A High-Performance ε-Ga2O3-Based Deep-Ultraviolet Photodetector Array for Solar-Blind Imaging
Abstract
1. Introduction
2. Materials and Methods
2.1. Material Synthesis and Characterization
2.2. Material and Device Characterization
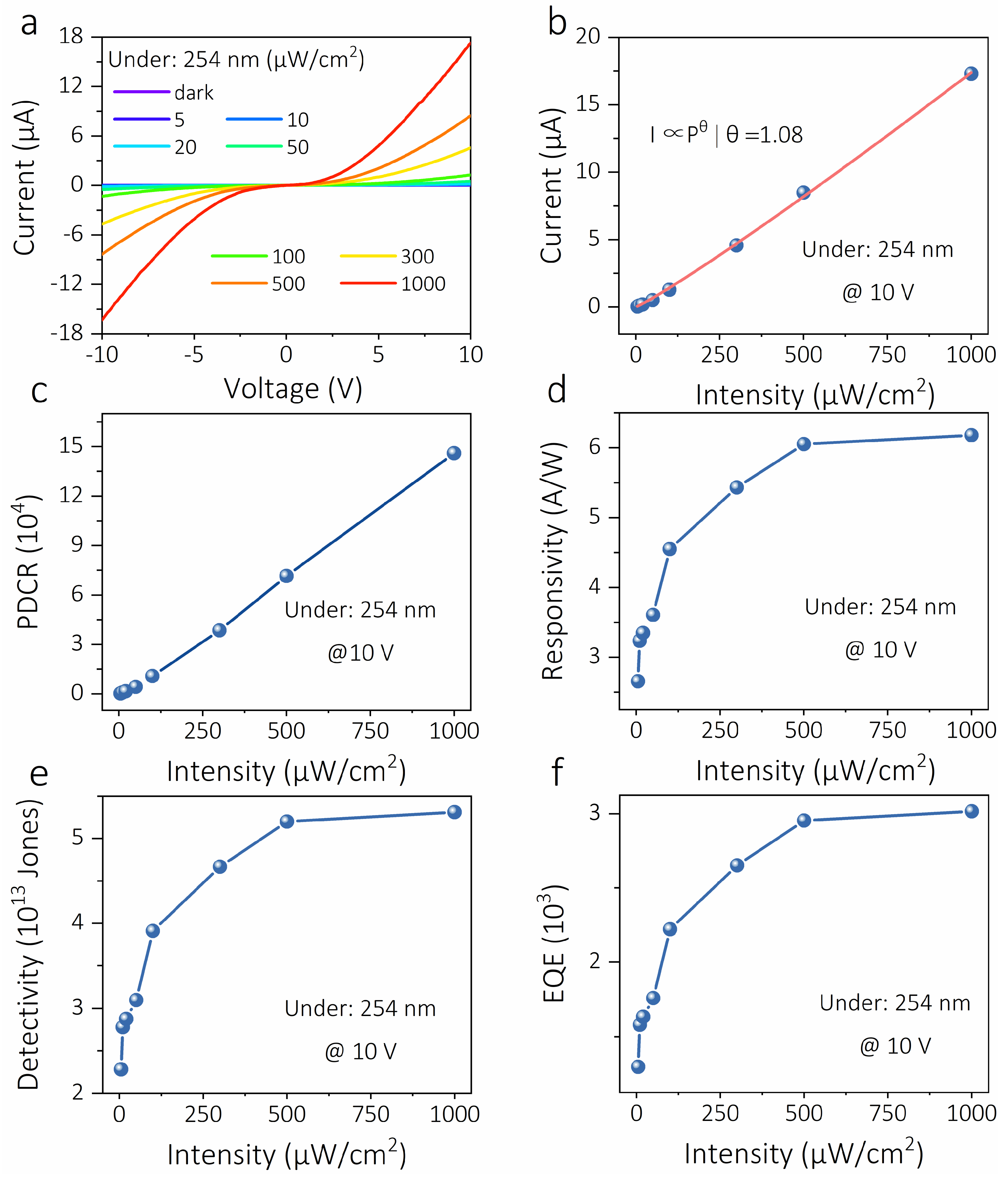
3. Results
4. Conclusions
Author Contributions
Funding
Institutional Review Board Statement
Informed Consent Statement
Data Availability Statement
Conflicts of Interest
References
- Pearton, S.J.; Yang, J.; Cary, P.H.; Ren, F.; Kim, J.; Tadjer, M.J.; Mastro, M.A. A Review of Ga2O3 Materials, Processing, and Devices. Appl. Phys. Rev. 2018, 5, 011301. [Google Scholar] [CrossRef]
- Kaur, D.; Kumar, M. A Strategic Review on Gallium Oxide Based Deep-Ultraviolet Photodetectors: Recent Progress and Future Prospects. Adv. Opt. Mater. 2021, 9, 2002160. [Google Scholar] [CrossRef]
- Chen, X.; Ren, F.; Gu, S.; Ye, J. Review of Gallium-Oxide-Based Solar-Blind Ultraviolet Photodetectors. Photonics Res. 2019, 7, 381–415. [Google Scholar] [CrossRef]
- Huang, L.; Hu, Z.; Zhang, H.; Xiong, Y.; Fan, S.; Kong, C.; Li, W.; Ye, L.; Li, H. A Simple, Repeatable and Highly Stable Self-Powered Solar-Blind Photoelectrochemical-Type Photodetector Using Amorphous Ga2O3 Films Grown on 3D Carbon Fiber Paper. J. Mater. Chem. C 2021, 9, 10354–10360. [Google Scholar] [CrossRef]
- Wang, J.; Ye, L.; Wang, X.; Zhang, H.; Li, L.; Kong, C.; Li, W. High Transmittance β-Ga2O3 Thin Films Deposited by Magnetron Sputtering and Post-Annealing for Solar-Blind Ultraviolet Photodetector. J. Alloys Compd. 2019, 803, 9–15. [Google Scholar] [CrossRef]
- Zhou, S.; Peng, X.; Liu, H.; Zhang, Z.; Ye, L.; Li, H.; Xiong, Y.; Niu, L.; Chen, F.; Fang, L.; et al. High-Performance β-Ga2O3-Based Solar-Blind Photodetector with Ultralow Dark Current and Fast Photoresponse for Deep-Ultraviolet Communication. Opt. Mater. Express 2022, 12, 327–337. [Google Scholar] [CrossRef]
- Kim, S.; Oh, S.; Kim, J. Ultrahigh Deep-UV Sensitivity in Graphene-Gated β-Ga2O3 Phototransistors. ACS Photonics 2019, 6, 1026–1032. [Google Scholar] [CrossRef]
- Zou, R.; Zhang, Z.; Liu, Q.; Hu, J.; Sang, L.; Liao, M.; Zhang, W. High Detectivity Solar-Blind High-Temperature Deep-Ultraviolet Photodetector Based on Multi-Layered (L00) Facet-Oriented β-Ga2O3 Nanobelts. Nanomicro Lett. 2014, 10, 1848–1856. [Google Scholar] [CrossRef]
- Liu, H.; Zhou, S.; Zhang, H.; Ye, L.; Xiong, Y.; Yu, P.; Li, W.; Yang, X.; Li, H.; Kong, C. Ultrasensitive Fully Transparent Amorphous Ga2O3 Solar-Blind Deep-Ultraviolet Photodetector for Corona Discharge Detection. J. Phys. D Appl. Phys. 2022, 55, 305104. [Google Scholar] [CrossRef]
- Hou, M.; So, H.; Suria, A.J.; Yalamarthy, A.S.; Senesky, D.G. Suppression of Persistent Photoconductivity in AlGaN/GaN Ultraviolet Photodetectors Using in Situ Heating. IEEE Electron Device Lett. 2017, 38, 56–59. [Google Scholar] [CrossRef]
- Kim, J.-H.; Han, C.-Y.; Lee, K.-H.; An, K.-S.; Song, W.; Kim, J.; Oh, M.S.; Do, Y.R.; Yang, H. Performance Improvement of Quantum Dot-Light-Emitting Diodes Enabled by an Alloyed ZnMgO Nanoparticle Electron Transport Layer. Chem. Mater. 2015, 27, 197–204. [Google Scholar] [CrossRef]
- Lin, C.; Lu, Y.; Lu, Y.; Tian, Y.; Gao, C.; Fan, M.; Yang, X.; Dong, L.; Shan, C.; Shan, C. Diamond based photodetectors for solar-blind communication. Opt. Express 2019, 27, 29962–29971. [Google Scholar] [CrossRef] [PubMed]
- Ahn, J.; Ma, J.; Lee, D.; Lin, Q.; Park, Y.; Lee, O.; Sim, S.; Lee, K.; Yoo, G.; Heo, J. Ultrahigh Deep-Ultraviolet Responsivity of a β- Ga2O3/MgO Heterostructure-Based Phototransistor. ACS Photonics 2021, 8, 557–566. [Google Scholar] [CrossRef]
- Chen, Y.; Lu, Y.; Liao, M.; Tian, Y.; Liu, Q.; Gao, C.; Yang, X.; Shan, C. 3D Solar-Blind Ga2O3 Photodetector Array Realized Via Origami Method. Adv. Funct. Mater. 2019, 29, 1906040. [Google Scholar] [CrossRef]
- Dai, X.; Zheng, Q.; Zhang, X.; Wang, Y.; Ren, H.; Xiang, G. High Performance Photoresponse of Transparent β-Ga2O3 Film Prepared by Polymer-Assisted Deposition. Mater. Lett. 2021, 284, 128912. [Google Scholar] [CrossRef]
- Chen, Y.; Lu, Y.; Yang, X.; Li, S.; Li, K.; Chen, X.; Xu, Z.; Zang, J.; Shan, C. Bandgap Engineering of Gallium Oxides by Crystalline Disorder. Mater. Today Phys. 2021, 18, 100369. [Google Scholar] [CrossRef]
- Zhang, Z.; Chen, Z.; Chen, M.; Wang, K.; Chen, H.; Deng, S.; Wang, G.; Chen, J. ε-Ga2O3 Thin Film Avalanche Low-Energy X-Ray Detectors for Highly Sensitive Detection and Fast-Response Applications. Adv. Mater. Technol. 2021, 6, 2001094. [Google Scholar] [CrossRef]
- Wang, J.; Xiong, Y.; Ye, L.; Li, W.; Qin, G.; Ruan, H.; Zhang, H.; Fang, L.; Kong, C.; Li, H. Balanced Performance for β-Ga2O3 Solar Blind Photodetectors: The Role of Oxygen Vacancies. Opt. Mater. 2021, 112, 110808. [Google Scholar] [CrossRef]
- Luan, S.; Dong, L.; Ma, X.; Jia, R. The Further Investigation of N-Doped β-Ga2O3 Thin Films with Native Defects for Schottky-Barrier Diode. J. Alloys Compd. 2020, 812, 152026. [Google Scholar] [CrossRef]
- Li, S.; Yue, J.; Ji, X.; Lu, C.; Yan, Z.; Li, P.; Guo, D.; Wu, Z.; Tang, W. Oxygen Vacancies Modulating the Photodetector Performances in ε-Ga2O3 Thin Films. J. Mater. Chem. C 2021, 9, 5437–5444. [Google Scholar] [CrossRef]
- Li, K.H.; Kang, C.H.; Min, J.-H.; Alfaraj, N.; Liang, J.W.; Braic, L.; Guo, Z.; Hedhili, M.N.; Ng, T.K.; Ooi, B.S. Single-Crystalline All-Oxide α–γ–β Heterostructures for Deep-Ultraviolet Photodetection. ACS Appl. Mater. Interfaces 2020, 12, 53932–53941. [Google Scholar] [CrossRef] [PubMed]
- Qin, Y.; Li, L.H.; Yu, Z.; Wu, F.; Dong, D.; Guo, W.; Zhang, Z.; Yuan, J.H.; Xue, K.H.; Miao, X.; et al. Ultra-High Performance Amorphous Ga2O3 Photodetector Arrays for Solar-Blind Imaging. Adv. Sci 2021, 8, 2101106. [Google Scholar] [CrossRef] [PubMed]
- Xie, C.; Lu, X.; Liang, Y.; Chen, H.; Wang, L.; Wu, C.; Wu, D.; Yang, W.; Luo, L. Patterned Growth of β-Ga2O3 Thin Films for Solar-Blind Deep-Ultraviolet Photodetectors Array and Optical Imaging Application. J. Mater. Sci. Technol. 2021, 72, 189–196. [Google Scholar] [CrossRef]
- Qin, Y.; Li, L.; Zhao, X.; Tompa, G.S.; Dong, H.; Jian, G.; He, Q.; Tan, P.; Hou, X.; Zhang, Z.; et al. Metal–Semiconductor–Metal ε-Ga2O3 Solar-Blind Photodetectors with a Record-High Responsivity Rejection Ratio and Their Gain Mechanism. ACS Photonics 2020, 7, 812–820. [Google Scholar] [CrossRef]
- Singh Pratiyush, A.; Krishnamoorthy, S.; Vishnu Solanke, S.; Xia, Z.; Muralidharan, R.; Rajan, S.; Nath, D.N. High Responsivity in Molecular Beam Epitaxy Grown β-Ga2O3 Metal Semiconductor Metal Solar Blind Deep-UV Photodetector. Appl. Phys. Lett. 2017, 110, 221107. [Google Scholar] [CrossRef]
- Qian, L.X.; Wu, Z.H.; Zhang, Y.Y.; Lai, P.T.; Liu, X.Z.; Li, Y.R. Ultrahigh-Responsivity, Rapid-Recovery, Solar-Blind Photodetector Based on Highly Nonstoichiometric Amorphous Gallium Oxide. ACS Photonics 2017, 4, 2203–2211. [Google Scholar] [CrossRef]
- Liu, H.; Li, H.; Zhou, S.; Zhang, H.; Fan, S.; Cui, Y.; Kong, C.; Ye, L.; Xiong, Y.; Li, W. Transport Mechanism of Enhanced Performance in an Amorphous/Monoclinic Mixed-Phase Ga2O3 Solar-Blind Deep Ultraviolet Photodetector. Crystals 2021, 11, 1111. [Google Scholar] [CrossRef]
- Dong, L.; Yu, J.; Jia, R.; Hu, J.; Zhang, Y.; Sun, J. Self-Powered MSM Deep-Ultraviolet β-Ga2O3 Photodetector Realized by an Asymmetrical Pair of Schottky Contacts. Opt. Mater. Express 2019, 9, 1191–1199. [Google Scholar] [CrossRef]
- Kong, W.Y.; Wu, G.A.; Wang, K.Y.; Zhang, T.F.; Zou, Y.F.; Wang, D.D.; Luo, L.-B. Graphene-Ga2O3 Heterojunction for Highly Sensitive Deep UV Photodetector Application. Adv. Mater. 2016, 28, 10725–10731. [Google Scholar] [CrossRef]
- Zhang, Z.-X.; Yao, J.-S.; Liang, L.; Tong, X.-W.; Lin, Y.; Liang, F.-X.; Yao, H.-B.; Luo, L.-B. High-Performance Photocoupler Based on Perovskite Light Emitting Diode and Photodetector. ACS Appl. Mater. Interfaces 2018, 10, 39441–39447. [Google Scholar] [CrossRef]
- Arora, K.; Goel, N.; Kumar, M.; Kumar, M. Ultrahigh Performance of Self-Powered β-Ga2O3 Thin Film Solar-Blind Photodetector Grown on Cost-Effective Si Substrate Using High-Temperature Seed Layer. ACS Photonics 2018, 5, 2391–2401. [Google Scholar] [CrossRef]
- Zhao, B.; Wang, F.; Chen, H.; Zheng, L.; Su, L.; Zhao, D.; Fang, X. An Ultrahigh Responsivity (9.7 mA W−1) Self-Powered Solar-Blind Photodetector Based on Individual ZnO–Ga2O3 Heterostructures. Adv. Funct. Mater. 2017, 27, 1700264. [Google Scholar] [CrossRef]
- Wang, Y.; Cui, W.; Yu, J.; Zhi, Y.; Li, H.; Hu, Z.-Y.; Sang, X.; Guo, E.; Tang, W.; Wu, Z. One-Step Growth of Amorphous/Crystalline Ga2O3 Phase Junctions for High-Performance Solar-Blind Photodetection. ACS Appl. Mater. Interfaces 2019, 11, 45922–45929. [Google Scholar] [CrossRef]
- Li, S.; Guo, D.; Li, P.; Wang, X.; Wang, Y.; Yan, Z.; Liu, Z.; Zhi, Y.; Huang, Y.; Wu, Z.; et al. Ultrasensitive, Superhigh Signal-to-Noise Ratio, Self-Powered Solar-Blind Photodetector Based on n-Ga2O3/p-CuSCN Core–Shell Microwire Heterojunction. ACS Appl. Mater. Interfaces 2019, 11, 35105–35114. [Google Scholar] [CrossRef] [PubMed]
- Oh, S.; Kim, C.-K.; Kim, J. High Responsivity β-Ga2O3 Metal–Semiconductor–Metal Solar-Blind Photodetectors with Ultraviolet Transparent Graphene Electrodes. ACS Photonics 2018, 5, 1123–1128. [Google Scholar] [CrossRef]
- Guo, D.; Qian, X.; Lv, H.; Su, Y.; Yao, G.; Wang, S.; Li, C.; Li, P.; Tang, W. Decrease of oxygen vacancy by Zn-doped for improving solar-blind photoelectric performance in β-Ga2O3 thin films. Electron. Mater. Lett. 2017, 13, 483–488. [Google Scholar] [CrossRef]
- Huang, Z.; Zhou, S.; Chen, L.; Zheng, Q.; Li, H.; Xiong, Y.; Ye, L.; Kong, C.; Fan, S.; Zhang, H.; et al. Fully Transparent Amorphous Ga2O3-Based Solar-Blind Ultraviolet Photodetector with Graphitic Carbon Electrodes. Crystals 2022, 12, 1427. [Google Scholar] [CrossRef]
- Yu, M.; Lv, C.; Yu, J.; Shen, Y.; Yuan, L.; Hu, J.; Zhang, S.; Cheng, H.; Zhang, Y.; Jia, R. High-performance photodetector based on sol–gel epitaxially grown α/β Ga2O3 thin films. Mater. Today Commun. 2020, 25, 101532. [Google Scholar] [CrossRef]
- Zhou, S.; Zhang, H.; Peng, X.; Liu, H.; Li, H.; Xiong, Y.; Li, W.; Yang, P.; Ye, L.; Kong, C. Fully Transparent and High-Performance ε-Ga2O3 Photodetector Arrays for Solar-Blind Imaging and Deep-Ultraviolet Communication. Adv. Photonics Res. 2022, 3, 2200192. [Google Scholar] [CrossRef]
- Qin, Y.; Long, S.; He, Q.; Dong, H.; Jian, G.; Zhang, Y.; Hou, X.; Tan, P.; Zhang, Z.; Lu, Y.; et al. Amorphous Gallium Oxide-Based Gate-Tunable High-Performance Thin Film Phototransistor for Solar-Blind Imaging. Adv. Electron. Mater. 2019, 5, 1900389. [Google Scholar] [CrossRef]
- Chen, Y.C.; Lu, Y.J.; Lin, C.N.; Tian, Y.Z.; Gao, C.J.; Dong, L.; Shan, C.X. Self-Powered Diamond/β-Ga2O3 Photodetectors for Solar-Blind Imaging. J. Mater. Chem. C 2018, 6, 5727–5732. [Google Scholar] [CrossRef]





| Materials | Idark (pA) | R (A/W) | τr (s) | τd (s) | Ref |
|---|---|---|---|---|---|
| β-Ga2O3 | 1.3 × 104@10 V | / | 3.39 | 0.6 | [37] |
| β-Ga2O3 | 110@10 V | ~0.001 | 0.31 | 0.05 | [6] |
| a-Ga2O3 | 2.84@10 V | 2.66 | 2.4 × 10−5 | ~0.001 | [9] |
| a-Ga2O3 | ~1 × 106@10 V | 16.34 | 0.1 | 0.2 | [38] |
| α/β-Ga2O3 | 18.5@15 V | ~0.025 | 0.03 | 0.04 | [39] |
| ε-Ga2O3 | 23.5@6 V | 230 | / | 0.024 | [25] |
| ε-Ga2O3 | ~0.2@5 V | 1.36 | 0.061 | 0.087 | [21] |
| ε-Ga2O3 | ~100@10 V | 262 | 0.07 | 0.2 | [40] |
| ε-Ga2O3 | 350@10 V | 6.18 | 0.14 | 0.09 | This work |
Disclaimer/Publisher’s Note: The statements, opinions and data contained in all publications are solely those of the individual author(s) and contributor(s) and not of MDPI and/or the editor(s). MDPI and/or the editor(s) disclaim responsibility for any injury to people or property resulting from any ideas, methods, instructions or products referred to in the content. |
© 2022 by the authors. Licensee MDPI, Basel, Switzerland. This article is an open access article distributed under the terms and conditions of the Creative Commons Attribution (CC BY) license (https://creativecommons.org/licenses/by/4.0/).
Share and Cite
Zhou, S.; Zheng, Q.; Yu, C.; Huang, Z.; Chen, L.; Zhang, H.; Li, H.; Xiong, Y.; Kong, C.; Ye, L.; et al. A High-Performance ε-Ga2O3-Based Deep-Ultraviolet Photodetector Array for Solar-Blind Imaging. Materials 2023, 16, 295. https://doi.org/10.3390/ma16010295
Zhou S, Zheng Q, Yu C, Huang Z, Chen L, Zhang H, Li H, Xiong Y, Kong C, Ye L, et al. A High-Performance ε-Ga2O3-Based Deep-Ultraviolet Photodetector Array for Solar-Blind Imaging. Materials. 2023; 16(1):295. https://doi.org/10.3390/ma16010295
Chicago/Turabian StyleZhou, Shuren, Qiqi Zheng, Chenxi Yu, Zhiheng Huang, Lingrui Chen, Hong Zhang, Honglin Li, Yuanqiang Xiong, Chunyang Kong, Lijuan Ye, and et al. 2023. "A High-Performance ε-Ga2O3-Based Deep-Ultraviolet Photodetector Array for Solar-Blind Imaging" Materials 16, no. 1: 295. https://doi.org/10.3390/ma16010295
APA StyleZhou, S., Zheng, Q., Yu, C., Huang, Z., Chen, L., Zhang, H., Li, H., Xiong, Y., Kong, C., Ye, L., & Li, W. (2023). A High-Performance ε-Ga2O3-Based Deep-Ultraviolet Photodetector Array for Solar-Blind Imaging. Materials, 16(1), 295. https://doi.org/10.3390/ma16010295

