Features of the Defect Structure and Luminescence of Nominally Pure Lithium Niobate Crystals Produced Using Different Technologies
Abstract
1. Introduction
2. Materials and Methods
3. Results
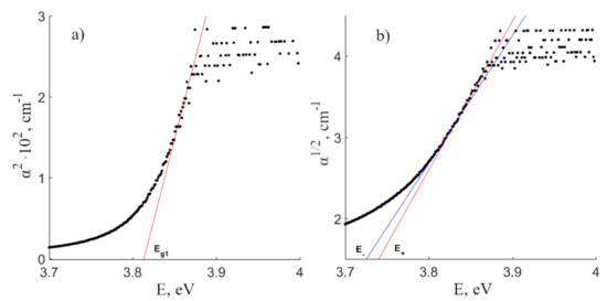
3.1. Study of the Optical Homogeneity of Nominally Pure LiNbO3 Crystals in the Region of the Fundamental Absorption Edge
3.2. PL of CLN, SLN, SLN (6.0 wt% K2O) Crystals in the Visible and Near-Infrared Spectrum
3.2.1. Surface PL in CLN, SLN, SLN (6.0 wt% K2O) Crystals
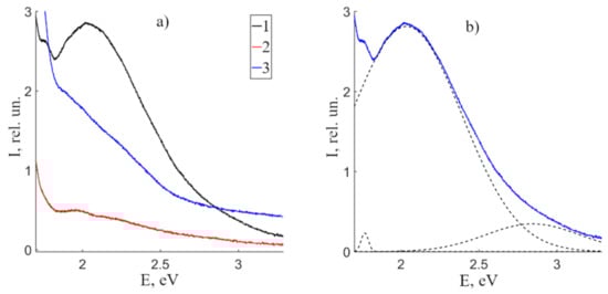
3.2.2. Volume PL in CLN, SLN, SLN (6.0 wt% K2O) Crystals in the Visible Region
3.2.3. Volume PL in CLN, SLN, SLN (6.0 wt% K2O) Crystals in the Near-IR Region
3.3. Thermal PL Quenching of CLN, SLN and SLN (6.0 wt% K2O) Crystals in the Visible and Near-IR Regions
4. Conclusions
Author Contributions
Funding
Institutional Review Board Statement
Informed Consent Statement
Data Availability Statement
Acknowledgments
Conflicts of Interest
References
- Coro, A.; Macareno, L.M.; Aguirrebeitia, J.; de Lacalle, L.N.L. A Methodology to Evaluate the Reliability Impact of the Replacement of Welded Components by Additive Manufacturing Spare Parts. Metals 2019, 9, 932. [Google Scholar] [CrossRef]
- Wong, K.K. Properties of Lithium Niobate; INSPEC: London, UK, 2002; p. 432. [Google Scholar]
- Abrahams, S.C.; Marsh, P. Defect structure dependence on composition in lithium niobate. Acta Crystallogr. Sect. B Struct. Sci. 1986, 42, 61–68. [Google Scholar] [CrossRef]
- Lengyel, K.; Péter, .; Kovacs, L.; Corradi, G.; Palfalvi, L.; Hebling, J.; Unferdorben, M.; Dravecz, G.; Hajdara, I.; Szaller, Z.; et al. Growth, defect structure, and THz application of stoichiometric lithium niobate. Appl. Phys. Rev. 2015, 2, 040601. [Google Scholar] [CrossRef]
- Abdi, F.; Aillerie, M.; Fontana, M.; Bourson, P.; Volk, T.; Maximov, B.; Sulyanov, S.; Rubinina, N.; Wöhlecke, M. Influence of Zn doping on electrooptical properties and structure parameters of lithium niobate crystals. Appl. Phys. A 1999, 68, 795–799. [Google Scholar] [CrossRef]
- Arizmendi, L. Photonic applications of lithium niobate crystals. Phys. Status Solidi (a) 2004, 201, 253–283. [Google Scholar] [CrossRef]
- Gopalan, V.; Mitchell, T.E.; Furukawa, Y.; Kitamura, K. The role of nonstoichiometry in 180° domain switching of LiNbO3 crystals. Appl. Phys. Lett. 1998, 72, 1981–1983. [Google Scholar] [CrossRef]
- Sidorov, N.V.; Pikoul, O.Y.; Kruk, A.A.; Teplyakova, N.A.; Yanichev, A.A.; Palatnikov, M.N. Complex investigations of structural and optical homogeneities of low-photorefractivity lithium niobate crystals by the conoscopy and photoinduced and Raman light scattering methods. Opt. Spectrosc. 2015, 118, 259–268. [Google Scholar] [CrossRef]
- Krampf, A.; Messerschmidt, S.; Imlau, M. Superposed picosecond luminescence kinetics in lithium niobate revealed by means of broadband fs-fluorescence upconversion spectroscopy. Sci. Rep. 2020, 10, 11397. [Google Scholar] [CrossRef]
- Emond, M.; Wiegel, M.; Blasse, G.; Feigelson, R. Luminescence of stoichiometric lithium niobate crystals. Mater. Res. Bull. 1993, 28, 1025–1028. [Google Scholar] [CrossRef]
- Kostritskii, S.; Aillerie, M.; Margueron, S.; Bourson, P. Gated luminescence in as-grown and reduced undoped LiNbO3crystals. J. Phys. Conf. Ser. 2013, 416, 012033. [Google Scholar] [CrossRef]
- Li, Y.; Li, L.; Cheng, X.; Zhao, X. Microscopic Properties of Mg in Li and Nb Sites of LiNbO3 by First-Principle Hybrid Functional: Formation and Related Optical Properties. J. Phys. Chem. C 2017, 121, 8968–8975. [Google Scholar] [CrossRef]
- Palatnikov, M.N.; Sidorov, N.V.; Makarova, O.V.; Biryukova, I.V. Fundamental Aspects of the Technology of Heavily Doped Lithium Niobate Crystals; ICT KSC RAS: Apatity, Russia, 2017; p. 241. [Google Scholar]
- Curie, D. Nonradiative capture at impurity levels. Temperature and optical luminescence quenching. In Luminescence Crystalline; Lozinskaya, N.M., Tolstoy, N.A., Eds.; Izdatel’stvo Inostrannoj Literatury: Moscow, Russia, 1961; pp. 171–177. [Google Scholar]
- Sidorov, N.V.; Teplyakova, N.A.; Titov, R.A.; Palatnikov, M.N. Photovoltaic Fields and the Secondary Structure of Nominally Pure Lithium Niobate Crystals Grown from a Boron-Doped Furnace Charge. Tech. Phys. 2020, 65, 627–634. [Google Scholar] [CrossRef]
- O’Bryan, H.M.; Gallagher, P.K.; Brandle, C.D. Congruent Composition and Li-Rich Phase Boundary of LiNbO3. J. Am. Ceram. Soc. 1985, 68, 493–496. [Google Scholar] [CrossRef]
- Sidorov, N.; Palatnikov, M.; Kadetova, A. Raman Scattering in Non-Stoichiometric Lithium Niobate Crystals with a Low Photorefractive Effect. Crystals 2019, 9, 535. [Google Scholar] [CrossRef]
- Kovács, L.; Ruschhaupt, G.; Polgár, K.; Corradi, G.; Wöhlecke, M. Composition dependence of the ultraviolet absorption edge in lithium niobate. Appl. Phys. Lett. 1997, 70, 2801–2803. [Google Scholar] [CrossRef]
- Salloum, M.Y.; Grunsky, O.S.; Man’Shina, A.A.; Tver’Yanovich, A.S.; Tver’Yanovich, Y.S. Investigation of lithium niobate composition by optical spectroscopy methods. Bull. Acad. Sci. USSR Div. Chem. Sci. 2009, 58, 2228–2232. [Google Scholar] [CrossRef]
- Urbach, F. The Long-Wavelength Edge of Photographic Sensitivity and of the Electronic Absorption of Solids. Phys. Rev. 1953, 92, 1324. [Google Scholar] [CrossRef]
- Fakhri, M.A.; Salim, E.T.; Abdulwahhab, A.W.; Hashim, U.; Munshid, M.A.; Salim, Z.T. The effect of annealing temperature on optical and photoluminescence properties of LiNbO3. Surf. Rev. Lett. 2019, 26, 1950068. [Google Scholar] [CrossRef]
- Bhatt, R.; Bhaumik, I.; Ganesamoorthy, S.; Karnal, A.K.; Swami, M.K.; Patel, H.S.; Gupta, P.K. Urbach tail and bandgap analysis in near stoichiometric LiNbO3 crystals. Phys. Status Solidi (a) 2011, 209, 176–180. [Google Scholar] [CrossRef]
- Serrano, M.; Bermúdez, V.; Arizmendi, L.; Diéguez, E. Determination of the Li/Nb ratio in LiNbO3 crystals grown by Czochralski method with K2O added to the melt. J. Cryst. Growth 2000, 210, 670–676. [Google Scholar] [CrossRef]
- Moss, T.S.; Burrell, G.J.; Ellis, B. Semiconductor Opto-Electronics; Butterworth & Co. Ltd.: London, UK, 1973; p. 441. [Google Scholar]
- Coulter, J.B.; Birnie, D.P. Assessing Tauc Plot Slope Quantification: ZnO Thin Films as a Model System. Phys. Status Solidi (b) 2017, 255, 1700393. [Google Scholar] [CrossRef]
- Bhatt, R.; Bhaumik, I.; Ganesamoorthy, S.; Bright, R.; Soharab, M.; Karnal, A.K.; Gupta, P.K. Control of Intrinsic Defects in Lithium Niobate Single Crystal for Optoelectronic Applications. Crystals 2017, 7, 23. [Google Scholar] [CrossRef]
- Thierfelder, C.; Sanna, S.; Schindlmayr, A.; Schmidt, W.G. Do we know the band gap of lithium niobate? Phys. Status Solidi (c) 2010, 7, 362–365. [Google Scholar] [CrossRef]
- Sanna, S.; Neufeld, S.; Rüsing, M.; Berth, G.; Zrenner, A.; Schmidt, W.G. Raman scattering efficiency inLiTaO3andLiNbO3crystals. Phys. Rev. B 2015, 91, 224302. [Google Scholar] [CrossRef]
- Anikiev, A.; Sidorov, N.; Palatnikov, M.; Umarov, M.; Anikieva, E. Parametrization of nonstoichiometric lithium niobate crystals with different states of defectivity. Opt. Mater. 2020, 111, 110729. [Google Scholar] [CrossRef]
- Shaskolskaya, M.P. Crystallography; Vysshaya shkola: Moscow, Russia, 1984; pp. 279–337. [Google Scholar]
- Raik, A.V.; Bedrina, M.E. Modeling of the process of water adsorption on the surface of crystals. Bull. St. Petersburg Univ. Appl. Math. Comput. Sci. Manag. Process. 2011, 10, 67–75. [Google Scholar]
- Simakov, I.G.; Gulgenov, C.Z.; Gomboev, R.I. Interaction of surface acoustic waves with adsorbed water on the surface of lithium niobate. Bull. Buryat State Univ. Chem. Phys. 2009, 3, 167–171. [Google Scholar]
- Klose, F.; Wöhlecke, M.; Kapphan, S. Uv-excited luminescence of LiNbO3and LiNbO3:Mg. Ferroelectrics 1989, 92, 181–187. [Google Scholar] [CrossRef]
- Murillo, J.; Herrera, G.; Vega-Rios, A.; Flores-Gallardo, S.; Duarte-Moller, A.; Castillo-Torres, J. Effect of Zn doping on the photoluminescence properties of LiNbO3 single crystals. Opt. Mater. 2016, 62, 639–645. [Google Scholar] [CrossRef]
- Kostritskii, S.M.; Sevostyanov, O.G.; Bourson, P.; Aillerie, M.; Fontana, M.D.; Kip, D. Comparative Study of Composition Dependences of Photorefractive and Related Effects in LiNbO3and LiTaO3Crystals. Ferroelectrics 2007, 352, 61–71. [Google Scholar] [CrossRef]
- Tumuluri, A.; Raju, K.J. Luminescence of LiNbO3 polycrystalline ceramics: Effect of Sc2O3 and Lu2O3 doping. Ceram. Int. 2014, 40, 3371–3377. [Google Scholar] [CrossRef]
- Fischer, C.; Wöhlecke, M.; Volk, T.; Rubinina, N. Influence of the Damage Resistant Impurities Zn and Mg on the UV-Excited Luminescence in LiNbO3. Phys. Status Solidi (a) 1993, 137, 247–255. [Google Scholar] [CrossRef]
- Shriver, D.F.; Atkins, P.W. Complex Compounds of d-Metals. In Inorganic Chemistry, 3rd ed.; Rozovoy, M.G., Istomina, S.Y., Tamm, M.E., Zlomanov, V.P., Eds.; Mir: Moscow, Russia, 2004; pp. 330–396. [Google Scholar]
- Ding, S.; Zhang, H.; Zhang, Q.; Chen, Y.; Dou, R.; Peng, F.; Liu, W.; Sun, D. Experimental and first principle study of the structure, electronic, optical and luminescence properties of M-type GdNbO4 phosphor. J. Solid State Chem. 2018, 262, 87–93. [Google Scholar] [CrossRef]
- Blasse, G.; Bril, A. Luminescence phenomena in compounds with fergusonite structure. J. Lumin. 1970, 3, 109–131. [Google Scholar] [CrossRef]
- Lerner, P.; Legras, C.; Dumas, J. Stoechiométrie des monocristaux de métaniobate de lithium. J. Cryst. Growth 1968, 3, 231–235. [Google Scholar] [CrossRef]
- Peterson, G.E.; Carnevale, A. 93Nb NMR Linewidths in Nonstoichiometric Lithium Niobate. J. Chem. Phys. 1972, 56, 4848–4851. [Google Scholar] [CrossRef]
- Yakovlev, V.Y.; Kabanova, E.V.; Weber, T.; Paufler, P. Short-lived color and luminescence centers in LiNbO3 crystals irradiated by pulsed electron beams. Phys. Solid State 2001, 43, 1580–1584. [Google Scholar] [CrossRef]
- Krol, D.M.; Blasse, G.; Powell, R.C. The influence of the Li/Nb ratio on the luminescence properties of LiNbO3. J. Chem. Phys. 1980, 73, 163–166. [Google Scholar] [CrossRef]
- Akhmadullin, I.S.; Golenishchev-Kutuzov, V.A.; Migachev, S.A. Electronic structure of deep centers in LiNbO3. Phys. Solid State 1998, 40, 1012–1018. [Google Scholar] [CrossRef]
- Reichenbach, P.; Kämpfe, T.; Haußmann, A.; Thiessen, A.; Woike, T.; Steudtner, R.; Kocsor, L.; Szaller, Z.; Kovács, L.; Eng, L.M. Polaron-Mediated Luminescence in Lithium Niobate and Lithium Tantalate and Its Domain Contrast. Crystals 2018, 8, 214. [Google Scholar] [CrossRef]
- Zheng, W.-C.; Fang, W.; He, L.; Mei, Y. Spin Hamiltonian parameters and defect structure for the X-ray-induced NbLi4+ center in LiNbO3 crystal. J. Alloy. Compd. 2008, 453, 32–35. [Google Scholar] [CrossRef]
- Nahm, H.H.; Park, C.H. First-principles study of microscopic properties of the Nb antisite inLiNbO3: Comparison to phenomenological polaron theory. Phys. Rev. B 2008, 78, 184108. [Google Scholar] [CrossRef]
- Palatnikov, M.; Sidorov, N.; Kadetova, A.; Makarova, O. Growth and concentration dependences of properties of LiNbO3:Tb crystals grown in a single technological cycle. Opt. Mater. 2021, 122, 111755. [Google Scholar] [CrossRef]
- Schirmer, O.; Thiemann, O.; Wöhlecke, M. Defects in LiNbO3—I. experimental aspects. J. Phys. Chem. Solids 1991, 52, 185–200. [Google Scholar] [CrossRef]
- Powell, R.C.; Freed, E.E. Laser time-resolved studies of exciton migration in doped lithium niobate. J. Chem. Phys. 1979, 70, 4681–4685. [Google Scholar] [CrossRef]
- Galutskii, V.V.; Stroganova, E.V.; Yakovenko, N.A. Spectral separation of Cr3+ optical centers in stoichiometric magnesium-doped lithium niobate crystals. Opt. Spectrosc. 2011, 110, 401–407. [Google Scholar] [CrossRef]
- Harhira, A.; Guilbert, L.; Bourson, P.; Rinnert, H. Decay time of polaron photoluminescence in congruent lithium niobate. Phys. Status Solidi (c) 2007, 4, 926–929. [Google Scholar] [CrossRef]
- Kostritskii, S.M.; Aillerie, M.; Margueron, S.; Bourson, P. Two-photon luminescence of small polarons in reduced LiNbO3crystals. IOP Conf. Ser. Mater. Sci. Eng. 2010, 15, 012057. [Google Scholar] [CrossRef]
- Krampf, A.; Imlau, M.; Suhak, Y.; Fritze, H.; Sanna, S. Evaluation of similarities and differences of LiTaO3 and LiNbO3 based on high-T-conductivity, nonlinear optical fs-spectroscopy and ab initio modeling of polaronic structures. New J. Phys. 2021, 23, 033016. [Google Scholar] [CrossRef]
- Teplyakova, N.A.; Smirnov, M.V.; Sidorov, N.V.; Palatnikov, M.N. Defects and Some Physical Properties of Nominally Pure and Zinc-Doped Lithium Niobate Crystals. Phys. Solid State 2021, 63, 1317–1325. [Google Scholar] [CrossRef]
- Teplyakova, N.A.; Sidorov, N.V.; Palatnikov, M.N.; Syuy, A.V.; Shtarev, D.S. Optical homogeneity and photorefractive properties of stoichiometric and congruent lithium niobate crystals grown using charges of different origins. Inorg. Mater. 2017, 53, 1189–1194. [Google Scholar] [CrossRef]
- Xue, D.; Betzler, K.; Hesse, H. Induced Li-site vacancies and non-linear optical behavior of doped lithium niobate crystals. Opt. Mater. 2001, 16, 381–387. [Google Scholar] [CrossRef]











| Crystal | λabs, nm | R | EU, meV | Eg1, eV | Eg2, eV | Ep, cm−1 | Phonons |
|---|---|---|---|---|---|---|---|
| CLN | 330.0 | 0.948 | 94.4 | 3.813 | 3.644 | 114 | 120 cm−1 |
| SLN | 326.9 | 0.952 | 93.2 | 3.846 | 3.540 | 1187 | complex phonons |
| SLN(6.0 wt% K2O) | 326.0 | - | 50.7 | 3.826 | 3.690 | 328 | 323 or 333 cm−1 |
| The Band | 1 | 2 | 3 | 4 | 5 | 6 | 7 | |
|---|---|---|---|---|---|---|---|---|
| CLN | I, rel. un. | 0.008 | 0.005 | 0.064 | 0.086 | 0.142 | 0.099 | 0.004 |
| E, eV | 2.144 | 2.268 | 2.491 | 2.636 | 2.776 | 2.914 | 3.046 | |
| ΔE, eV | 0.296 | 0.141 | 0.255 | 0.174 | 0.153 | 0.132 | 0.111 | |
| SLN | I, rel. un. | 0.010 | 0.025 | 0.059 | 0.098 | 0.133 | 0.124 | 0.007 |
| E, eV | 2.064 | 2.322 | 2.518 | 2.661 | 2.796 | 2.940 | 3.088 | |
| ΔE, eV | 0.286 | 0.284 | 0.231 | 0.186 | 0.153 | 0.154 | 0.129 | |
| SLN (6.0 wt% K2O) | I, rel. un. | 0.014 | 0.050 | 0.066 | 0.094 | 0.143 | 0.115 | 0.012 |
| E, eV | 2.064 | 2.315 | 2.519 | 2.663 | 2.805 | 2.952 | 3.095 | |
| ΔE, eV | 0.268 | 0.308 | 0.229 | 0.176 | 0.155 | 0.145 | 0.145 | |
| Luminescence Band | 1 | 2 | 3 | 4 | |
|---|---|---|---|---|---|
| CLN | I, rel. un. | 2321 | - | 28,105 | 3464 |
| E, eV | 1.767 | - | 2.035 | 2.846 | |
| ΔE, eV | 0.055 | - | 0.841 | 0.710 | |
| SLN | I, rel. un. | 3609 | 954 | 4175 | 1040 |
| E, eV | 1.696 | 1.941 | 2.061 | 2.899 | |
| ΔE, eV | 0.200 | 0.205 | 0.893 | 0.686 | |
| SLN (6.0 wt% K2O) | I, rel. un. | 1244 | 5393 | 14,677 | 4547 |
| E, eV | 1.780 | 1.886 | 2.043 | 2.869 | |
| ΔE, eV | 0.134 | 0.230 | 0.779 | 0.850 | |
| Luminescence Band | 1 | 2 | 3 | 4 | 5 | 6 | 7 | |
|---|---|---|---|---|---|---|---|---|
| CLN | I, rel. un. | 585 | 994 | 9501 | 851 | 18,647 | 1175 | - |
| E, eV | 1.243 | 1.346 | 1.360 | 1.455 | 1.540 | 1.638 | - | |
| ΔE, eV | 0.024 | 0.029 | 0.237 | 0.054 | 0.291 | 0.045 | - | |
| SLN | I, rel. un. | 693 | 538 | 8448 | 845 | 14,621 | 1363 | 269 |
| E, eV | 1.242 | 1.347 | 1.359 | 1.454 | 1.530 | 1.637 | 1.696 | |
| ΔE, eV | 0.021 | 0.044 | 0.226 | 0.059 | 0.253 | 0.065 | 0.019 | |
| SLN (6.0 wt% K2O) | I, rel. un. | 622 | 2662 | 34,680 | 2679 | 43,711 | 4931 | 1042 |
| E, eV | 1.238 | 1.345 | 1.374 | 1.449 | 1.545 | 1.634 | 1.694 | |
| ΔE, eV | 0.036 | 0.037 | 0.235 | 0.089 | 0.225 | 0.069 | 0.022 | |
| Crystal | E1, eV | Ea, eV | E2, eV | Ea, eV | E3, eV | Ea, eV |
|---|---|---|---|---|---|---|
| CLN | 2.04 | 0.143 | 1.36 | 0.541 | 1.54 | 0.584 |
| SLN | - | - | 1.36 | 0.599 | 1.53 | 0.618 |
| SLN (6.0 wt% K2O) | 2.04 | 0.160 | 1.37 | 0.672 | 1.55 | 0.620 |
Disclaimer/Publisher’s Note: The statements, opinions and data contained in all publications are solely those of the individual author(s) and contributor(s) and not of MDPI and/or the editor(s). MDPI and/or the editor(s) disclaim responsibility for any injury to people or property resulting from any ideas, methods, instructions or products referred to in the content. |
© 2022 by the authors. Licensee MDPI, Basel, Switzerland. This article is an open access article distributed under the terms and conditions of the Creative Commons Attribution (CC BY) license (https://creativecommons.org/licenses/by/4.0/).
Share and Cite
Smirnov, M.; Manukovskaya, D.; Sidorov, N.; Palatnikov, M. Features of the Defect Structure and Luminescence of Nominally Pure Lithium Niobate Crystals Produced Using Different Technologies. Materials 2023, 16, 255. https://doi.org/10.3390/ma16010255
Smirnov M, Manukovskaya D, Sidorov N, Palatnikov M. Features of the Defect Structure and Luminescence of Nominally Pure Lithium Niobate Crystals Produced Using Different Technologies. Materials. 2023; 16(1):255. https://doi.org/10.3390/ma16010255
Chicago/Turabian StyleSmirnov, Maxim, Diana Manukovskaya, Nikolay Sidorov, and Mikhail Palatnikov. 2023. "Features of the Defect Structure and Luminescence of Nominally Pure Lithium Niobate Crystals Produced Using Different Technologies" Materials 16, no. 1: 255. https://doi.org/10.3390/ma16010255
APA StyleSmirnov, M., Manukovskaya, D., Sidorov, N., & Palatnikov, M. (2023). Features of the Defect Structure and Luminescence of Nominally Pure Lithium Niobate Crystals Produced Using Different Technologies. Materials, 16(1), 255. https://doi.org/10.3390/ma16010255

