Numerical Analysis of Fracture Behaviour for Cracked Joints in Corrugated Plate Girders Repaired by Stop-Holes
Abstract
1. Introduction
2. Research Method and Model Development
2.1. Description of Experimental Model
2.2. Finite Element Model Construction
2.3. J Integral-Based SIF Analysis
3. Results and Discussion
3.1. Experimental Results
3.2. Numerical Verification
3.3. Parametric Study
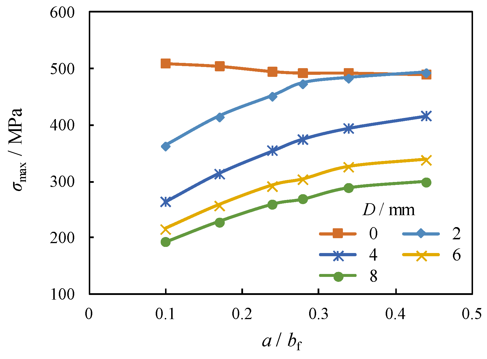
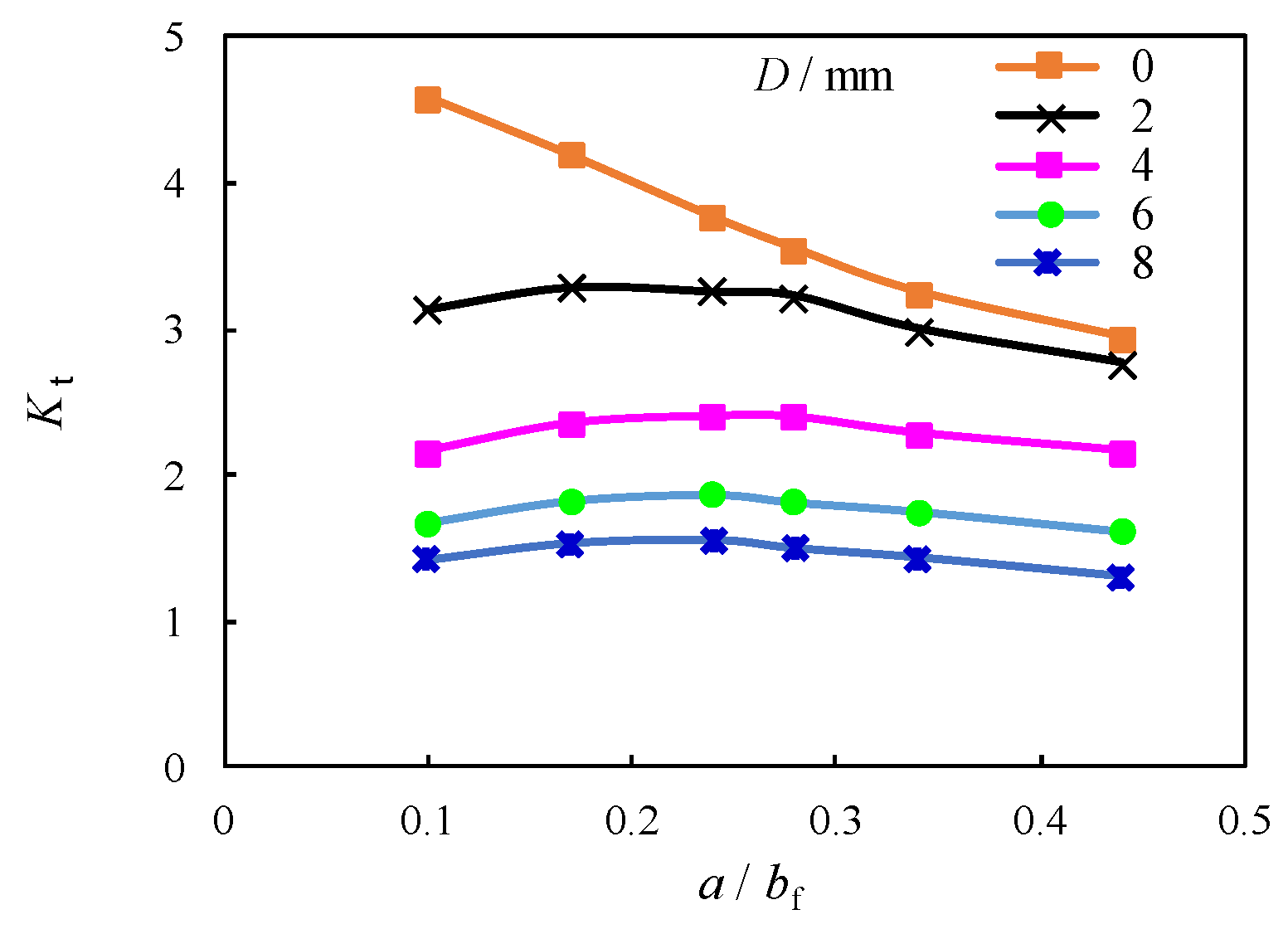
3.3.1. Comparison of Stress Concentration
3.3.2. Comparison of Critical Circumferential Stress Gradient Localized around the Stop-Hole
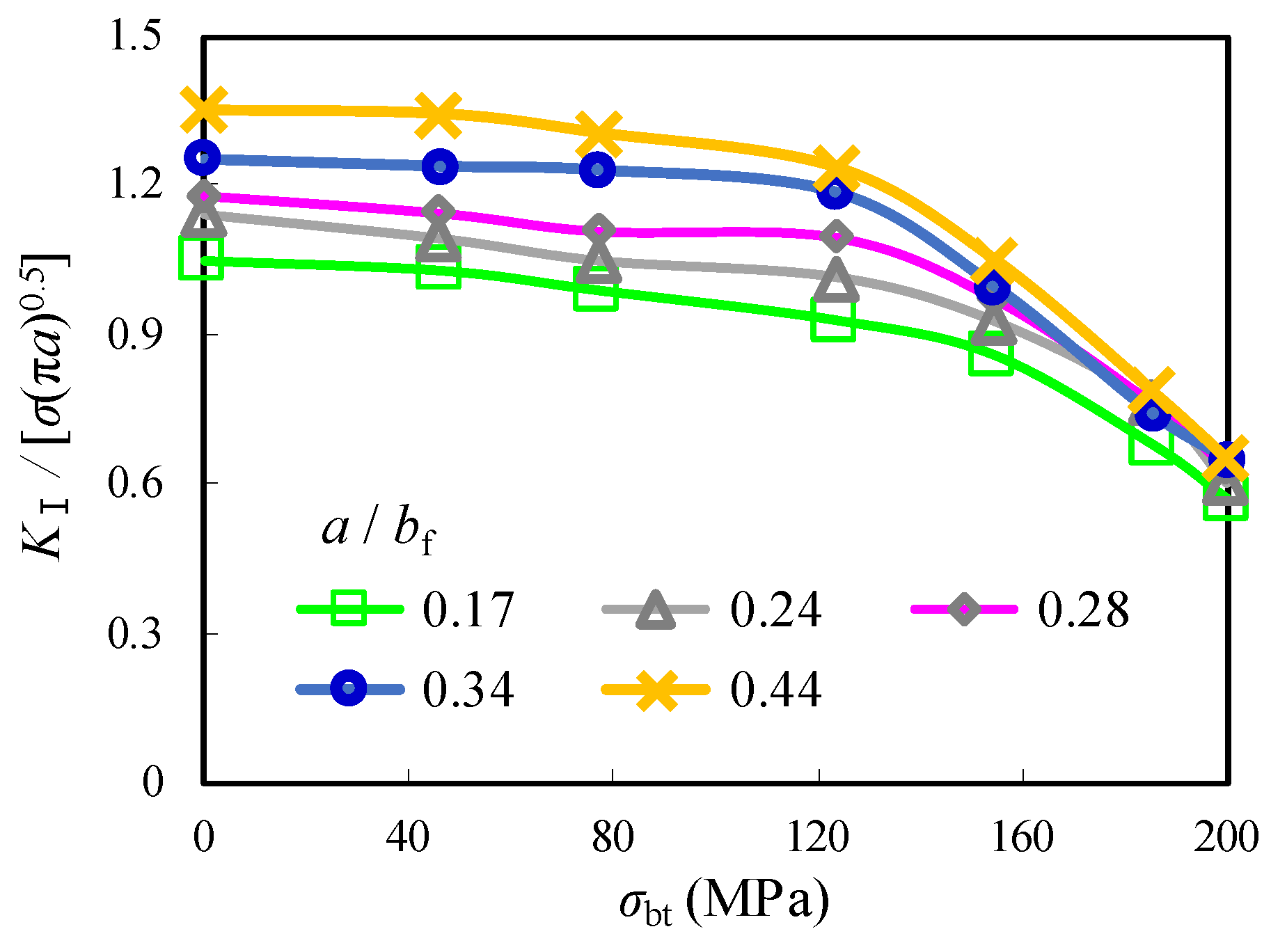
3.3.3. Comparison of Stress Intensity Factor

4. Concluding Remarks
- The developed numerical finite element model was validated against test results in terms of strain distribution and critical stress for the cracked joints in the corrugated plate girder. It also reaches a good agreement with theoretical prediction of geometric correction factor of cracked flange plate allowing for eccentricity of crack propagation seam.
- The presence of crack open-holes eliminated the plastic regions near the crack tip and obviously reduced the local stress concentration of the joint between the longitudinal fold and the inclined fold of the corrugated web. The corresponding stress concentration factor was greatly reduced by 34% for the model with a moderate-sized open-hole, which became less obvious for the model with an oversized open-hole.
- With the introduction of the prestress of the crack stop-hole through bolt preloading, the reduction of the local stress concentration was nearly 50% with the prestress increased to 46 MPa, but such a reduction is inconspicuous for higher prestress. Relatively high circumferential stress gradients and the crack open angle of oversized crack stop-holes can be decreased owing to additional prestress effect from the gasket.
- The corrugated plate girders repaired by crack stop-holes are demonstrated to have decreased stress intensity factor and slower crack growth rate than original unrepaired case. The enlargement of crack open-hole has limited influence on the reduction of stress intensity factor and crack propagation. In contrast, higher bolt prestress was more beneficial for the consistent reduction of stress intensity factor of the model with a crack open-hole, even containing long crack.
Author Contributions
Funding
Institutional Review Board Statement
Informed Consent Statement
Data Availability Statement
Acknowledgments
Conflicts of Interest
Abbreviations
| a: a | nominal crack length and a half crack length respectively |
| a0, a1, a2 | constants for Westergaard function |
| b1, bf | longitudinal fold width and flange width respectively |
| C | counter clockwise contour initiating at lower crack surface and terminating on upper crack surface |
| D | diameter of crack stop-hole or controlled radius of SIF dominance zone around the crack tip |
| E | Young’s modulus |
| e | eccentricity between the centre of the crack and the centreline of the flange |
| F | applied test load at midspan |
| J | amount of energy released per unit area of crack surface increase |
| KI | stress intensity factor for crack plane normal to direction of tensile loading |
| Kt | stress concentration factor |
| Pb | bolt prestress load |
| r | mode I crack with the circle of radius |
| SIF | stress intensity factor |
| T | traction vector |
| υ | Poisson’s ratio |
| σ, ε | stress tensor and strain tensor respectively |
| σbf | longitudinal tensile stress on bottom flange |
| σbt | converted bolt prestress |
| σmax | Maximum principal stress around crack stop-hole |
| σnom | nominal stress in flange plate with crack stop-hole |
| ζ | value that makes Z singular |
| u | displacement vector |
| θc | corrugation angle |
| θp | angle in polar coordinate of crack tip field |
| W | elastic strain energy density |
| xij | transverse distance from flange centreline |
| Y(a) | dimensionless geometric correction factor |
| Z | Westergaard function |
| z | a base Cartesian coordinate for the Hamiltonian transformation |
| γ | correction variables |
References
- Johnson, R.P.; Cafolla, J.; Bernard, C. Corrugated webs in plate girders for bridges. Proc. Inst. Civ. Eng. Struct. Build. 1997, 122, 157–164. [Google Scholar] [CrossRef]
- Wang, Z.-Y.; Li, X.; Gai, W.; Jiang, R.; Wang, Q.-Y.; Zhao, Q.; Dong, J.; Zhang, T. Shear response of trapezoidal profiled webs in girders with concrete-filled RHS Flanges. Eng. Struct. 2018, 174, 212–228. [Google Scholar] [CrossRef]
- Martínez-Muñoz, D.; Martí, J.V.; Yepes, V. Steel-concrete composite bridges: Design, Life Cycle Assessment, maintenance, and decision-making. Adv. Civ. Eng. 2020, 2020, 8823370. [Google Scholar] [CrossRef]
- Huang, H.; Chen, K.; Wu, Q.; Nakamura, S. Research on the fatigue performance of composite girders with CSW and St Truss. Appl. Sci. 2022, 12, 11703. [Google Scholar] [CrossRef]
- Kuhlmann, U.; Breunig, S.; Gölz, L.-M.; Pourostad, V.; Stempniewski, L. New developments in steel and Composite Bridges. J. Constr. Steel Res. 2020, 174, 106277. [Google Scholar] [CrossRef]
- Wang, Z.Y.; Zhang, T.; Chen, Y.; Yuan, F.; Zhou, X.F.; Liu, Z.F. Fatigue behaviour of slender corrugated webs subjected to plate breathing. Int. J. Fatigue 2019, 122, 46–60. [Google Scholar] [CrossRef]
- Anami, K.; Sause, R.; Abbas, H. Fatigue of web-flange weld of corrugated web girders: 1. influence of web corrugation geometry and flange geometry on web-flange weld toe stresses. Int. J. Fatigue 2005, 27, 373–381. [Google Scholar] [CrossRef]
- Wang, Z.; Wang, Q. Fatigue assessment of Welds joining corrugated steel webs to flange plates. Eng. Struct. 2014, 73, 1–12. [Google Scholar] [CrossRef]
- AASHTO. AASHTO LRFD Bridge Design Specifications, 3rd ed.; AASHTO: Washington, DC, USA, 2004. [Google Scholar]
- Sause, R.; Abbas, H.H.; Driver, R.G.; Anami, K.; Fisher, J.W. Fatigue life of girders with trapezoidal corrugated webs. J. Struct. Eng. 2006, 132, 1070–1078. [Google Scholar] [CrossRef]
- Wang, Z.; Tan, L.; Wang, Q. Fatigue Strength Evaluation of welded structural details in corrugated steel web girders. Int. J. Steel Struct. 2013, 13, 707–721. [Google Scholar] [CrossRef]
- Kövesdi, B.; Dunai, L. Fatigue life of girders with trapezoidally corrugated webs: An experimental study. Int. J. Fatigue 2014, 64, 22–32. [Google Scholar] [CrossRef]
- Wang, Z.Y.; Shi, Y.Z.; Zhou, X.F.; Shao, Y.B. Assessment of surface crack growth of composite girders with concrete-filled tubular flanges and corrugated webs through substructure-based numerical modelling. Eng. Struct. 2022, 252, 113613. [Google Scholar] [CrossRef]
- Choi, J.-H.; Kim, D.-H. Stress characteristics and fatigue crack behaviour of the longitudinal rib-to-cross beam joints in an orthotropic steel deck. Adv. Struct. Eng. 2008, 11, 189–198. [Google Scholar] [CrossRef]
- Chen, N.-Z. A stop-hole method for marine and offshore structures. Int. J. Fatigue 2016, 88, 49–57. [Google Scholar] [CrossRef]
- Jiang, X.; Lv, Z.; Qiang, X.; Zhang, J. Improvement of stop-hole method on fatigue-cracked steel plates by using high-strength bolts and CFRP strips. Adv. Civ. Eng. 2021, 2021, 6632212. [Google Scholar] [CrossRef]
- Song, P. Stop drilling procedure for Fatigue Life Improvement. Int. J. Fatigue 2004, 26, 1333–1339. [Google Scholar] [CrossRef]
- Yao, Y.; Ji, B.; Fu, Z.; Zhou, J.; Wang, Y. Optimization of stop-hole parameters for cracks at diaphragm-to-rib weld in Steel Bridges. J. Constr. Steel Res. 2019, 162, 105747. [Google Scholar] [CrossRef]
- Ayatollahi, M.R.; Razavi, S.M.J.; Chamani, H.R. Fatigue life extension by crack repair using stop-hole technique under pure mode-I and pure mode-II loading conditions. Procedia Eng. 2014, 74, 18–21. [Google Scholar] [CrossRef]
- Ayatollahi, M.R.; Razavi, S.M.; Yahya, M.Y. Mixed mode fatigue crack initiation and growth in a CT specimen repaired by stop hole technique. Eng. Fract. Mech. 2015, 145, 115–127. [Google Scholar] [CrossRef]
- Fanni, M.; Fouda, N.; Shabara, M.A.N.; Awad, M. New crack stop hole shape using structural optimizing technique. Ain Shams Eng. J. 2015, 6, 987–999. [Google Scholar] [CrossRef]
- Shin, C. Fatigue damage repair: A comparison of some possible methods. Int. J. Fatigue 1996, 18, 535–546. [Google Scholar] [CrossRef]
- Ayatollahi, M.R.; Razavi, S.M.J.; Chamani, H.R. A numerical study on the effect of symmetric crack flank holes on fatigue life extension of a sent specimen. Fatigue Fract. Eng. Mater. Struct. 2014, 37, 1153–1164. [Google Scholar] [CrossRef]
- Lu, Y.-C.; Yang, F.-P.; Chen, T.; Gong, H. The retardation effect of combined application of stop-hole and overload on Sheet Steel. Int. J. Fatigue 2020, 132, 105414. [Google Scholar] [CrossRef]
- Razavi, S.M.J.; Ayatollahi, M.R.; Sommitsch, C.; Moser, C. Retardation of fatigue crack growth in high strength steel S690 using a modified stop-hole technique. Eng. Fract. Mech. 2017, 169, 226–237. [Google Scholar] [CrossRef]
- Makabe, C.; Murdani, A.; Kuniyoshi, K.; Irei, Y.; Saimoto, A. Crack-growth arrest by redirecting crack growth by drilling stop holes and inserting pins into them. Eng. Fail. Anal. 2009, 16, 475–483. [Google Scholar] [CrossRef]
- Murdani, A.; Makabe, C.; Saimoto, A.; Irei, Y.; Miyazaki, T. Stress concentration at stop-drilled holes and additional holes. Eng. Fail. Anal. 2008, 15, 810–819. [Google Scholar] [CrossRef]
- Murdani, A.; Makabe, C.; Saimoto, A.; Kondou, R. A crack-growth arresting technique in aluminum alloy. Eng. Fail. Anal. 2008, 15, 302–310. [Google Scholar] [CrossRef]
- Murdani, A.; Makabe, C.; Saimoto, A.; Miyazaki, T.; Kondou, R. A new proposal for retarding fatigue crack reinitiation and growth from crack-tip introduced stop-drilled hole by providing additional holes. J. Soc. Mater. Sci. Jpn. 2007, 56, 1139–1144. [Google Scholar] [CrossRef]
- Uchida, D. Fatigue strength evaluation of out-of-plane gusset welded joints repaired by bolting-stop-hole method. Mitsui Eng. Shipbuild. Technol. 2007, 190, 45–53. [Google Scholar]
- BS7608; BS Code of Practice for Fatigue Design and Assessment of Steel Structures. British Standards Institution: London, UK, 2015.
- Recho, N. Fracture Mechanics and Crack Growth; Wiley: Hoboken, NJ, USA, 2012. [Google Scholar]
- Ishikawa, T.; Matsumoto, R.; Hattori, A.; Kawano, H.; Yamada, K. Reduction of stress concentration at edge of stop hole by closing crack surface. J. Soc. Mater. Sci. Jpn. 2013, 62, 33–38. [Google Scholar] [CrossRef]
- Wang, Z.Y.; Zhou, X.F.; Liu, Z.F.; Wang, Q.Y. Fatigue behaviour of composite girders with concrete-filled tubular flanges and corrugated webs—Experimental study. Eng. Struct. 2021, 241, 112416. [Google Scholar] [CrossRef]
- FHWA. Manual for Repair and Retrofit of Fatigue Cracks in Steel Bridges; FHWA: Washington, DC, USA, 2013.
- Fu, Z.-Q.; Ji, B.-H.; Xie, S.-H.; Liu, T.-J. Crack stop holes in steel bridge decks: Drilling method and effects. J. Cent. South Univ. 2017, 24, 2372–2381. [Google Scholar] [CrossRef]



















| Type | Chemical Composition (%) | Mechanical Properties | ||||||
|---|---|---|---|---|---|---|---|---|
| C | Si | Mn | P | S | Yield Stress (MPa) | Ultimate Stress (MPa) | Elongation (%) | |
| Steel plate | 0.16 | 0.33 | 1.36 | 0.035 | 0.022 | 480 | 582 | 25 |
| Welding rod | 0.15 | 1.15 | 1.85 | 0.025 | 0.025 | 420 | 502 | 22 |
| Bolt/gasket | - | - | - | - | - | 940 | 1030 | 9 |
| a/σbf | bl/bbf | ||||
|---|---|---|---|---|---|
| 0.16 | 0.49 | 0.66 | 0.79 | 0.85 | |
| 0.12 | 1.01 | 1.01 | 1.01 | 1.01 | 1.02 |
| 0.24 | 1.01 | 1.01 | 1.01 | 1.01 | 0.98 |
| 0.34 | 0.99 | 1.00 | 1.00 | 1.02 | 1.05 |
| 0.40 | 0.99 | 1.00 | 1.00 | 1.01 | 1.05 |
| Parameter | Symbol | Unit | Analysis Range | Interval |
|---|---|---|---|---|
| longitudinal fold width | bl | mm | 16~85 | 33, 16, 13, 7 |
| Diameter of crack stop-hole | D | mm | 0~8 | 2 |
| Bolt prestress load | Pb | kN | 0~0.8 | 0.3 |
| Converted bolt prestress | σbt | MPa | 0~124 | 0, 31, 46 |
| nominal crack length | a | mm | 10~20 | 3 |
| a/bf | Kt | |||||||
|---|---|---|---|---|---|---|---|---|
| D = 0 | 2 mm | 4 mm | 6 mm | 8 mm | ||||
| σbt = 0 | 0 | 46 MPa | 77 MPa | 124 MPa | 0 | |||
| 0.10 | 4.59 | 3.13 | 2.25 | 2.10 | 2.12 | 2.16 | 1.68 | 1.42 |
| 0.17 | 4.19 | 3.28 | 2.17 | 2.14 | 2.14 | 2.36 | 1.83 | 1.53 |
| 0.24 | 3.76 | 3.25 | 2.16 | 2.13 | 2.13 | 2.41 | 1.87 | 1.56 |
| 0.28 | 3.55 | 3.23 | 2.20 | 2.10 | 2.08 | 2.40 | 1.82 | 1.50 |
| 0.34 | 3.25 | 3.00 | 2.17 | 2.06 | 1.94 | 2.29 | 1.76 | 1.44 |
| 0.44 | 2.94 | 2.76 | 2.18 | 2.08 | 1.86 | 2.16 | 1.62 | 1.32 |
| a/bf | KI/[σbf√(π·a)] | |||||||
|---|---|---|---|---|---|---|---|---|
| D = 0 | 2 mm | 4 mm | 6 mm | 8 mm | ||||
| σbt = 0 | 0 | 46 MPa | 77 MPa | 124 MPa | 0 | |||
| 0.10 | 1.05 | 1.04 | 1.03 | 1.00 | 0.99 | 1.03 | 1.02 | 1.02 |
| 0.17 | 1.10 | 1.05 | 1.03 | 0.99 | 0.93 | 1.07 | 1.07 | 1.05 |
| 0.24 | 1.15 | 1.14 | 1.09 | 1.05 | 1.01 | 1.14 | 1.11 | 1.09 |
| 0.28 | 1.20 | 1.18 | 1.15 | 1.11 | 1.10 | 1.18 | 1.15 | 1.13 |
| 0.34 | 1.29 | 1.25 | 1.24 | 1.23 | 1.19 | 1.25 | 1.23 | 1.20 |
| 0.44 | 1.44 | 1.38 | 1.34 | 1.30 | 1.23 | 1.35 | 1.34 | 1.33 |
Disclaimer/Publisher’s Note: The statements, opinions and data contained in all publications are solely those of the individual author(s) and contributor(s) and not of MDPI and/or the editor(s). MDPI and/or the editor(s) disclaim responsibility for any injury to people or property resulting from any ideas, methods, instructions or products referred to in the content. |
© 2023 by the authors. Licensee MDPI, Basel, Switzerland. This article is an open access article distributed under the terms and conditions of the Creative Commons Attribution (CC BY) license (https://creativecommons.org/licenses/by/4.0/).
Share and Cite
Wang, Q.; Zhou, W.; Wang, Z.; Xiang, S.; Yao, G.; Huang, Q.; Liu, Y. Numerical Analysis of Fracture Behaviour for Cracked Joints in Corrugated Plate Girders Repaired by Stop-Holes. Materials 2023, 16, 3606. https://doi.org/10.3390/ma16103606
Wang Q, Zhou W, Wang Z, Xiang S, Yao G, Huang Q, Liu Y. Numerical Analysis of Fracture Behaviour for Cracked Joints in Corrugated Plate Girders Repaired by Stop-Holes. Materials. 2023; 16(10):3606. https://doi.org/10.3390/ma16103606
Chicago/Turabian StyleWang, Qifei, Wenfeng Zhou, Zhiyu Wang, Sijie Xiang, Guowen Yao, Qunyi Huang, and Yinggai Liu. 2023. "Numerical Analysis of Fracture Behaviour for Cracked Joints in Corrugated Plate Girders Repaired by Stop-Holes" Materials 16, no. 10: 3606. https://doi.org/10.3390/ma16103606
APA StyleWang, Q., Zhou, W., Wang, Z., Xiang, S., Yao, G., Huang, Q., & Liu, Y. (2023). Numerical Analysis of Fracture Behaviour for Cracked Joints in Corrugated Plate Girders Repaired by Stop-Holes. Materials, 16(10), 3606. https://doi.org/10.3390/ma16103606
