Investigation of PbSnTeSe High-Entropy Thermoelectric Alloy: A DFT Approach
Abstract
1. Introduction
2. Computational Details
3. Results and Discussion
3.1. Structural and Electronic Properties of PbSnTeSe High-Entropy Alloy
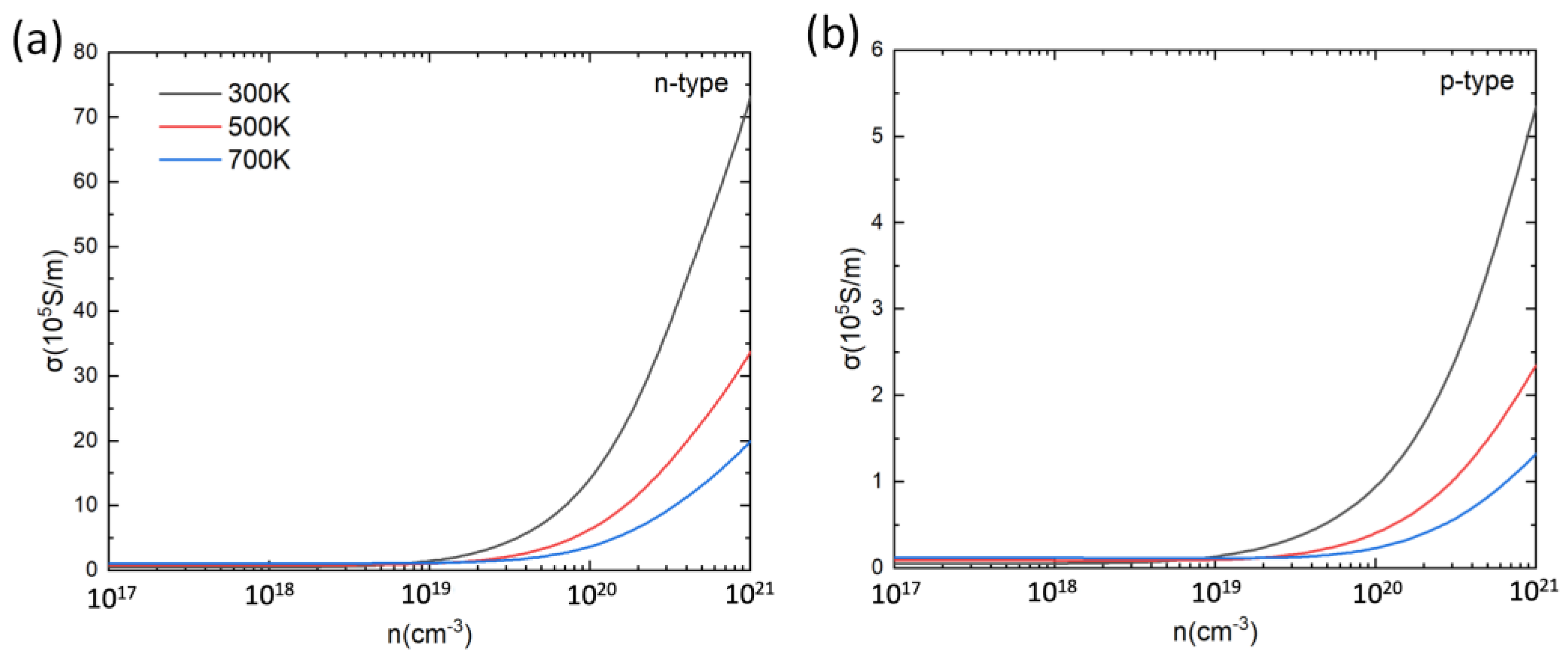
3.2. Seebeck Coefficient, Electrical Conductivity, and Power Factor of PbSnTeSe
3.3. Electronic Thermal Conductivity of PbSnTeSe
3.4. Machine-Learned Force-Field Potential
3.5. Lattice Thermal Conductivity of PbSnTeSe
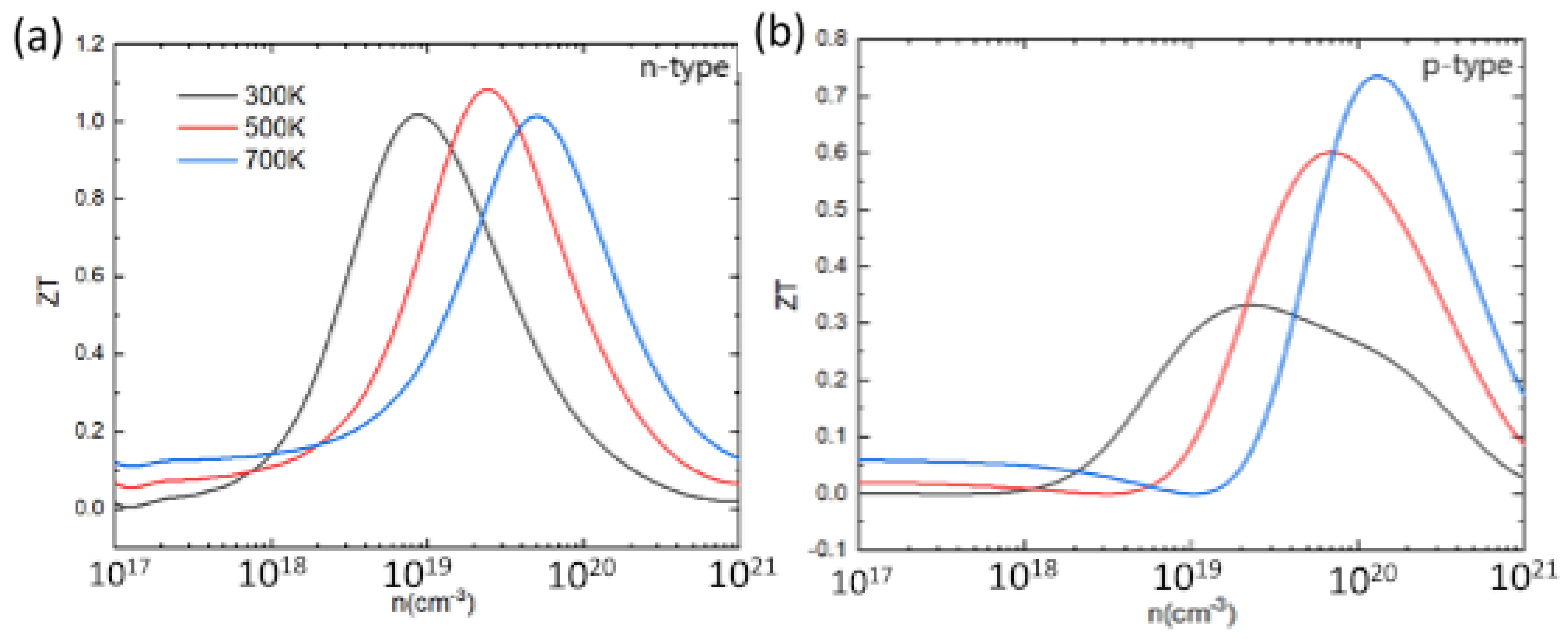
3.6. Figure of Merit of PbSnTeSe
3.7. Comparison with Available Data on PbSnTeSe and Other HEA
4. Conclusions
Author Contributions
Funding
Institutional Review Board Statement
Informed Consent Statement
Data Availability Statement
Acknowledgments
Conflicts of Interest
References
- Jaworski, C.M.; Wiendlocha, B.; Jovovic, V.; Heremans, J.P. Combining alloy scattering of phonons and resonant electronic levels to reach a high thermoelectric figure of merit in PbTeSe and PbTeS alloys. Energy Environ. Sci. 2011, 4, 4155–4162. [Google Scholar] [CrossRef]
 - Snyder, G.J.; Toberer, E.S. Complex thermoelectric materials. Nat. Mater. 2008, 7, 105–114. [Google Scholar] [CrossRef] [PubMed]
 - Biswas, K.; He, J.; Blum, I.D.; Wu, C.-I.; Hogan, T.P.; Seidman, D.N.; Dravid, V.P.; Kanatzidis, M.G. High-performance bulk thermoelectrics with all-scale hierarchical architectures. Nature 2012, 489, 414–418. [Google Scholar] [CrossRef] [PubMed]
 - Sootsman, J.R.; Chung, D.Y.; Kanatzidis, M.G. New and Old Concepts in Thermoelectric Materials. Angew. Chem. Int. Ed. 2009, 48, 8616–8639. [Google Scholar] [CrossRef] [PubMed]
 - Ioffe, A.F.; Stil’Bans, L.S.; Iordanishvili, E.K.; Stavitskaya, T.S.; Gelbtuch, A.; Vineyard, G. Semiconductor Thermoelements and Thermoelectric Cooling. Phys. Today 1959, 12, 42. [Google Scholar] [CrossRef]
 - Vineis, C.J.; Shakouri, A.; Majumdar, A.; Kanatzidis, M.G. Nanostructured Thermoelectrics: Big Efficiency Gains from Small Features. Adv. Mater. 2010, 22, 3970–3980. [Google Scholar] [CrossRef] [PubMed]
 - Pei, Y.; Shi, X.; LaLonde, A.; Wang, H.; Chen, L.; Snyder, G.J. Convergence of electronic bands for high performance bulk thermoelectrics. Nature 2011, 473, 66–69. [Google Scholar] [CrossRef]
 - Pei, Y.; Wang, H.; Snyder, G.J. Band Engineering of Thermoelectric Materials. Adv. Mater. 2012, 24, 6125–6135. [Google Scholar] [CrossRef]
 - Dresselhaus, M.S.; Chen, G.; Tang, M.Y.; Yang, R.G.; Lee, H.; Wang, D.Z.; Ren, Z.F.; Fleurial, J.; Gogna, P. New Directions for Low-Dimensional Thermoelectric Materials. Adv. Mater. 2007, 19, 1043–1053. [Google Scholar] [CrossRef]
 - Zhang, J.; Liu, H.J.; Cheng, L.; Wei, J.; Liang, J.H.; Fan, D.D.; Shi, J.; Tang, X.F.; Zhang, Q.J. Phosphorene nanoribbon as a promising candidate for thermoelectric applications. Sci. Rep. 2014, 4, 6452. [Google Scholar] [CrossRef]
 - Park, K.H.; Martin, P.N.; Ravaioli, U. Electronic and thermal transport study of sinusoidally corrugated nanowires aiming to improve thermoelectric efficiency. Nanotechnology 2015, 27, 35401. [Google Scholar] [CrossRef] [PubMed]
 - Ouyang, T.; Jiang, E.; Tang, C.; Li, J.; He, C.; Zhong, J. Thermal and thermoelectric properties of monolayer indium triphosphide (InP3): A first-principles study. J. Mater. Chem. A 2018, 6, 21532–21541. [Google Scholar] [CrossRef]
 - Luu, S.D.; Vaqueiro, P. Synthesis, characterisation and thermoelectric properties of the oxytelluride Bi2O2Te. J. Solid State Chem. 2015, 226, 219–223. [Google Scholar] [CrossRef]
 - Chen, W.; Pöhls, J.-H.; Hautier, G.; Broberg, D.; Bajaj, S.; Aydemir, U.; Gibbs, Z.M.; Zhu, H.; Asta, M.; Snyder, G.J. Under-standing thermoelectric properties from high-throughput calculations: Trends, insights, and comparisons with experiment. J. Mater. Chem. C 2016, 4, 4414–4426. [Google Scholar] [CrossRef]
 - Tsai, M.-H.; Yeh, J.-W. High-Entropy Alloys: A Critical Review. Mater. Res. Let. 2014, 2, 107–123. [Google Scholar] [CrossRef]
 - Yeh, J.-W.; Chen, S.K.; Lin, S.-J.; Gan, J.-Y.; Chin, T.-S.; Shun, T.-T.; Tsau, C.-H.; Chang, S.-Y. Nanostructured High-Entropy Alloys with Multiple Principal Elements: Novel Alloy Design Concepts and Outcomes. Adv. Eng. Mater. 2004, 6, 299–303. [Google Scholar] [CrossRef]
 - Yeh, J.-W. Recent progress in high-entropy alloys. Eur. J. Control 2006, 31, 633–648. [Google Scholar] [CrossRef]
 - Santodonato, L.J.; Zhang, Y.; Feygenson, M.; Parish, C.M.; Gao, M.C.; Weber, R.J.; Neuefeind, J.C.; Tang, Z.; Liaw, P.K. Deviation from high-entropy configurations in the atomic distributions of a multi-principal-element alloy. Nat. Commun. 2015, 6, 5964. [Google Scholar] [CrossRef]
 - Senkov, O.; Miller, J.; Miracle, D.; Woodward, C. Accelerated exploration of multi-principal element alloys with solid solution phases. Nat. Commun. 2015, 6, 6529. [Google Scholar] [CrossRef]
 - Dragoe, N.; Bérardan, D. Order emerging from disorder. Science 2019, 366, 573–574. [Google Scholar] [CrossRef]
 - Ataie, S.; Keshtmand, R.; Zamani-Meymian, M. Nano-mechanical properties of Cr-Zr-Nb-N medium entropy alloy films produced by reactive sputtering. Int. J. Refract. Met. Hard Mater. 2023, 110, 106006. [Google Scholar] [CrossRef]
 - Qin, J.; Liu, Z.; Tan, P.; Yi, D.; Wang, B. Study on the formation and regulation mechanism of W phase and the improvement of mechanical properties in homogenization of cast Al–Cu-Sc-Zr alloys: Experiments and calculations. Vacuum 2023, 207, 111631. [Google Scholar] [CrossRef]
 - Yu, Z.; Yan, Y.; Qiang, J.; Gao, W.; Wang, X.; Liu, X.; Du, W. Microstructure evolution and compressive property variation of AlxCoCrFeNi high entropy alloys produced by directional solidification. Intermetallics 2023, 152, 107749. [Google Scholar] [CrossRef]
 - Ali, N.; Zhang, L.; Liu, D.; Zhou, H.; Sanaullah, K.; Zhang, C.; Chu, J.; Nian, Y.; Cheng, J. Strengthening mechanisms in high entropy alloys: A review. Mater. Today Commun. 2022, 33, 104686. [Google Scholar] [CrossRef]
 - Łoński, W.; Spilka, M.; Kądziołka-Gaweł, M.; Gębara, P.; Radoń, A.; Warski, T.; Łoński, S.; Barbusiński, K.; Młynarek-Żak, K.; Babilas, R. Microstructure, magnetic properties, corrosion resistance and catalytic activity of dual-phase AlCoNiFeTi and AlCoNiFeTiSi high entropy alloys. J. Alloy. Compd. 2023, 934, 167827. [Google Scholar] [CrossRef]
 - Xing, F.; Ma, J.; Shimizu, K.; Furukawa, S. High-entropy intermetallics on ceria as efficient catalysts for the oxidative de-hydrogenation of propane using CO2. Nat. Commun. 2022, 13, 5065. [Google Scholar] [CrossRef]
 - Mori, K.; Hashimoto, N.; Kamiuchi, N.; Yoshida, H.; Kobayashi, H.; Yamashita, H. Hydrogen spillover-driven synthesis of high-entropy alloy nanoparticles as robust catalyst for CO2 hydrogenation. Nat. Commun. 2021, 12, 3884. [Google Scholar] [CrossRef]
 - Liu, Y.; Chen, Z.; Yang, X.; Zhang, J.; Sun, Z.; Chen, Y.; Liu, F. High entropy nanoparticles of CoCrXFeNi (X=Al, Cu, Mn) loaded on activated carbon for efficient degradation of methylene blue. J. Mater. Res. Technol. 2021, 15, 256–267. [Google Scholar] [CrossRef]
 - Nundy, S.; Tatar, D.; Kojcinovic, J.; Ullah, H.; Ghosh, A.; Mallick, T.K.; Meinusch, R.; Smarsly, B.M.; Tahir, A.A.; Djerdj, I. Bandgap Engineering in Novel Fluorite-Type Rare Earth High-Entropy Oxides (RE-HEOs) with Computational and Experi-mental Validation for Photocatalytic Water Splitting Applications. Adv. Sustain. Syst. 2022, 6, 2200067. [Google Scholar] [CrossRef]
 - Pang, Z.; Wang, B.; Yan, X.; Wang, C.; Yin, S.; Li, H.; Xia, J. Unique Sillén-structured multimetal high entropy oxyhalide PbxCd1-xBiO2Br with enhanced photocatalytic activity. Appl. Surf. Sci. 2022, 578, 151921. [Google Scholar] [CrossRef]
 - Wang, T.; Wang, Y.; Wang, N.; Xu, S.; Han, Z.; Wang, Y. Development of a novel (Ni40Fe30Co20Al10)90Ti10 high-entropy alloy with excellent photocatalytic performance. Mater. Lett. 2021, 283, 128817. [Google Scholar] [CrossRef]
 - Edalati, P.; Shen, X.-F.; Watanabe, M.; Ishihara, T.; Arita, M.; Fuji, M.; Edalati, K. High-entropy oxynitride as a low-bandgap and stable photocatalyst for hydrogen production. J. Mater. Chem. A 2021, 9, 15076–15086. [Google Scholar] [CrossRef]
 - Ju, S.-P.; Li, C.-C.; Shih, H.-T. How atoms of polycrystalline Nb20.6Mo21.7Ta15.6W21.1V21.0 refractory high-entropy alloys rearrange during the melting process. Sci. Rep. 2022, 12, 5183. [Google Scholar] [CrossRef] [PubMed]
 - Detor, A.; Oppenheimer, S.; Casey, R.; Crawford, C. Refractory high entropy alloy dataset with room temperature ductility screening. Data Brief 2022, 45, 108582. [Google Scholar] [CrossRef]
 - Lee, C.; Maresca, F.; Feng, R.; Chou, Y.; Ungar, T.; Widom, M.; An, K.; Poplawsky, J.D.; Chou, Y.-C.; Liaw, P.K.; et al. Strength can be controlled by edge dislocations in refractory high-entropy alloys. Nat. Commun. 2021, 12, 5474. [Google Scholar] [CrossRef] [PubMed]
 - Das, S.; Robi, P.S. A novel refractory WMoVCrTa high-entropy alloy possessing fine combination of compressive stress-strain and high hardness properties. Adv. Powder Technol. 2020, 31, 4619–4631. [Google Scholar] [CrossRef]
 - Chen, B.; Zhuo, L. Latest progress on refractory high entropy alloys: Composition, fabrication, post processing, performance, simulation and prospect. Int. J. Refract. Met. Hard Mater. 2023, 110, 105993. [Google Scholar] [CrossRef]
 - Pan, Y.; Liu, J.-X.; Tu, T.-Z.; Wang, W.; Zhang, G.-J. High-entropy oxides for catalysis: A diamond in the rough. Chem. Eng. J. 2023, 451, 138659. [Google Scholar] [CrossRef]
 - Mirzoev, A.A.; Gelchinski, B.R.; Rempel, A.A. Neural Network Prediction of Interatomic Interaction in Multielement Sub-stances and High-Entropy Alloys: A Review. In Doklady Physical Chemistry; Springer: Berlin/Heidelberg, Germany, 2022; Volume 504, pp. 51–77. [Google Scholar]
 - Tiwary, C.S.; Pandey, P.; Sarkar, S.; Das, R.; Samal, S.; Biswas, K.; Chattopadhyay, K. Five decades of research on the development of eutectic as engineering materials. Prog. Mater. Sci. 2022, 123, 100793. [Google Scholar] [CrossRef]
 - Yadav, T.P.; Kumar, A.; Verma, S.K.; Mukhopadhyay, N.K. High-Entropy Alloys for Solid Hydrogen Storage: Potentials and Prospects. Trans. Indian Natl. Acad. Eng. 2022, 7, 147–156. [Google Scholar] [CrossRef]
 - Chen, Y.; Fu, H.; Huang, Y.; Huang, L.; Zheng, X.; Dai, Y.; Huang, Y.; Luo, W. Opportunities for High-Entropy Materials in Rechargeable Batteries. ACS Mater. Lett. 2020, 3, 160–170. [Google Scholar] [CrossRef]
 - Zhang, Y.; Zuo, T.T.; Tang, Z.; Gao, M.C.; Dahmen, K.A.; Liaw, P.K.; Lu, Z.P. Microstructures and properties of high-entropy alloys. Prog. Mater. Sci. 2014, 61, 1–93. [Google Scholar] [CrossRef]
 - Rost, C.M.; Borman, T.; Hossain, M.D.; Lim, M.; Quiambao-Tomko, K.F.; Tomko, J.A.; Brenner, D.W.; Maria, J.-P.; Hopkins, P.E. Electron and phonon thermal conductivity in high entropy carbides with variable carbon content. Acta Mater. 2020, 196, 231–239. [Google Scholar] [CrossRef]
 - Wang, H.; LaLonde, A.D.; Pei, Y.; Snyder, G.J. The Criteria for Beneficial Disorder in Thermoelectric Solid Solutions. Adv. Funct. Mater. 2013, 23, 1586–1596. [Google Scholar] [CrossRef]
 - Berardan, D.; Meena, A.K.; Franger, S.; Herrero, C.; Dragoe, N. Controlled Jahn-Teller distortion in (MgCoNiCuZn)O-based high entropy oxides. J. Alloys Compd. 2017, 704, 693–700. [Google Scholar] [CrossRef]
 - Zhang, R.-Z.; Gucci, F.; Zhu, H.; Chen, K.; Reece, M.J. Data-Driven Design of Ecofriendly Thermoelectric High-Entropy Sulfides. Inorg. Chem. 2018, 57, 13027–13033. [Google Scholar] [CrossRef]
 - Yamashita, A.; Goto, Y.; Miura, A.; Moriyoshi, C.; Kuroiwa, Y.; Mizuguchi, Y. n-Type thermoelectric metal chalcogenide (Ag,Pb,Bi)(S,Se,Te) designed by multi-site-type high-entropy alloying. Mater. Res. Lett. 2021, 9, 366–372. [Google Scholar] [CrossRef]
 - Jiang, B.; Yu, Y.; Cui, J.; Liu, X.; Xie, L.; Liao, J.; Zhang, Q.; Huang, Y.; Ning, S.; Jia, B.; et al. High-entropy-stabilized chalcogenides with high thermoelectric performance. Science 2021, 371, 830–834. [Google Scholar] [CrossRef]
 - Zhai, W.; Li, L.; Zhao, M.; Hu, Q.; Li, J.; Yang, G.; Yan, Y.; Zhang, C.; Liu, P.-F. Phonon transport in Zintl Ba2ZnAs2 and Ba2ZnSb2: A first-principles study. Mater. Sci. Semicond. Process. 2022, 141, 106446. [Google Scholar] [CrossRef]
 - Andriyevsky, B.; Barchiy, I.E.; Studenyak, I.P.; Kashuba, A.I.; Piasecki, M. Electron, phonon and thermoelectric properties of Cu7PS6 crystal calculated at DFT level. Sci. Rep. 2021, 11, 19065. [Google Scholar] [CrossRef]
 - Cheng, S.; He, Y.; Chang, Z.; Sun, Z.; Zhang, X.; Tang, D.; Li, G.K.; Wang, N.; Shen, C.; Jiang, B. Structural, elastic, phononic, optical and electronic properties investigation of two-dimensional aluminum, gallium, indium iodide sulfide for photocatalytic water splitting. Int. J. Hydrog. Energy 2022, 47, 41640–41647. [Google Scholar] [CrossRef]
 - Shao, X.; Sun, Y.; Zhang, Y.; Wu, Q.; Zhao, J.; Li, Y.; Liu, B. Contributions of bonding heterogeneity to mechanical and thermal properties of rare earth molybdates for thermal barrier coatings. J. Phys. Chem. Solids 2023, 173, 111087. [Google Scholar] [CrossRef]
 - Wang, X.; Zhao, Y.; Zeng, S.; Wang, Z.; Chen, Y.; Ni, J. Cubic halide perovskites as potential low thermal conductivity materials: A combined approach of machine learning and first-principles calculations. Phys. Rev. B 2022, 105, 014310. [Google Scholar] [CrossRef]
 - Wang, Y.; Zhang, X. On the role of crystal defects on the lattice thermal conductivity of monolayer WSe2 (P63/mmc) thermoelectric materials by DFT calculation. Superlattices Microstruct. 2021, 160, 107057. [Google Scholar] [CrossRef]
 - Gupta, M.K.; Ding, J.; Bansal, D.; Abernathy, D.L.; Ehlers, G.; Osti, N.C.; Zeier, W.G.; Delaire, O. Strongly Anharmonic Pho-nons and Their Role in Superionic Diffusion and Ultralow Thermal Conductivity of Cu7PSe6. Adv. Energy Mater. 2022, 12, 2200596. [Google Scholar] [CrossRef]
 - Han, L.; Chen, X.; Wang, Q.; Chen, Y.; Xu, M.; Wu, L.; Chen, C.; Lu, P.; Guan, P. Neural network potential for studying the thermal conductivity of Sn. Comput. Mater. Sci. 2021, 200, 110829. [Google Scholar] [CrossRef]
 - Li, R.; Liu, Z.; Rohskopf, A.; Gordiz, K.; Henry, A.; Lee, E.; Luo, T. A Deep neural network interatomic potential for studying thermal conductivity of β-Ga2O3. Appl. Phys. Lett. 2020, 117, 152102. [Google Scholar] [CrossRef]
 - Verdi, C.; Kasai, F.; Liu, P.; Jinnouchi, R.; Kresse, G. Thermal transport and phase transitions of zirconia by on-the-fly machine-learned interatomic potentials. NPJ Comput. Mater. 2021, 7, 156. [Google Scholar] [CrossRef]
 - Korotaev, P.; Novoselov, I.; Yanilkin, A.; Shapeev, A. Accessing thermal conductivity of complex compounds by machine learning interatomic potentials. Phys. Rev. B 2019, 100, 144308. [Google Scholar] [CrossRef]
 - Fan, Z.; Wang, H.; Wu, Y.; Liu, X.; Lu, Z. Thermoelectric performance of PbSnTeSe high-entropy alloys. Mater. Res. Lett. 2017, 5, 187–194. [Google Scholar] [CrossRef]
 - Raphel, A.; Singh, A.K.; Vivekanandhan, P.; Kumaran, S. Thermoelectric performance of nanostructured PbSnTeSe high entropy thermoelectric alloy synthesized via spark plasma sintering. Phys. B Condens. Matter 2021, 622, 413319. [Google Scholar] [CrossRef]
 - Raphel, A.; Vivekanandhan, P.; Rajasekaran, A.K.; Kumaran, S. Tuning figure of merit in Na doped nanocrystalline PbSnTeSe high entropy alloy via band engineering. Mater. Sci. Semicond. Process. 2022, 138, 106270. [Google Scholar] [CrossRef]
 - Baroni, S.; Bertossa, R.; Ercole, L.; Grasselli, F.; Marcolongo, A. Heat Transport in Insulators from Ab Initio Green-Kubo Theory. In Handbook of Materials Modeling: Applications: Current and Emerging Materials; Andreoni, W., Yip, S., Eds.; Springer: Berlin/Heidelberg, Germany, 2020; pp. 809–844. [Google Scholar]
 - Podryabinkin, E.V.; Shapeev, A.V. Active learning of linearly parametrized interatomic potentials. Comput. Mater. Sci. 2017, 140, 171–180. [Google Scholar] [CrossRef]
 - Jinnouchi, R.; Karsai, F.; Verdi, C.; Asahi, R.; Kresse, G. Descriptors representing two- and three-body atomic distributions and their effects on the accuracy of machine-learned inter-atomic potentials. J. Chem. Phys. 2020, 152, 234102. [Google Scholar] [CrossRef]
 - Blöchl, P.E. Projector augmented-wave method. Phys. Rev. B 1994, 50, 17953–17979. [Google Scholar] [CrossRef]
 - Kresse, G.; Hafner, J. Ab initio molecular dynamics for liquid metals. Phys. Rev. B 1993, 47, 558. [Google Scholar] [CrossRef] [PubMed]
 - Kresse, G.; Furthmüller, J. Efficient iterative schemes for ab initio total-energy calculations using a plane-wave basis set. Phys. Rev. B 1996, 54, 11169–11186. [Google Scholar] [CrossRef]
 - Kresse, G.; Furthmüller, J. Efficiency of ab-initio total energy calculations for metals and semiconductors using a plane-wave basis set. Comput. Mater. Sci. 1996, 6, 15–50. [Google Scholar] [CrossRef]
 - Perdew, J.P.; Burke, K.; Ernzerhof, M. Generalized gradient approximation made simple. Phys. Rev. Lett. 1996, 77, 3865. [Google Scholar] [CrossRef]
 - Ziesche, P.; Kurth, S.; Perdew, J.P. Density functionals from LDA to GGA. Comput. Mater. Sci. 1998, 11, 122–127. [Google Scholar] [CrossRef]
 - Arrigoni, M.; Madsen, G.K.H. Comparing the performance of LDA and GGA functionals in predicting the T lattice thermal conductivity of III-V semiconductor materials in the zincblende structure: The cases of AlAs and BAs. Comput. Mater. Sci. 2019, 156, 354–360. [Google Scholar] [CrossRef]
 - van de Walle, A.; Tiwary, P.; de Jong, M.; Olmsted, D.; Asta, M.; Dick, A.; Shin, D.; Wang, Y.; Chen, L.-Q.; Liu, Z.-K. Efficient stochastic generation of special quasirandom structures. Calphad 2013, 42, 13–18. [Google Scholar] [CrossRef]
 - Madsen, G.K.; Carrete, J.; Verstraete, M.J. BoltzTraP2, a program for interpolating band structures and calculating semi-classical transport coefficients. Comput. Phys. Commun. 2018, 231, 140–145. [Google Scholar] [CrossRef]
 - Bardeen, J.; Shockley, W. Deformation Potentials and Mobilities in Non-Polar Crystals. Phys. Rev. 1950, 80, 72–80. [Google Scholar] [CrossRef]
 - Cutler, M.; Mott, N.F. Observation of Anderson Localization in an Electron Gas. Phys. Rev. 1969, 181, 1336–1340. [Google Scholar] [CrossRef]
 - Dresselhaus, M.S.; Heremans, J.P. Recent Developments in Low-Dimensional Thermoelectric Materials, In Thermoelectrics Handbook Macro to Nano; Rowe, D.M., Ed.; CRC Taylor & Francis: Boca Raton, FL, USA, 2006; pp. 39–42. [Google Scholar]
 - Drude, P. Zur Elektronentheorie der Metalle. Ann. Phys. 1900, 306, 566–613. [Google Scholar] [CrossRef]
 - Drude, P. Zur elektronentheorie der metalle; II. Teil. galvanomagnetische und thermomagnetische effecte. Ann. Phys. 1900, 308, 369–402. [Google Scholar] [CrossRef]
 - Sommerfeld, A. Zur Elektronentheorie der Metalle auf Grund der Fermischen Statistik. Z. Phys. 1928, 47, 1928. [Google Scholar] [CrossRef]
 - Stojanovic, N.; Maithripala, D.H.S.; Berg, J.M.; Holtz, M. Thermal conductivity in metallic nanostructures at high temperature: Electrons, phonons, and the Wiedemann-Franz law. Phys. Rev. B 2010, 82, 075418. [Google Scholar] [CrossRef]
 - Jonson, M.; Mahan, G.D. Mott’s formula for the thermopower and the Wiedemann-Franz law. Phys. Rev. B 1980, 21, 4223–4229. [Google Scholar] [CrossRef]
 - Bürkle, M.; Asai, Y.; Buerkle, M. How To Probe the Limits of the Wiedemann–Franz Law at Nanoscale. Nano Lett. 2018, 18, 7358–7361. [Google Scholar] [CrossRef] [PubMed]
 - Bafekry, A.; Shahrokhi, M.; Shafique, A.; Jappor, H.R.; Fadlallah, M.M.; Stampfl, C.; Ghergherehchi, M.; Mushtaq, M.; Feghhi, S.A.H.; Gogova, D. Semiconducting Chalcogenide Alloys Based on the (Ge, Sn, Pb) (S, Se, Te) Formula with Outstanding Properties: A First-Principles Calculation Study. ACS Omega 2021, 6, 9433–9441. [Google Scholar] [CrossRef] [PubMed]
 - Deng, Z.; Olvera, A.; Casamento, J.; Lopez, J.S.; Williams, L.; Lu, R.; Shi, G.; Poudeu, P.F.P.; Kioupakis, E. Semiconducting High-Entropy Chalcogenide Alloys with Ambi-ionic Entropy Stabilization and Ambipolar Doping. Chem. Mater. 2020, 32, 6070–6077. [Google Scholar] [CrossRef]
 - Wang, X.; Yao, H.; Zhang, Z.; Li, X.; Chen, C.; Yin, L.; Hu, K.; Yan, Y.; Li, Z.; Yu, B.; et al. Enhanced Thermoelectric Performance in High Entropy Alloys Sn0.25Pb0.25Mn0.25Ge0.25Te. ACS Appl. Mater. Interfaces 2021, 13, 18638–18647. [Google Scholar] [CrossRef] [PubMed]
 










| Carrier Type | C | E1 | m* | τ (fs) | τ (fs) | τ (fs) | 
|---|---|---|---|---|---|---|
| eV/Å3 | (eV) | (me) | 300 K | 500 K | 700 K | |
| Hole | 0.195 | 12.945 | 0.520 | 17.3 | 8.06 | 4.87 | 
| Electron | 0.195 | 6.434 | 0.303 | 158 | 73.4 | 44.3 | 
| Energy (meV/Atom) | Force (eV/Å) | Stress (kB) | 
|---|---|---|
| 1.045 | 0.057 | 0.244 | 
| Property | Fan et al. [61] | Raphel et al. [62] | 
|---|---|---|
| Seebeck coefficient (μV/K) | 160 | 160 | 
| Electrical conductivity (S/m) | 2.86 × 104 | 2.65 × 104 | 
| Power factor (W/(mK2)) | 8 × 10−4 | 6.7 × 10−4 | 
| Lattice thermal conductivity (W/(mK)) | 0.87 | 0.45 | 
| Total thermal conductivity (W/(mK)) | 1.2 | 0.9 | 
| Figure of merit | 0.45 | 0.47 | 
Disclaimer/Publisher’s Note: The statements, opinions and data contained in all publications are solely those of the individual author(s) and contributor(s) and not of MDPI and/or the editor(s). MDPI and/or the editor(s) disclaim responsibility for any injury to people or property resulting from any ideas, methods, instructions or products referred to in the content.  | 
© 2022 by the authors. Licensee MDPI, Basel, Switzerland. This article is an open access article distributed under the terms and conditions of the Creative Commons Attribution (CC BY) license (https://creativecommons.org/licenses/by/4.0/).
Share and Cite
Xia, M.; Record, M.-C.; Boulet, P. Investigation of PbSnTeSe High-Entropy Thermoelectric Alloy: A DFT Approach. Materials 2023, 16, 235. https://doi.org/10.3390/ma16010235
Xia M, Record M-C, Boulet P. Investigation of PbSnTeSe High-Entropy Thermoelectric Alloy: A DFT Approach. Materials. 2023; 16(1):235. https://doi.org/10.3390/ma16010235
Chicago/Turabian StyleXia, Ming, Marie-Christine Record, and Pascal Boulet. 2023. "Investigation of PbSnTeSe High-Entropy Thermoelectric Alloy: A DFT Approach" Materials 16, no. 1: 235. https://doi.org/10.3390/ma16010235
APA StyleXia, M., Record, M.-C., & Boulet, P. (2023). Investigation of PbSnTeSe High-Entropy Thermoelectric Alloy: A DFT Approach. Materials, 16(1), 235. https://doi.org/10.3390/ma16010235
        
