A Comparative Study of CCM and CCS Membrane Electrode Assemblies for High-Temperature Proton Exchange Membrane Fuel Cells with a CsH5(PO4)2-Doped Polybenzimidazole Membrane
Abstract
1. Introduction
2. Experimental Section
2.1. CsH5(PO4)2-Doped PBI Membrane Preparation
2.2. Preparation of MEAs Based on CCM and CCS Methods
2.3. Single-Cell Test
2.4. Electrochemical Characterization of the MEAs
3. Results and Discussion
3.1. Effects of CCS-MEA and CCM-MEA on Single-Cell Performance
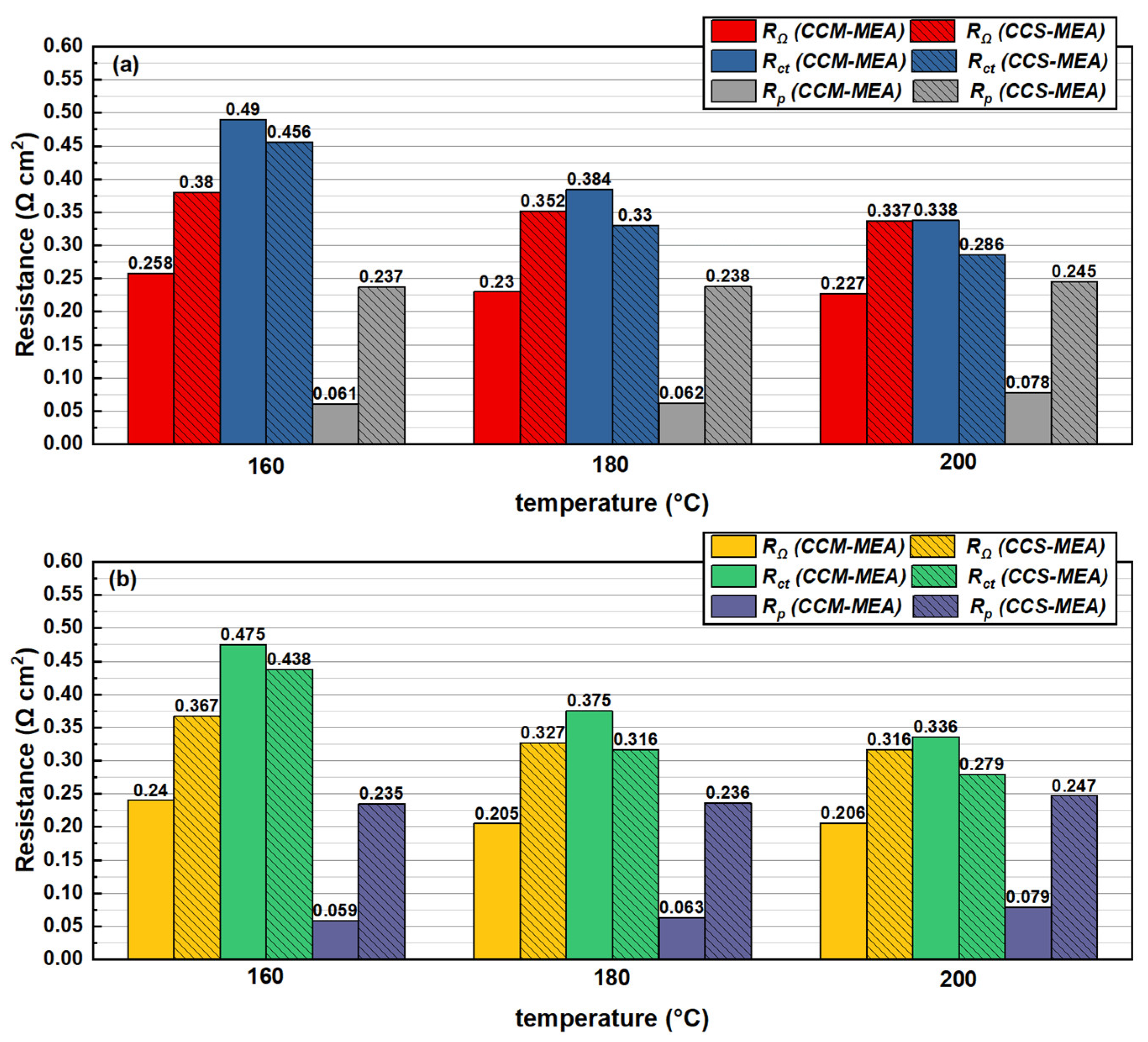
3.2. Effects of CCS-MEA and CCM-MEA on EIS Results
4. Conclusions
Author Contributions
Funding
Institutional Review Board Statement
Informed Consent Statement
Data Availability Statement
Conflicts of Interest
References
- Devrim, Y.; Albostan, A.; Devrim, H. Experimental investigation of CO tolerance in high temperature PEM fuel cells. Int. J. Hydrog. Energy 2018, 43, 18672–18681. [Google Scholar] [CrossRef]
- Al-Tememy, M.G.H.; Devrim, Y. Development of effective bimetallic catalyst for high-temperature PEM fuel cell to improve CO tolerance. Int. J. Energy Res. 2021, 45, 3343–3357. [Google Scholar] [CrossRef]
- Shao, Y.; Yin, G.; Wang, Z.; Gao, Y. Proton exchange membrane fuel cell from low temperature to high temperature: Material challenges. J. Power Sources 2007, 167, 235–242. [Google Scholar] [CrossRef]
- Zeis, R. Materials and characterization techniques for high-temperature polymer electrolyte membrane fuel cells. Beilstein J. Nanotechnol. 2015, 6, 68–83. [Google Scholar] [CrossRef]
- Wang, Y.; Diaz, D.F.R.; Chen, K.S.; Wang, Z.; Adroher, X.C. Materials, technological status, and fundamentals of PEM fuel cells—A review. Mater. Today 2020, 32, 178–203. [Google Scholar] [CrossRef]
- Kozlovskiy, A.L.; Zdorovets, M.V. Effect of doping of Ce4+/3+ on optical, strength and shielding properties of (0.5-x)TeO2-0.25MoO-0.25Bi2O3-xCeO2 glasses. Mater. Chem. Phys. 2021, 263, 124444. [Google Scholar] [CrossRef]
- Tuleushev, A.; Harrison, F.; Kozlovskiy, A.; Zdorovets, M. Evolution of the absorption edge of PET films irradiated with Kr ions after thermal annealing and ageing. Opt. Mater. 2021, 119, 111348. [Google Scholar] [CrossRef]
- Darwish, M.A.; Zubar, T.I.; Kanafyev, O.D.; Zhou, D.; Trukhanova, E.L.; Trukhanov, S.V.; Trukhanov, A.V.; Henaish, A.M. Combined Effect of Microstructure, Surface Energy, and Adhesion Force on the Friction of PVA/Ferrite Spinel Nanocomposites. Nanomaterials 2022, 12, 1998. [Google Scholar] [CrossRef]
- Tang, H.; Wang, S.; Jiang, S.P.; Pan, M. A comparative study of CCM and hot-pressed MEAs for PEM fuel cells. J. Power Sources 2007, 170, 140–144. [Google Scholar] [CrossRef]
- Shahgaldi, S.; Alaefour, I.; Li, X. Impact of manufacturing processes on proton exchange membrane fuel cell performance. Appl. Energy 2018, 225, 1022–1032. [Google Scholar] [CrossRef]
- Thanasilp, S.; Hunsom, M. Effect of MEA fabrication techniques on the cell performance of Pt–Pd/C electrocatalyst for oxygen reduction in PEM fuel cell. Fuel 2010, 89, 3847–3852. [Google Scholar] [CrossRef]
- Zhao, J.; Shahgaldi, S.; Ozden, A.; Alaefour, I.E.; Li, X.; Hamdullahpur, F. Effect of catalyst deposition on electrode structure, mass transport and performance of polymer electrolyte membrane fuel cells. Appl. Energy 2019, 255, 113802. [Google Scholar] [CrossRef]
- Cho, Y.H.; Kim, S.K.; Kim, T.H.; Cho, Y.H.; Lim, J.W.; Jung, N.; Yoon, W.S.; Lee, J.C.; Sung, Y.E. Preparation of MEA with the polybenzimidazole membrane for high temperature PEM fuel cell. Electrochem. Solid-State Lett. 2011, 14, B38. [Google Scholar] [CrossRef]
- Wannek, C.; Lehnert, W.; Mergel, J. Membrane electrode assemblies for high-temperature polymer electrolyte fuel cells based on poly (2, 5-benzimidazole) membranes with phosphoric acid impregnation via the catalyst layers. J. Power Sources 2009, 192, 258–266. [Google Scholar] [CrossRef]
- Wannek, C.; Konradi, I.; Mergel, J.; Lehnert, W. Redistribution of phosphoric acid in membrane electrode assemblies for high-temperature polymer electrolyte fuel cells. Int. J. Hydrog. Energy 2009, 34, 9479–9485. [Google Scholar] [CrossRef]
- Wang, S.; Shang, Y.; Wang, Y.; Wang, J. Fabrication and electrochemical performance of Poly (2, 5-benzimidazole)(ABPBI)-based MEA by catalyst coated membrane (CCM) method for high-temperature polymer electrolyte fuel cells. Int. J. Hydrog. Energy 2013, 38, 11060–11066. [Google Scholar] [CrossRef]
- Liang, H.; Su, H.; Pollet, B.G.; Linkov, V.; Pasupathi, S. Membrane electrode assembly with enhanced platinum utilization for high temperature proton exchange membrane fuel cell prepared by catalyst coating membrane method. J. Power Sources 2014, 266, 107–113. [Google Scholar] [CrossRef]
- Liang, H.; Su, H.; Pollet, B.G.; Pasupathi, S. Development of membrane electrode assembly for high temperature proton exchange membrane fuel cell by catalyst coating membrane method. J. Power Sources 2015, 288, 121–127. [Google Scholar] [CrossRef]
- Chen, X.; Zhang, Y.; Ribeirinha, P.; Li, H.; Kong, X.; Boaventura, M. Correction: A proton conductor electrolyte based on molten CsH5(PO4)2 for intermediate-temperature fuel cells. RSC Adv. 2018, 8, 8010. [Google Scholar] [CrossRef]
- Li, Y.; Hu, J.; Li, H.; Chen, L. Performance of an Intermediate-Temperature Fuel Cell with a CsH5(PO4)2-Doped Polybenzimidazole Membrane. J. Electrochem. Soc. 2022, 169, 024505. [Google Scholar] [CrossRef]
- Li, Y.; Kappis, K.; Papavasiliou, J.; Fu, Z.; Chen, L.; Li, H.; Vlachos, D.E.; Avgouropoulos, G. Insights on the electrochemical performance of a molten proton conductor fuel cell with internal methanol reformer. J. Power Sources 2022, 542, 231813. [Google Scholar] [CrossRef]
- Chen, C.Y.; Lai, W.H. Effects of temperature and humidity on the cell performance and resistance of a phosphoric acid doped polybenzimidazole fuel cell. J. Power Sources 2010, 195, 7152–7159. [Google Scholar] [CrossRef]
- Singdeo, D.; Dey, T.; Ghosh, P.C. Contact resistance between bipolar plate and gas diffusion layer in high temperature polymer electrolyte fuel cells. Int. J. Hydrog. Energy 2014, 39, 987–995. [Google Scholar] [CrossRef]
- Muroyama, H.; Matsui, T.; Kikuchi, R.; Eguchi, K. Influence of the supporting matrix on the electrochemical properties of CsH5(PO4)2 composites at intermediate temperatures. J. Phys. Chem. C 2008, 112, 15532–15536. [Google Scholar] [CrossRef]
- Zhou, P.; Lin, P.; Wu, C.; Li, Z. Effect of nonuniformity of the contact pressure distribution on the electrical contact resistance in proton exchange membrane fuel cells. Int. J. Hydrog. Energy 2011, 36, 6039–6044. [Google Scholar] [CrossRef]
- Muroyama, H.; Matsui, T.; Kikuchi, R.; Eguchi, K. Correlation between conduction behavior of CsH5(PO4)2 and thermal history. J. Electrochem. Soc. 2008, 155, B958. [Google Scholar] [CrossRef]
- Matsui, T.; Kukino, T.; Kikuchi, R.; Eguchi, K. Composite effects of silicon pyrophosphate as a supporting matrix for CsH5 (PO4)2 electrolytes at intermediate temperatures. Electrochim. Acta 2006, 51, 3719–3723. [Google Scholar] [CrossRef]
- Otomo, J.; Tamaki, T.; Nishida, S.; Wang, S.; Ogura, M.; Kobayashi, T.; Wen, C.-J.; Nagamoto, H.; Takahashi, H. Effect of water vapor on proton conduction of cesium dihydrogen phosphateand application to intermediate temperature fuel cells. J. Appl. Electrochem. 2005, 35, 865–870. [Google Scholar] [CrossRef]
- Lee, E.; Kim, D.-H.; Pak, C. Effects of cathode catalyst layer fabrication parameters on the performance of high-temperature polymer electrolyte membrane fuel cells. Appl. Surf. Sci. 2020, 510, 145461. [Google Scholar] [CrossRef]
- Kim, J.R.; Yi, J.S.; Song, T.W. Investigation of degradation mechanisms of a high-temperature polymer-electrolyte-membrane fuel cell stack by electrochemical impedance spectroscopy. J. Power Sources 2012, 220, 54–64. [Google Scholar] [CrossRef]
- Liu, S.; Rasinski, M.; Rahim, Y.; Zhang, S.; Wippermann, K.; Reimer, U.; Lehnert, W. Influence of operating conditions on the degradation mechanism in high-temperature polymer electrolyte fuel cells. J. Power Sources 2019, 439, 227090. [Google Scholar] [CrossRef]
- Yuan, X.; Wang, H.; Sun, J.C.; Zhang, J. AC impedance technique in PEM fuel cell diagnosis—A review. Int. J. Hydrog. Energy 2007, 32, 4365–4380. [Google Scholar] [CrossRef]
- Malevich, D.; Jayasankar, B.R.; Halliop, E.; Pharoah, J.G.; Peppley, B.A.; Karan, K. On the determination of PEM fuel cell catalyst layer resistance from impedance measurement in H2/N2 cells. J. Electrochem. Soc. 2012, 159, F888. [Google Scholar] [CrossRef]






| MEA Type | Temperature (°C) | Gas Conditions at the Anode | Open Circuit Voltage (V) | Peak Power Density (mW cm−2) |
|---|---|---|---|---|
| CCS-MEA | 160 | dry | 1.000 | 393 |
| 10% RH | 0.994 | 412 | ||
| 180 | dry | 1.02 | 497 | |
| 10% RH | 0.992 | 534 | ||
| 200 | dry | 1.020 | 537 | |
| 10% RH | 0.997 | 558 | ||
| CCM-MEA | 160 | dry | 0.989 | 500 |
| 10% RH | 0.983 | 526 | ||
| 180 | dry | 0.988 | 598 | |
| 10% RH | 0.982 | 613 | ||
| 200 | dry | 0.988 | 614 | |
| 10% RH | 0.980 | 617 |
Disclaimer/Publisher’s Note: The statements, opinions and data contained in all publications are solely those of the individual author(s) and contributor(s) and not of MDPI and/or the editor(s). MDPI and/or the editor(s) disclaim responsibility for any injury to people or property resulting from any ideas, methods, instructions or products referred to in the content. |
© 2023 by the authors. Licensee MDPI, Basel, Switzerland. This article is an open access article distributed under the terms and conditions of the Creative Commons Attribution (CC BY) license (https://creativecommons.org/licenses/by/4.0/).
Share and Cite
Li, Y.; Fu, Z.; Li, Y.; Zhang, G. A Comparative Study of CCM and CCS Membrane Electrode Assemblies for High-Temperature Proton Exchange Membrane Fuel Cells with a CsH5(PO4)2-Doped Polybenzimidazole Membrane. Materials 2023, 16, 3925. https://doi.org/10.3390/ma16113925
Li Y, Fu Z, Li Y, Zhang G. A Comparative Study of CCM and CCS Membrane Electrode Assemblies for High-Temperature Proton Exchange Membrane Fuel Cells with a CsH5(PO4)2-Doped Polybenzimidazole Membrane. Materials. 2023; 16(11):3925. https://doi.org/10.3390/ma16113925
Chicago/Turabian StyleLi, Yizhe, Zhiyong Fu, Yifan Li, and Guichen Zhang. 2023. "A Comparative Study of CCM and CCS Membrane Electrode Assemblies for High-Temperature Proton Exchange Membrane Fuel Cells with a CsH5(PO4)2-Doped Polybenzimidazole Membrane" Materials 16, no. 11: 3925. https://doi.org/10.3390/ma16113925
APA StyleLi, Y., Fu, Z., Li, Y., & Zhang, G. (2023). A Comparative Study of CCM and CCS Membrane Electrode Assemblies for High-Temperature Proton Exchange Membrane Fuel Cells with a CsH5(PO4)2-Doped Polybenzimidazole Membrane. Materials, 16(11), 3925. https://doi.org/10.3390/ma16113925

