Glassy Carbon Modified with Cationic Surfactant (GCE/CTAB) as Electrode Material for Fast and Simple Analysis of the Arsenic Drug Roxarsone
Abstract
1. Introduction
2. Materials and Methods
2.1. Reagents and Apparatus
2.2. Preparation of GCE/CTAB and ROX Analysis
3. Results and Discussion
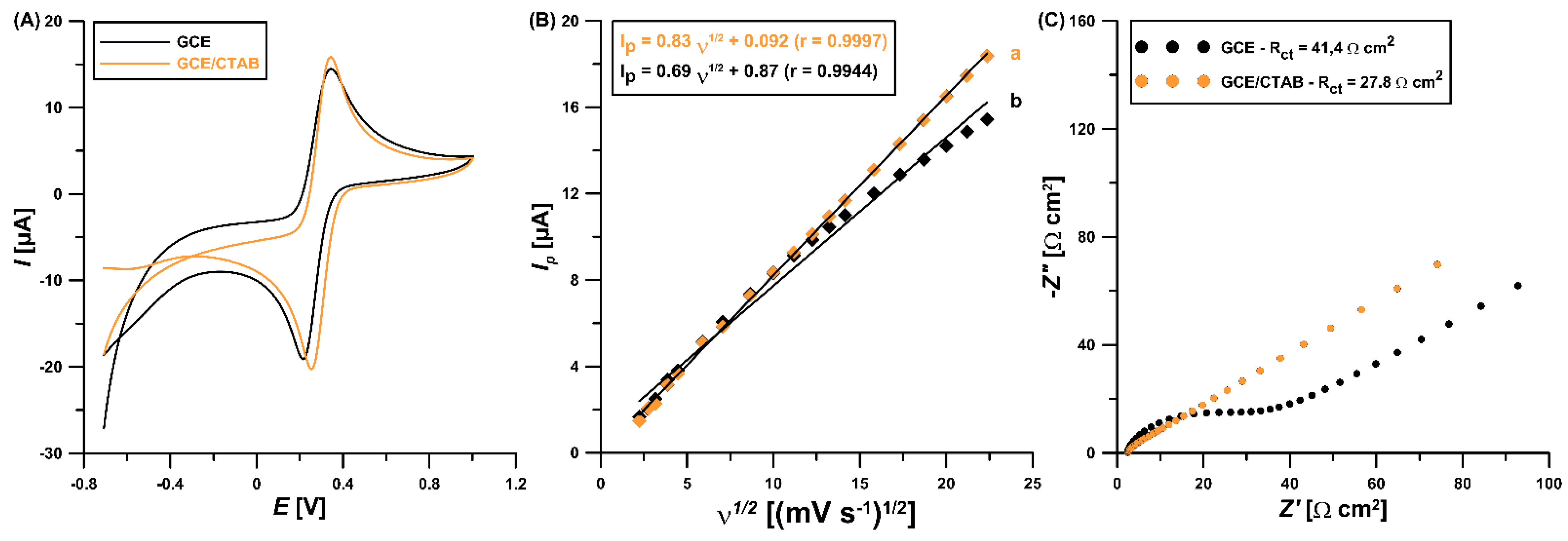
3.1. GCE/CTAB Sensor Characteristics
3.2. Electrochemical Behaviour of ROX
3.3. Procedure Parameter Optimization Step
3.4. Interference Studies
3.5. SWAdSV Determination of ROX
4. Conclusions
Author Contributions
Funding
Institutional Review Board Statement
Informed Consent Statement
Data Availability Statement
Conflicts of Interest
References
- Cortinas, I.; Field, J.A.; Kopplin, M.; Garbarino, J.R.; Gandolfi, A.J.; Sierra-Alvarez, R. Anaerobic biotransformation of roxarsone and related N-substituted phenylarsonic acids. Environ. Sci. Technol. 2006, 40, 2951–2957. [Google Scholar] [CrossRef]
- Stolz, J.F.; Perera, E.; Kilonzo, B.; Kail, B.; Crable, B.; Fisher, E.; Ranganathan, M.; Wormer, L.; Basu, P. Biotransformation of 3-nitro-4- hydroxybenzene arsonic acid (roxarsone) and release of inorganic arsenic by Clostridium species. Environ. Sci. Technol. 2007, 41, 818–823. [Google Scholar] [CrossRef]
- Sierra-Alvarez, R.; Cortinas, I.; Field, J.A. Methanogenic inhibition by roxarsone (4-hydroxy-3-nitrophenylarsonic acid) and related aromatic arsenic compounds. J. Hazard. Mater. 2010, 175, 352–358. [Google Scholar] [CrossRef]
- Huang, L.; Yao, L.; He, Z.; Zhou, C.; Li, G.; Yang, B.; Deng, X. Roxarsone and its metabolites in chicken manure significantly enhance the uptake of as species by vegetables. Chemosphere 2014, 100, 57–62. [Google Scholar] [CrossRef] [PubMed]
- D’Angelo, E.; Zeigler, G.; Beck, E.G.; Grove, J.; Sikora, F. Arsenic species in broiler (Gallus gallus domesticus) litter, soils, maize (Zea mays L.), and groundwater from litter-amended fields. Sci. Total Environ. 2012, 438, 286–292. [Google Scholar] [CrossRef] [PubMed]
- Hu, Y.; Cheng, H.; Tao, S.; Schnoor, J.L. China’s Ban on phenylarsonic feed additives, a major step toward reducing the human and ecosystem health risk from arsenic. Environ. Sci. Technol. 2019, 53, 12177–12187. [Google Scholar] [CrossRef] [PubMed]
- Frensemeier, L.M.; Büter, L.; Vogel, M.; Karst, U. Investigation of the oxidative transformation of roxarsone by electrochemistry coupled to hydrophilic interaction liquid chromatography mass spectrometry. JAAS 2017, 32, 153–292. [Google Scholar] [CrossRef]
- Roerdink, A.R.; Aldstadt, J.H., III. Sensitive method for the determination of roxarsone using solid-phase microextraction with multi-detector gas chromatography. J. Chromatogr. A 2004, 1057, 177–183. [Google Scholar] [CrossRef] [PubMed]
- Cui, J.; Xiao, Y.-B.; Dai, L.; Zhao, X.-H.; Wang, Y. Speciation of organoarsenic species in food of animal origin using accelerated solvent extraction (ASE) with determination by HPLC-hydride generation-atomic fluorescence spectrometry (HG-AFS). Food Anal. Methods 2013, 6, 70–379. [Google Scholar] [CrossRef]
- Govindasamy, M.; Wang, S.-F.; Jothiramalingam, R.; Ibrahim, S.N.; Al-lohedan, H.A. A screen-printed electrode modified with tungsten disulfide nanosheets for nanomolar detection of the arsenic drug roxarsone. Microchim. Acta 2019, 186, 420. [Google Scholar] [CrossRef]
- Chen, T.-W.; Rajaji, U.; Chena, S.-M.; Chinnapaiyan, S.; Ramalingam, R.J. Facile synthesis of mesoporous WS2 nanorods decorated N-doped RGO network modified electrode as portable electrochemical sensing platform for sensitive detection of toxic antibiotic in biological and pharmaceutical samples. Ultrason. Sonochem. 2019, 56, 430–436. [Google Scholar] [CrossRef]
- Govindasamy, M.; Rajaji, U.; Wanga, S.-F.; Changa, Y.-J.; Ramalingam, R.J.; Chan, C.-Y. Investigation of sonochemically synthesized sphere-like metal tungstate nanocrystals decorated activated carbon sheets network and its application towards highly sensitive detection of arsenic drug in biological samples. J. Taiwan Inst. Chem. Eng. 2020, 114, 211–219. [Google Scholar] [CrossRef]
- Waris, M.; Baig, J.A.; Sirajuddin; Kazi, T.G.; Solangi, I.B.; Siddiqui, S.; Afridi, H.I. Selective Electroanalytical Method for the Determination of Roxarsone in Poultry Feed and Litter. Food Anal. Methods 2016, 9, 2142–2151. [Google Scholar] [CrossRef]
- Ahamad, R.; Barek, J.; Yusoff, A.R.; Sinaga, S.M.; Zima, J. Determination of Roxarsone Using Carbon Paste and Amberlite LA2 Modified Carbon Paste Electrodes. Electroanalysis 2000, 12, 1220–1226. [Google Scholar] [CrossRef]
- Sriram, B.; Kogularasu, S.; Hsu, Y.-F.; Wang, S.-F.; Sheu, J.-K. Fabrication of Praseodymium Vanadate Nanoparticles on Disposable Strip for Rapid and Real-Time Amperometric Sensing of Arsenic Drug Roxarsone. Inorg. Chem. 2022, 61, 16370–16379. [Google Scholar] [CrossRef]
- Srivastava, N.S.K.; Srivastava, A.; Srivastava, M.; Prakash, R. Electrochemical Sensing of Roxarsone on Natural Biomass Derived. Two-Dimensional Carbon Material as Promising Electrode Material. ACS Omega 2022, 7, 2908–2917. [Google Scholar]
- Chinnapaiyan, S.; Rajaji, U.; Chen, S.-M.; Liu, T.-Y.; Filho, J.d.O.; Chang, Y.-S. Fabrication of thulium metal–organic frameworks based smartphone sensor towards arsenical feed additive drug detection: Applicable in food safety analysis. Electrochim. Acta 2022, 401, 139487. [Google Scholar] [CrossRef]
- Pereira, D.F.; Santana, E.R.; Spinelli, A. Electrochemical paper-based analytical devices containing magnetite nanoparticles for the determination of vitamins B2 and B6. Microchem. J. 2022, 179, 107588. [Google Scholar] [CrossRef]
- Monnappa, A.B.; Manjunatha, J.G.; Bhatt, A.S. Design of a Sensitive and Selective Voltammetric Sensor Based on a Cationic Surfactant-Modified Carbon Paste Electrode for the Determination of Alloxan. ACS Omega 2020, 5, 23481–23490. [Google Scholar] [CrossRef]
- Dang, X.; Wei, Y.; Hu, S. Effects of Surfactants on the Electroreduction of Dioxygen at an Acetylene Black Electrode. Anal. Sci. 2004, 20, 307–310. [Google Scholar] [CrossRef]
- Amrutha, B.M.; Manjunatha, J.G.; Bhatt, A.S.; Hareesha, N. Electrochemical Analysis of Evans Blue by Surfactant Modified Carbon Nanotube Paste Electrode. J. Mater. Environ. Sci. 2019, 10, 668–676. [Google Scholar]
- Nayak, D.S.; Shetti, N.P. Voltammetric Response and Determination of an Anti-Inflammatory Drug at a Cationic Surfactant-Modified Glassy Carbon Electrode. J. Surfactants Deterg. 2016, 19, 1071–1079. [Google Scholar] [CrossRef]
- Kwon, J.H.; Wilson, L.D.; Sammynaiken, R. Sorptive Uptake Studies of an Aryl-Arsenical with Iron Oxide Composites on an Activated Carbon Support. Materials 2014, 7, 1880–1898. [Google Scholar] [CrossRef] [PubMed]
- Kumari, C.T.R.; Mamatha, G.P.; Santhosh, H.M. Voltammetric Detection of Trimethoprim at CTAB Modified Carbon Paste Electrode. Chem. Sci. Trans. 2016, 5, 619–626. [Google Scholar]
- Gosser, D.K. Cyclic Voltammetry: Simulation and Analysis of Reaction Mechanism; VCH: New York, NY, USA, 1993. [Google Scholar]
- Laviron, E. General expression of the linear potential sweep voltammogram in the case of diffusion less electrochemical systems. J. Electroanal. Chem. 1979, 101, 19–28. [Google Scholar] [CrossRef]
- Wirtanen, T.; Rodrigo, E.; Waldvogel, S.R. Recent Advances in the Electrochemical Reduction of Substrates Involving N-O Bonds. Adv. Synth. Catal. 2020, 362, 2088–2101. [Google Scholar] [CrossRef]
- Kokulnathan, T.; Rajagopal, V.; Wang, T.-J.; Huang, S.-J.; Ahmed, F. Electrochemical Behavior of Three-Dimensional Cobalt Manganate with Flowerlike Structures for Effective Roxarsone Sensing. Inorg. Chem. 2021, 60, 17986–17996. [Google Scholar] [CrossRef]
- Mocak, J.; Bond, A.M.; Mitchell, S.; Scollary, G. A statistical overview of standard (IUPAC and ACS) and new procedures for determining the limits of detection and quantification: Application to voltammetric and stripping techniques. Pure Appl. Chem. 1997, 69, 297–328. [Google Scholar] [CrossRef]
- Vinoth, S.; Govindasamy, M.; Wang, S.F.; Alothman, A.A.; Alshgari, R.A. Surface Engineering of Roselike Lanthanum Molybdate Electrocatalyst Modified Screen-Printed Carbon Electrode for Robust and Highly Sensitive Sensing of Antibiotic Drug. Microchem. J. 2021, 164, 106044. [Google Scholar] [CrossRef]









| Technique (Sensor) | Linear Range (µM) | LOD (µM) | Ref. |
|---|---|---|---|
| QIT-MS-PEPD | 0–0.38 | 0.010 | [8] |
| HPLC-HG-AFS | 0.011–0.034 | 0.0015 | [9] |
| DPV (WS2NSs/SPCE) | 0.05–489.3 | 0.030 | [10] |
| DPV (WS2 NRs/N-rGOs/SPCE) | 0.1–442.6 | 0.075 | [11] |
| Amperometric method (SRWO4 NPs/GrO/GCE) | 0.035–1816.5 | 0.022 | [12] |
| DPV (MCPME) | 3.8–190.0 | 0.19 | [13] |
| DPV (CMCPE) | 0.1–1.0 | 0.10 | [14] |
| Amperometric method (PrVO4/SPCE) | 0.001–551.8 | 0.00004 | [15] |
| DPV (2D-AC/GCE) | 0.76–474.0 | 0.0015 | [16] |
| DPV (Tm-BTC MOF/GCE) DPV (CoMn2O4-500) DPV (LaMoO) | 0.00015–770 0.01–0.84 and 0.84–1130 0.025–2650 | 0.0001 0.002 0.0124 | [17] [27] [28] |
| SWAdSV (GCE/CTAB) | 0.001–0.02 and 0.02–20 | 0.00013 | This work |
Disclaimer/Publisher’s Note: The statements, opinions and data contained in all publications are solely those of the individual author(s) and contributor(s) and not of MDPI and/or the editor(s). MDPI and/or the editor(s) disclaim responsibility for any injury to people or property resulting from any ideas, methods, instructions or products referred to in the content. |
© 2022 by the authors. Licensee MDPI, Basel, Switzerland. This article is an open access article distributed under the terms and conditions of the Creative Commons Attribution (CC BY) license (https://creativecommons.org/licenses/by/4.0/).
Share and Cite
Tyszczuk-Rotko, K.; Gorylewski, D. Glassy Carbon Modified with Cationic Surfactant (GCE/CTAB) as Electrode Material for Fast and Simple Analysis of the Arsenic Drug Roxarsone. Materials 2023, 16, 345. https://doi.org/10.3390/ma16010345
Tyszczuk-Rotko K, Gorylewski D. Glassy Carbon Modified with Cationic Surfactant (GCE/CTAB) as Electrode Material for Fast and Simple Analysis of the Arsenic Drug Roxarsone. Materials. 2023; 16(1):345. https://doi.org/10.3390/ma16010345
Chicago/Turabian StyleTyszczuk-Rotko, Katarzyna, and Damian Gorylewski. 2023. "Glassy Carbon Modified with Cationic Surfactant (GCE/CTAB) as Electrode Material for Fast and Simple Analysis of the Arsenic Drug Roxarsone" Materials 16, no. 1: 345. https://doi.org/10.3390/ma16010345
APA StyleTyszczuk-Rotko, K., & Gorylewski, D. (2023). Glassy Carbon Modified with Cationic Surfactant (GCE/CTAB) as Electrode Material for Fast and Simple Analysis of the Arsenic Drug Roxarsone. Materials, 16(1), 345. https://doi.org/10.3390/ma16010345

