valle, V.; Agnew, S.R.; Gianola, D.S.; Pollock, T.M.; Stinville, J.C. Heterogeneous Slip Localization in an Additively Manufactured 316L Stainless Steel. Int. J. Plast. 2022, 159, 103436. [Google Scholar] [CrossRef]
- Sprouster, D.J.; Streit Cunningham, W.; Halada, G.P.; Yan, H.; Pattammattel, A.; Huang, X.; Olds, D.; Tilton, M.; Chu, Y.S.; Dooryhee, E.; et al. Dislocation Microstructure and Its Influence on Corrosion Behavior in Laser Additively Manufactured 316L Stainless Steel. Addit. Manuf. 2021, 47, 102263. [Google Scholar] [CrossRef]
- Sabzi, H.E.; Hernandez-Nava, E.; Li, X.-H.; Fu, H.; San-Martín, D.; Rivera-Díaz-del-Castillo, P.E.J. Strengthening Control in Laser Powder Bed Fusion of Austenitic Stainless Steels via Grain Boundary Engineering. Mater. Des. 2021, 212, 110246. [Google Scholar] [CrossRef]
- Bidulský, R.; Bidulská, J.; Gobber, F.S.; Kvačkaj, T.; Petroušek, P.; Actis-Grande, M.; Weiss, K.-P.; Manfredi, D. Case Study of the Tensile Fracture Investigation of Additive Manufactured Austenitic Stainless Steels Treated at Cryogenic Conditions. Materials 2020, 13, 3328. [Google Scholar] [CrossRef] [PubMed]
- ASTM E8/E8M-16; Standard Test Methods for Tension Testing of Metallic Materials. ASTM International: West Conshohocken, PA, USA, 2016.
- ASTM E1450-16; Standard Test Method for Tension Testing of Structural Alloys in Liquid Helium. ASTM International: West Conshohocken, PA, USA, 2016.
- Petroušek, P.; Bidulská, J.; Bidulský, R.; Kočiško, R.; Fedorikova Rozsypalova, A.; Hudak, R.; Rajtukova, V.; Zivcak, J. Mechanical Properties and Porosity of Ti-6Al-4V Alloy Prepared by AM Technology. MM Sci. J. 2017, 2017, 1752–1755. [Google Scholar] [CrossRef]
- Bidulská, J.; Bidulský, R.; Actis Grande, M.; Kvačkaj, T. Different Formation Routes of Pore Structure in Aluminum Powder Metallurgy Alloy. Materials 2019, 12, 3724. [Google Scholar] [CrossRef]
- Bidulska, J.; Kvackaj, T.; Kocisko, R.; Bidulsky, R.; Grande, M.A.; Donic, T.; Martikan, M. Influence of ECAP-Back Pressure on the Porosity Distribution. Acta Phys. Pol. A 2010, 117, 864–868. [Google Scholar] [CrossRef]
- Yap, C.Y.; Chua, C.K.; Dong, Z.L.; Liu, Z.H.; Zhang, D.Q.; Loh, L.E.; Sing, S.L. Review of Selective Laser Melting: Materials and Applications. Appl. Phys. Rev. 2015, 2, 041101. [Google Scholar] [CrossRef]
- Sharon, A.; Itzhak, D. Mechanical Properties of Sintered Austenitic Stainless Steel—Effect of Silicon Addition. Mater. Sci. Eng. A 1992, 157, 145–149. [Google Scholar] [CrossRef]
- Ni, X.; Kong, D.; Wu, W.; Zhang, L.; Dong, C.; He, B.; Lu, L.; Wu, K.; Zhu, D. Corrosion Behavior of 316L Stainless Steel Fabricated by Selective Laser Melting Under Different Scanning Speeds. J. Mater. Eng. Perform. 2018, 27, 3667–3677. [Google Scholar] [CrossRef]
- Sůkal, J.; Paloušek, D.; Koutny, D. The Effect of Recycling Powder Steel on Porosity and Surface Roughness of SLM Parts. MM Sci. J. 2018, 12, 2643–2647. [Google Scholar] [CrossRef]
- Yan, C.; Hao, L.; Hussein, A.; Young, P.; Huang, J.; Zhu, W. Microstructure and Mechanical Properties of Aluminium Alloy Cellular Lattice Structures Manufactured by Direct Metal Laser Sintering. Mater. Sci. Eng. A 2015, 628, 238–246. [Google Scholar] [CrossRef]
- Calignano, F.; Manfredi, D.; Ambrosio, E.P.; Biamino, S.; Lombardi, M.; Atzeni, E.; Salmi, A.; Minetola, P.; Iuliano, L.; Fino, P. Overview on Additive Manufacturing Technologies. Proc. IEEE 2017, 105, 593. [Google Scholar] [CrossRef]
- Frazier, W.E. Metal Additive Manufacturing: A Review. J. Mater. Eng. Perform. 2014, 23, 1917–1928. [Google Scholar] [CrossRef]
- Herderick, E.D. Additive Manufacturing in the Minerals, Metals, and Materials Community: Past, Present, and Exciting Future. JOM 2016, 68, 721–723. [Google Scholar] [CrossRef]
- Dutta, B.; Froes, F.H.S. The Additive Manufacturing (AM) of Titanium Alloys. Met. Powder Rep. 2017, 72, 96–106. [Google Scholar] [CrossRef]
- Popovich, V.A.; Borisov, E.V.; Popovich, A.A.; Sufiiarov, V.S.; Masaylo, D.V.; Alzina, L. Functionally Graded Inconel 718 Processed by Additive Manufacturing: Crystallographic Texture, Anisotropy of Microstructure and Mechanical Properties. Mater. Des. 2017, 114, 441–449. [Google Scholar] [CrossRef]
- Lu, Y.; Wu, S.; Gan, Y.; Zhang, S.; Guo, S.; Lin, J.; Lin, J. Microstructure, Mechanical Property and Metal Release of As-SLM CoCrW Alloy under Different Solution Treatment Conditions. J. Mech. Behav. Biomed. Mater. 2016, 55, 179–190. [Google Scholar] [CrossRef]
- Wang, X.; Gong, X.; Chou, K. Scanning Speed Effect on Mechanical Properties of Ti-6Al-4V Alloy Processed by Electron Beam Additive Manufacturing. Procedia Manuf. 2015, 1, 287–295. [Google Scholar] [CrossRef]
- Trelewicz, J.R.; Halada, G.P.; Donaldson, O.K.; Manogharan, G. Microstructure and Corrosion Resistance of Laser Additively Manufactured 316L Stainless Steel. JOM 2016, 68, 850–859. [Google Scholar] [CrossRef]
- Yan, F.; Xiong, W.; Faierson, E.J. Grain Structure Control of Additively Manufactured Metallic Materials. Materials 2017, 10, 1260. [Google Scholar] [CrossRef]
- Gray, G.T.; Livescu, V.; Rigg, P.A.; Trujillo, C.P.; Cady, C.M.; Chen, S.R.; Carpenter, J.S.; Lienert, T.J.; Fensin, S.J. Structure/Property (Constitutive and Spallation Response) of Additively Manufactured 316L Stainless Steel. Acta Mater. 2017, 138, 140–149. [Google Scholar] [CrossRef]
- Zhong, Y.; Liu, L.; Wikman, S.; Cui, D.; Shen, Z. Intragranular Cellular Segregation Network Structure Strengthening 316L Stainless Steel Prepared by Selective Laser Melting. J. Nucl. Mater. 2016, 470, 170–178. [Google Scholar] [CrossRef]
















| P (W) | SS (mm·s−1) | hd (mm) | S1 (mm) |
|---|---|---|---|
| 195 | 800 | 0.09 | 800 |
Disclaimer/Publisher’s Note: The statements, opinions and data contained in all publications are solely those of the individual author(s) and contributor(s) and not of MDPI and/or the editor(s). MDPI and/or the editor(s) disclaim responsibility for any injury to people or property resulting from any ideas, methods, instructions or products referred to in the content. |
© 2023 by the authors. Licensee MDPI, Basel, Switzerland. This article is an open access article distributed under the terms and conditions of the Creative Commons Attribution (CC BY) license (https://creativecommons.org/licenses/by/4.0/).
Share and Cite
Petroušek, P.; Kvačkaj, T.; Bidulská, J.; Bidulský, R.; Grande, M.A.; Manfredi, D.; Weiss, K.-P.; Kočiško, R.; Lupták, M.; Pokorný, I. Investigation of the Properties of 316L Stainless Steel after AM and Heat Treatment. Materials 2023, 16, 3935. https://doi.org/10.3390/ma16113935
Petroušek P, Kvačkaj T, Bidulská J, Bidulský R, Grande MA, Manfredi D, Weiss K-P, Kočiško R, Lupták M, Pokorný I. Investigation of the Properties of 316L Stainless Steel after AM and Heat Treatment. Materials. 2023; 16(11):3935. https://doi.org/10.3390/ma16113935
Chicago/Turabian StylePetroušek, Patrik, Tibor Kvačkaj, Jana Bidulská, Róbert Bidulský, Marco Actis Grande, Diego Manfredi, Klaus-Peter Weiss, Róbert Kočiško, Miloslav Lupták, and Imrich Pokorný. 2023. "Investigation of the Properties of 316L Stainless Steel after AM and Heat Treatment" Materials 16, no. 11: 3935. https://doi.org/10.3390/ma16113935
APA StylePetroušek, P., Kvačkaj, T., Bidulská, J., Bidulský, R., Grande, M. A., Manfredi, D., Weiss, K.-P., Kočiško, R., Lupták, M., & Pokorný, I. (2023). Investigation of the Properties of 316L Stainless Steel after AM and Heat Treatment. Materials, 16(11), 3935. https://doi.org/10.3390/ma16113935

