The Effect of Molten Phosphate on Corrosion of 316 Stainless Steel, Alloy 625, and Titanium TA8 in Supercritical Water Oxidation Conditions
Abstract
1. Introduction
2. Materials and Methods
2.1. Material
2.2. Apparatus and Procedures
2.3. Analysis
3. Results
3.1. Surface Morphologies
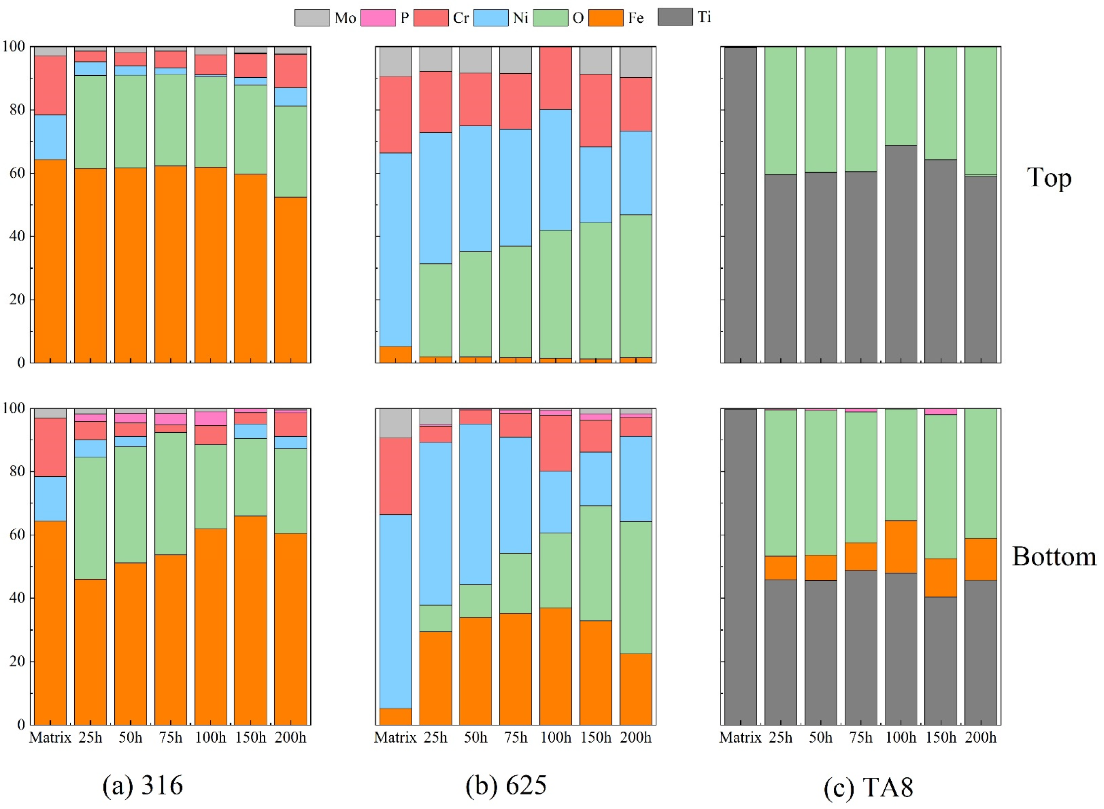
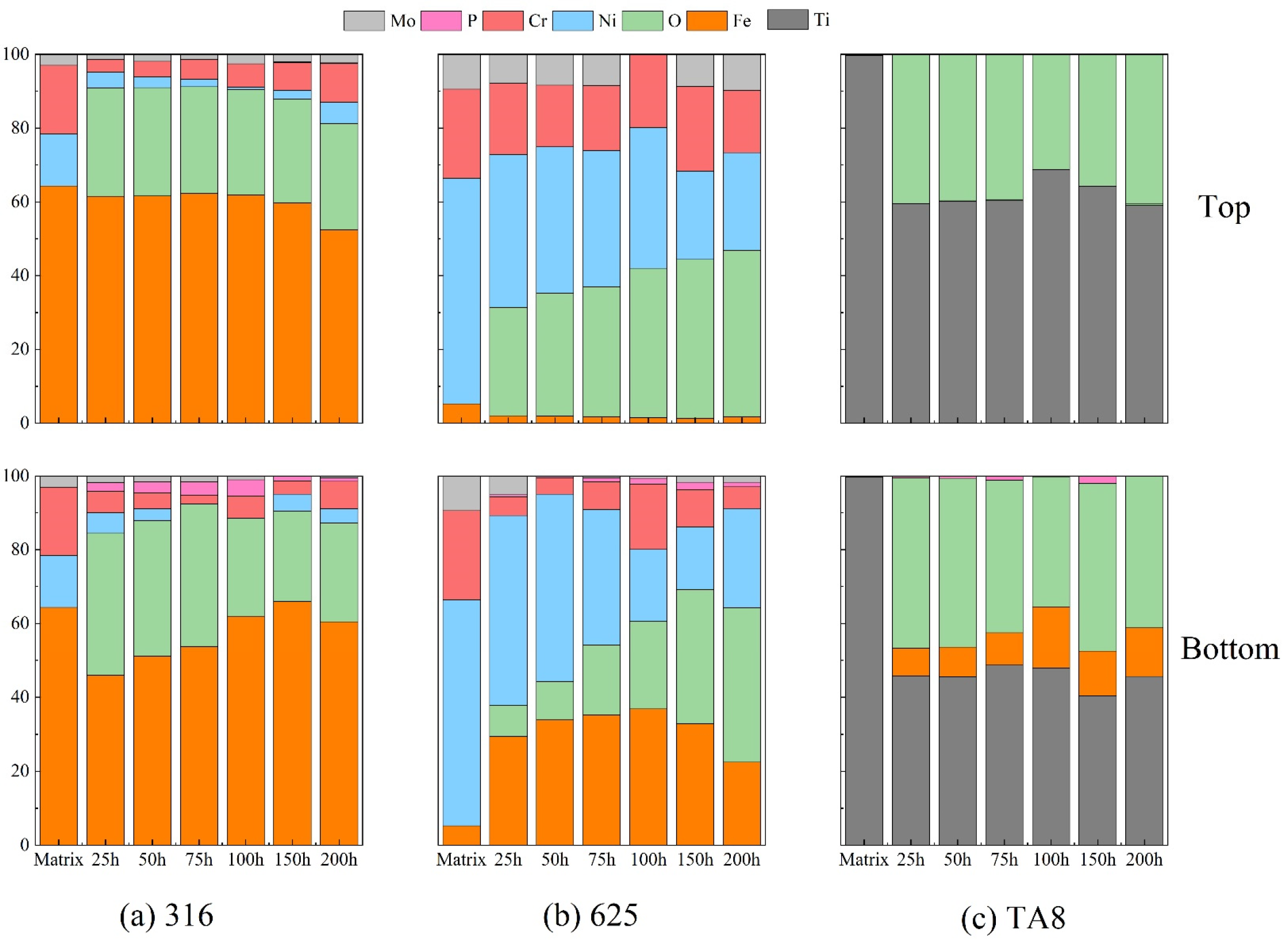
3.2. Surface Chemical Analysis of Tested Alloys
3.3. Corrosion Products Analysis of Tested Alloys
3.4. XPS Analysis
3.5. Gravimetry
3.6. Structure and Composition of Corrosion Layer
4. Discussion
5. Conclusions
Author Contributions
Funding
Institutional Review Board Statement
Informed Consent Statement
Data Availability Statement
Conflicts of Interest
References
- Bermejo, M.D.; Cocero, M.J. Supercritical water oxidation: A technical review. AIChE J. 2006, 52, 3933–3951. [Google Scholar] [CrossRef]
- Qian, L.; Wang, S.; Wang, S.; Zhao, S.; Zhang, B. Supercritical water gasification and partial oxidation of municipal sewage sludge: An experimental and thermodynamic study. Int. J. Hydrogen Energy 2020, 46, 89–99. [Google Scholar] [CrossRef]
- Vadillo, V.; Sánchez-Oneto, J.; Portela, J.R.; de la Ossa, E.J.M. Problems in Supercritical Water Oxidation Process and Proposed Solutions. Ind. Eng. Chem. Res. 2013, 52, 7617–7629. [Google Scholar] [CrossRef]
- Adar, E.; Ince, M.; Bilgili, M.S. Evaluation of development in supercritical water oxidation technology. Desalin. Water Treat. 2019, 161, 243–253. [Google Scholar] [CrossRef]
- Ai, L.; Zhou, Y.; Chen, M. Role of Dissolved Oxygen in Iron Oxidation in Supercritical Water: Insights from Reactive Dynamics Simulations. J. Phys. Chem. C 2019, 123, 15009–15016. [Google Scholar] [CrossRef]
- Zhu, Z.; Jiang, D.; Cao, Q.; Xu, H.; Khan, H.I.; Zhang, N. Oxidation behavior of austenitic steel Sanicro25 and TP347HFG in supercritical water. Mater. Corros. 2019, 70, 1087–1098. [Google Scholar] [CrossRef]
- Cocero, M.; Martínez, J. Cool wall reactor for supercritical water oxidation: Modelling and operation results. J. Supercrit. Fluids 2004, 31, 41–55. [Google Scholar] [CrossRef]
- Lee, H.-C.; In, J.-H.; Lee, S.-Y.; Kim, J.-H.; Lee, C.-H. An anti-corrosive reactor for the decomposition of halogenated hydrocarbons with supercritical water oxidation. J. Supercrit. Fluids 2005, 36, 59–69. [Google Scholar] [CrossRef]
- Von Rohr, R.; Philipp; Prikopsky, K. Hydrothermal Flames in a Novel Supercritical Water Oxidation (Scwo) Reactor. In Proceedings of the AIChE Annual Meeting 2006, San Francisco, CA, USA, 12–17 November 2006; American Institute of Chemical Engineers (AIChE): New York, NY, USA, 2006. [Google Scholar]
- Khatkhatay; Fauzia; Jiao, L.; Jian, J.; Zhang, W.; Jiao, Z.; Gan, J.; Zhang, H.; Zhang, X.; Wang, H. Superior Corrosion Resistance Properties of Tin-Based Coatings on Zircaloy Tubes in Supercritical Water. J. Nucl. Mater. 2014, 451, 346–351. [Google Scholar] [CrossRef]
- Sun, M.; Wu, X.; Zhang, Z.; Han, E.-H. Oxidation of 316 stainless steel in supercritical water. Corros. Sci. 2009, 51, 1069–1072. [Google Scholar] [CrossRef]
- Gao, X.; Wu, X.; Zhang, Z.; Guan, H.; Han, E.-H. Characterization of oxide films grown on 316L stainless steel exposed to H2O2-containing supercritical water. J. Supercrit. Fluids 2007, 42, 157–163. [Google Scholar] [CrossRef]
- Mitton, D.B.; Yoon, J.-H.; Cline, J.A.; Kim, H.-S.; Eliaz, N.; Latanision, R.M. Corrosion Behavior of Nickel-Based Alloys in Supercritical Water Oxidation Systems. Ind. Eng. Chem. Res. 2000, 39, 4689–4696. [Google Scholar] [CrossRef]
- Payet, M.; Marchetti, L.; Tabarant, M.; Chevalier, J.-P. Corrosion mechanism of a Ni-based alloy in supercritical water: Impact of surface plastic deformation. Corros. Sci. 2015, 100, 47–56. [Google Scholar] [CrossRef]
- Tang, X.; Wang, S.; Qian, L.; Li, Y.; Lin, Z.; Xu, D.; Zhang, Y. Corrosion behavior of nickel base alloys, stainless steel and titanium alloy in supercritical water containing chloride, phosphate and oxygen. Chem. Eng. Res. Des. 2015, 100, 530–541. [Google Scholar] [CrossRef]
- Boukis, N.; Friedrich, C.; Dinjus, E. Titanium as Reactor Material for Scwo Applications-First Experimental Results. In Proceedings of the CORROSION 98, San Francisco, CA, USA, 22–27 March 1998. [Google Scholar]
- Zhijiang, M.; Xu, D.; Guo, S.; Wang, Y.; Wang, S.; Jing, Z.; Guo, Y. Corrosion Properties and Mechanisms of Austenitic Stainless Steels and Ni-Base Alloys in Supercritical Water Containing Phosphate, Sulfate, Chloride and Oxygen. Oxid. Met. 2018, 90, 599–616. [Google Scholar]
- Kritzer, P.; Boukis, N.; Dinjus, E. The corrosion of alloy 625 (NiCr22Mo9Nb; 2.4856) in high-temperature, high-pressure aqueous solutions of phosphoric acid and oxygen. Corrosion at sub- and supercritical temperatures. Mater. Corros. 1998, 49, 831–839. [Google Scholar] [CrossRef]
- Ou, M.Q.; Liu, Y.; Zha, X.; Ma, Y.; Cheng, L.; Liu, K. Corrosion Behavior of a New Nickel Base Alloy in Supercritical Water Containing Diverse Ions. Acta Metall. Sin. 2016, 52, 1557–1564. [Google Scholar]
- Marshall, W.L.; Hall, C.E.; Mesmer, R.E. The System Dipotassium Hydrogen Phosphate-Water at High Temperatures (100–400 ℃); Liquid-Liquid Immiscibility and Concentrated Solutionst. J. Inorg. Nucl. Chem. 1981, 43, 449–455. [Google Scholar] [CrossRef]
- Marshall, W.L. Two-Liquid-Phase Boundaries and Critical Phenomena at 275–400 ℃ for High-Temperature Aqueous Potassium Phosphate and Sodium Phosphate Solutions. Potential Applications for Steam Generators. J. Chem. Eng. Data 1982, 27, 175–180. [Google Scholar] [CrossRef]
- Zhang, Y.; Wang, S.; Gao, Z.; Li, Y.; Xu, T.; Li, J.; Xu, D.; Yang, J. Hydrothermal Molten Salt: A Hydrothermal Fluid in Scwo Treatment of Hypersaline Wastewater. Chem. Eng. J. 2021, 421, 129589. [Google Scholar] [CrossRef]
- Xu, T.; Wang, S.; Tang, X.; Li, Y.; Yang, J.; Li, J.; Zhang, Y. Corrosion Mechanism of Inconel 600 in Oxidizing Supercritical Aqueous Systems Containing Multiple Salts. Ind. Eng. Chem. Res. 2019, 58, 23046–23056. [Google Scholar] [CrossRef]
- Voisin, T.; Erriguible, A.; Aymonier, C. A new solvent system: Hydrothermal molten salt. Sci. Adv. 2020, 6, eaaz7770. [Google Scholar] [CrossRef] [PubMed]
- Li, H.; Cao, Q.; Zhu, Z. Oxidation behaviour of Super 304H stainless steel in supercritical water. Corros. Eng. Sci. Technol. 2018, 53, 293–301. [Google Scholar] [CrossRef]
- Lin, S.; Li, H.; Xu, L.; Zhang, Y.; Cui, C. A Novel Experimental Device for Electrochemical Measurements in Supercritical Fluids up to 700 Degrees C/1000 Bar and Its Application in the Corrosion Study of Superalloy Inconel 740 h. Rsc Adv. 2017, 7, 33914–33920. [Google Scholar] [CrossRef]
- Guzonas, D.; Edwards, M.; Zheng, W. Assessment of Candidate Fuel Cladding Alloys for the Canadian Supercritical Water-Cooled Reactor Concept. J. Nucl. Eng. Radiat. Sci. 2015, 2, 011016. [Google Scholar] [CrossRef]
- Chang, K.-H.; Huang, J.-H.; Yan, C.-B.; Yeh, T.-K.; Chen, F.-R.; Kai, J.-J. Corrosion behavior of Alloy 625 in supercritical water environments. Prog. Nucl. Energy 2012, 57, 20–31. [Google Scholar] [CrossRef]
- Zhang, Z.; Wang, J.; Han, E.-H.; Ke, W. Influence of dissolved oxygen on oxide films of Alloy 690TT with different surface status in simulated primary water. Corros. Sci. 2011, 53, 3623–3635. [Google Scholar] [CrossRef]
- Yang, J.; Wang, S.; Tang, X.; Wang, Y.; Li, Y. Effect of low oxygen concentration on the oxidation behavior of Ni-based alloys 625 and 825 in supercritical water. J. Supercrit. Fluids 2018, 131, 1–10. [Google Scholar] [CrossRef]
- Xu, D.; Guo, S.; Ma, Z.; Li, Y.; Kuang, W.; Gong, Y. Corrosion characteristic comparisons of ZrO2−, TiO2− coated and uncoated 316 stainless steel samples in supercritical water oxidation of municipal sludge. J. Supercrit. Fluids 2019, 155, 104663. [Google Scholar] [CrossRef]
- Lu, J.S. Corrosion of Titanium in Phosphoric Acid at 250 Degrees C. Trans. Nonferrous Met. Soc. China 2009, 19, 552–556. [Google Scholar] [CrossRef]
- Jianshu, L.; Li, X.; Zhang, J.; Zou, J. Corrosion of 316 Stainless Steel and 825 Nickel Base Alloy in Medium of Supercritical Water for Oxidizing Chlorpyrifos. Corros. Sci. Prot. Tech. 2002, 14, 187–190. [Google Scholar]
- Tang, X.; Wang, S.; Xu, D.; Gong, Y.; Zhang, J.; Wang, Y. Corrosion Behavior of Ni-Based Alloys in Supercritical Water Containing High Concentrations of Salt and Oxygen. Ind. Eng. Chem. Res. 2013, 52, 18241–18250. [Google Scholar] [CrossRef]
- Kim, H.; Mitton, D.; Latanision, R. Corrosion behavior of Ni-base alloys in aqueous HCl solution of pH2 at high temperature and pressure. Corros. Sci. 2010, 52, 801–809. [Google Scholar] [CrossRef]
- Lee, H.-C.; Son, S.-H.; Hwang, K.-Y.; Lee, C.-H. Surface Chemical Analysis on the Corrosion of Alloys in the Supercritical Water Oxidation of Halogenated Hydrocarbon. Ind. Eng. Chem. Res. 2005, 45, 3412–3419. [Google Scholar] [CrossRef]
- Yashar, B.; Mostafaei, A.; Kohandehghan, A.; Amirkhiz, B.S.; Serate, D.; Sun, Y.; Liu, S.; Aghaie, E.; Zeng, Y.; Chmielus, M.; et al. A Comparative Study of Oxide Scales Grown on Stainless Steel and Nickel-Based Superalloys in Ultra-High Temperature Supercritical Water at 800 °C. Corros. Sci. 2016, 106, 188–207. [Google Scholar]
- Asselin, E.; Alfantazi, A.; Rogak, S. Corrosion of nickel–chromium alloys, stainless steel and niobium at supercritical water oxidation conditions. Corros. Sci. 2010, 52, 118–124. [Google Scholar] [CrossRef]
- Lu, J.S.; Mao, Z.; Zhang, J.; Ma, C.; Mao, X.; Li, X.H. Corrosion of Titanium in Supercritical Water Oxidation Environments. Trans. Nonferrous Met. Soc. China 2002, 12, 1054–1057. [Google Scholar]
- Konys, J.; Fodi, S.; Hausselt, J.; Schmidt, H.; Casal, V. Corrosion of High-Temperature Alloys in Chloride-Containing Supercritical Water Oxidation Systems. Corrosion 1999, 55, 45–51. [Google Scholar] [CrossRef]
- Son, S.-H.; Lee, J.-H.; Lee, C.-H. Corrosion phenomena of alloys by subcritical and supercritical water oxidation of 2-chlorophenol. J. Supercrit. Fluids 2008, 44, 370–378. [Google Scholar] [CrossRef]
- Yang, J.; Wang, S.; Li, Y.; Xu, D. Under-deposit corrosion of Ni-based alloy 825 and Fe-Ni based alloy 800 in supercritical water oxidation environment. Corros. Sci. 2020, 167, 108493. [Google Scholar] [CrossRef]
- Guo, X.; Chen, K.; Gao, W.; Shen, Z.; Lai, P.; Zhang, L. A research on the corrosion and stress corrosion cracking susceptibility of 316L stainless steel exposed to supercritical water. Corros. Sci. 2017, 127, 157–167. [Google Scholar] [CrossRef]
- Ren, X.; Sridharan, K.; Allen, T.R. Corrosion Behavior of Alloys 625 and 718 in Supercritical Water. Corrosion 2007, 63, 603–612. [Google Scholar] [CrossRef]
- Machet, A.; Galtayries, A.; Zanna, S.; Klein, L.; Maurice, V.; Jolivet, P.; Foucault, M.; Combrade, P.; Scott, P.; Marcus, P. XPS and STM study of the growth and structure of passive films in high temperature water on a nickel-base alloy. Electrochim. Acta 2004, 49, 3957–3964. [Google Scholar] [CrossRef]
- Machet, A.; Galtayries, A.; Marcus, P.; Combrade, P.; Jolivet, P.; Scott, P. XPS study of oxides formed on nickel-base alloys in high-temperature and high-pressure water. Surf. Interface Anal. 2002, 34, 197–200. [Google Scholar] [CrossRef]
- Zhong, X.; Han, E.-H.; Wu, X. Corrosion behavior of Alloy 690 in aerated supercritical water. Corros. Sci. 2013, 66, 369–379. [Google Scholar] [CrossRef]
- Tan, L.; Ren, X.; Sridharan, K.; Allen, T.R. Corrosion Behavior of Ni-Base Alloys for Advanced High Temperature Water-Cooled Nuclear Plants. Corros. Sci. 2008, 50, 3056–3062. [Google Scholar] [CrossRef]
- Tang, X.; Wang, S.; Qian, L.; Ren, M.; Sun, P.; Li, Y.; Yang, J.Q. Corrosion Properties of Candidate Materials in Supercritical Water Oxidation Process. J. Adv. Oxid. Technol. 2016, 19, 141–157. [Google Scholar] [CrossRef]
- Hatakeda, K.; Ikushima, Y.; Saito, N.; Liew, C.C.; Aizawa, T. Corrosion on continuous supercritical water oxidation for polychlorinated biphenyls. Int. J. High Press. Res. 2001, 20, 393–401. [Google Scholar] [CrossRef]
- Huang, X.; Shen, Y. Oxidation behavior of an 11Cr ferritic–martensitic steel after Ar-ions irradiation in supercritical water. J. Nucl. Mater. 2015, 461, 1–9. [Google Scholar] [CrossRef]
- Daigo, Y.; Watanabe, Y.; Sue, K. Effect of Chromium Ion from Autoclave Material on Corrosion Behavior of Nickel-Based Alloys in Supercritical Water. Corrosion 2007, 63, 277–284. [Google Scholar] [CrossRef]
- Kritzer, P. Corrosion in high-temperature and supercritical water and aqueous solutions: A review. J. Supercrit. Fluids 2004, 29, 1–29. [Google Scholar] [CrossRef]
- Frayret, C.; Botella, P.; Jaszay, T.; Delville, M.H. Titanium Dissolution-Passivation in Highly Chloridic and Oxygenated Aqueous Solutions—Reaction Mechanism Extended to Supercritical Water Conditions. J. Electrochem. Soc. 2004, 151, B543–B550. [Google Scholar] [CrossRef]
- Kritzer, P.; Boukis, N.; Dinjus, E. The corrosion of nickel-base alloy 625 in sub- and supercritical aqueous solutions of oxygen: A long time study. J. Mater. Sci. Lett. 1999, 18, 1845–1847. [Google Scholar] [CrossRef]
- Li, Y.; Wang, S.; Sun, P.; Yang, J.; Tang, X.; Xu, D.; Guo, Y.; Yang, J.; Macdonald, D.D. Investigation on early formation and evolution of oxide scales on ferritic–martensitic steels in supercritical water. Corros. Sci. 2018, 135, 136–146. [Google Scholar] [CrossRef]
- Viljoen, N. Modeling and Analysis of Stress in High Temperature Molten Salt Trough Receivers. Energy Procedia 2014, 49, 551–559. [Google Scholar] [CrossRef][Green Version]
- Kawahara, Y. High Temperature Corrosion Mechanisms and Effect of Alloying Elements for Materials Used in Waste Incineration Environment. Corros. Sci. 2002, 44, 223–245. [Google Scholar] [CrossRef]
- Pessall, N.; Dunlap, A.B.; Feldman, D.W. The Corrosion Resistance of Inconel Alloy 600 in High Temperature Phosphate Solutions. Corrosion 1977, 33, 130–144. [Google Scholar] [CrossRef]
- Kritzer, P.; Boukis, N.; Dinjus, E. Review of the Corrosion of Nickel-Based Alloys and Stainless Steels in Strongly Oxidizing Pressurized High-Temperature Solutions at Subcritical and Supercritical Temperatures. Corrosion 2000, 56, 1093–1104. [Google Scholar] [CrossRef]
- Huang, X.; Li, J.; Amirkhiz, B.; Liu, P. Effect of water density on the oxidation behavior of alloy A-286 at 625 °C—A TEM study. J. Nucl. Mater. 2015, 467, 758–769. [Google Scholar] [CrossRef]
- Selvig, A.; Huang, X.; Kim, D.J.; Guzonas, D. Surface oxide formation on IN625 and plasma sprayed NiCrAlY after high density and low density supercritical water testing. Mater. Corros. 2012, 65, 768–777. [Google Scholar] [CrossRef]
- Macdonald, D.D. Effect of pressure on the rate of corrosion of metals in high subcritical and supercritical aqueous systems. J. Supercrit. Fluids 2004, 30, 375–382. [Google Scholar] [CrossRef]
- Wang, Y.L.; Wang, Q.; Liu, H.J.; Zeng, C.L. Effects of the oxidants H2O and CrF3 on the corrosion of pure metals in molten (Li,Na,K)F. Corros. Sci. 2016, 103, 268–282. [Google Scholar] [CrossRef]











| Alloy | Fe | Cr | Ni | Ti | Mo | C |
|---|---|---|---|---|---|---|
| 316 SS | 64.0 | 18.5 | 14.0 | 3.0 | 0.08 | |
| Alloy 625 | 5.0 | 23.0 | 58.3 | 0.4 | 9.0 | 0.1 |
| TA8 | 0.3 | Bal. | 0.08 |
| Experiment Run | PO43− (mg/L) | Cl− (mg/L) | O2 (mg/L) | Time (h) | Temperature (°C) | Pressure (MPa) |
|---|---|---|---|---|---|---|
| 1 | 4500 | 1500 | 6000 | 25 | 400 | 25 |
| 2 | 4500 | 1500 | 6000 | 50 | 400 | 25 |
| 3 | 4500 | 1500 | 6000 | 75 | 400 | 25 |
| 4 | 4500 | 1500 | 6000 | 100 | 400 | 25 |
| 5 | 4500 | 1500 | 6000 | 150 | 400 | 25 |
| 6 | 4500 | 1500 | 6000 | 200 | 400 | 25 |
Disclaimer/Publisher’s Note: The statements, opinions and data contained in all publications are solely those of the individual author(s) and contributor(s) and not of MDPI and/or the editor(s). MDPI and/or the editor(s) disclaim responsibility for any injury to people or property resulting from any ideas, methods, instructions or products referred to in the content. |
© 2023 by the authors. Licensee MDPI, Basel, Switzerland. This article is an open access article distributed under the terms and conditions of the Creative Commons Attribution (CC BY) license (https://creativecommons.org/licenses/by/4.0/).
Share and Cite
Lin, Z.; Ren, P.; Zhu, R.; Tang, X.; Zheng, Y.; Xu, T.; Wang, Y.; Yang, J.; Cai, J. The Effect of Molten Phosphate on Corrosion of 316 Stainless Steel, Alloy 625, and Titanium TA8 in Supercritical Water Oxidation Conditions. Materials 2023, 16, 395. https://doi.org/10.3390/ma16010395
Lin Z, Ren P, Zhu R, Tang X, Zheng Y, Xu T, Wang Y, Yang J, Cai J. The Effect of Molten Phosphate on Corrosion of 316 Stainless Steel, Alloy 625, and Titanium TA8 in Supercritical Water Oxidation Conditions. Materials. 2023; 16(1):395. https://doi.org/10.3390/ma16010395
Chicago/Turabian StyleLin, Zitao, Pengwei Ren, Riguang Zhu, Xingying Tang, Youchang Zheng, Tiantian Xu, Yinghui Wang, Jianqiao Yang, and Jianjun Cai. 2023. "The Effect of Molten Phosphate on Corrosion of 316 Stainless Steel, Alloy 625, and Titanium TA8 in Supercritical Water Oxidation Conditions" Materials 16, no. 1: 395. https://doi.org/10.3390/ma16010395
APA StyleLin, Z., Ren, P., Zhu, R., Tang, X., Zheng, Y., Xu, T., Wang, Y., Yang, J., & Cai, J. (2023). The Effect of Molten Phosphate on Corrosion of 316 Stainless Steel, Alloy 625, and Titanium TA8 in Supercritical Water Oxidation Conditions. Materials, 16(1), 395. https://doi.org/10.3390/ma16010395
