Recycling Unused Midazolam Drug as Efficient Corrosion Inhibitor for Copper in Nitric Acid Solution
Abstract
:1. Introduction
2. Materials and Methods
2.1. Materials
2.2. Weight Loss Measurements
2.3. Electrochemical Methods
2.4. Surface Morphology
2.5. Molecular Modelling and Quantum Chemical Calculation
3. Results and Discussion
3.1. Weight Loss Measurements
3.2. Potentiodynamic Polarization Measurements
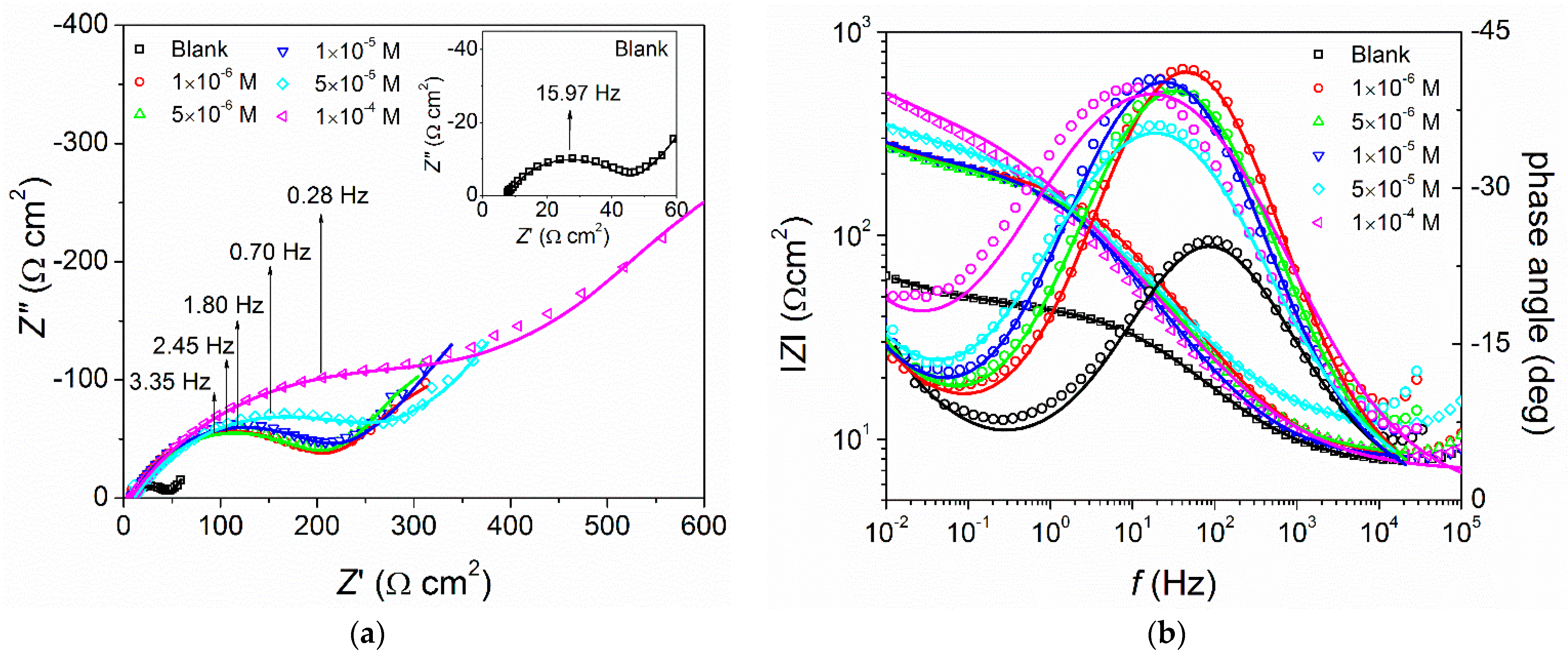
3.3. Electrochemical Impedance Spectroscopy Measurements
3.4. Adsorption Isotherm
3.5. Surface Analysis
3.6. Quantum Chemical Calculation
4. Corrosion Inhibition Mechanism
5. Conclusions
Author Contributions
Funding
Institutional Review Board Statement
Informed Consent Statement
Data Availability Statement
Acknowledgments
Conflicts of Interest
References
- Mohammad, A.J.M. Global Impact of Corrosion: Occurrence, Cost and Mitigation. Glob. J. Eng. Sci. 2020, 5, 1–5. [Google Scholar] [CrossRef]
- Valdez, B.; Schorr, M.; Zlatev, R.; Carrillo, M.; Stoytcheva, M.; Alvarez, L.; Eliezer, A.; Rosas, N. Corrosion Control in Industry. In Environmental and Industrial Corrosion—Practical and Theoretical Aspects; Salas, B.V., Schorr, M., Eds.; IntechOpen: London, UK, 2012. [Google Scholar] [CrossRef] [Green Version]
- Benzbiria, N.; Echihi, S.; Belghiti, M.E.; Thoume, A.; Elmakssoudi, A.; Zarrouk, A.; Zertoubi, M.; Azzi, M. Novel synthetized benzodiazepine as efficient corrosion inhibitor for copper in 3.5% NaCl solution. Mater. Today Proc. 2021, 37, 3932–3939. [Google Scholar] [CrossRef]
- El Aoufir, Y.; Sebhaoui, J.; Chaouiki, A.; Lgaz, H.; Salghi, R.; Guenbour, A.; Oudda, H.; Essassi, E.M. Two novel benzodiazepines as corrosion inhibitors for carbon steel in hydrochloric acid: Experimental and computational studies. J. Bio-Tribo Corros. 2018, 4, 54. [Google Scholar] [CrossRef]
- Zarrouk, A.; Zarrok, H.; Salghi, R.; Hammouti, B.; Al-Deyab, S.S.; Touzani, R.; Bouachrine, M.; Warad, I.; Hadda, T.B. A Theoretical Investigation on the Corrosion Inhibition of Copper by Quinoxaline Derivatives in Nitric Acid Solution. Int. J. Electrochem. Sci. 2012, 7, 6353–6364. [Google Scholar]
- Khalifa, O.R.M.; Kassab, A.K.; Mohamed, H.A.; Ahmed, S.Y. Corrosion Inhibition of Copper and Copper Alloy in 3M Nitric Acid Solution using Organic Inhibitors. J. Am. Sci. 2010, 6, 487–498. [Google Scholar] [CrossRef]
- Antonijevic, M.M.; Petrovic, M.B. Copper Corrosion Inhibitors. A review. Int. J. Electrochem. Sci. 2008, 3, 1–28. [Google Scholar]
- Lee, Y.-S.; Yoon, J.-S.; Jo, Y.-R.; Lee, H.; Rha, S.-K. Dilute H2SO4 solution for copper seed cleaning in electroplating. Trans. Nonferrous Met. Soc. China 2013, 23, 562–566. [Google Scholar] [CrossRef]
- Fateh, A.; Aliofkhazraei, M.; Rezvanian, A.R. Review of corrosive environments for copper and its corrosion inhibitors. Arab. J. Chem. 2020, 13, 481–544. [Google Scholar] [CrossRef]
- Khaled, K.F. Corrosion control of copper in nitric acid solutions using some amino acids—A combined experimental and theoretical study. Corros. Sci. 2010, 52, 3225–3234. [Google Scholar] [CrossRef]
- Chauhan, D.S.; Quraishi, M.A.; Mazumder, M.A.J.; Ali, S.A.; Aljeaban, N.A.; Alharbi, B.G. Design and synthesis of a novel corrosion inhibitor embedded with quaternary ammonium, amide and amine motifs for protection of carbon steel in 1 M HCl. J. Mol. Liq. 2020, 317, 113917. [Google Scholar] [CrossRef]
- Rashid, K.H.; Khadom, A.A. 3-Methoxypropyl-amine as corrosion inhibitor for X80 steel in simulated saline water. J. Mol. Liq. 2020, 319, 114326. [Google Scholar] [CrossRef]
- Kumar, H.; Kumari, M. Experimental and theoretical investigation of 3,3-diamino dipropyl amine: Highly efficient corrosion inhibitor for carbon steel in 2 N HCl at normal and elevated temperatures. J. Mol. Struct. 2021, 1229, 129598. [Google Scholar] [CrossRef]
- Jiang, B.; Sun, W.; Cai, J.; Chen, S.; Hou, B. Inhibition of carbon steel corrosion in HCl solution using N-oleyl-1,3-propanediamine based formulation. Colloids Surf. A Physicochem. Eng. Asp. 2021, 624, 126824. [Google Scholar] [CrossRef]
- Vaszilcsin, N.; Ordodi, V.; Borza, A. Corrosion inhibitors from expired drugs. Int. J. Pharm. 2012, 431, 241–244. [Google Scholar] [CrossRef] [PubMed]
- Pathak, R.K.; Mishra, P. Drugs as Corrosion Inhibitors: A Review. Int. J. Sci. Res. 2016, 5, 671–677. [Google Scholar]
- Bhathiwal, A.S.; Bendi, A.; Tiwari, A. A Study on Synthesis of Benzodiazepine Scaffolds using Biologically Active Chalcones as Precursors. J. Mol. Struct. 2022, 1258, 132649. [Google Scholar] [CrossRef]
- Majid, S.A.; Khanday, W.A.; Tomar, R. Synthesis of 1,5-Benzodiazepine and Its Derivatives by Condensation Reaction Using H-MCM-22 as Catalyst. J. Biomed. Biotechnol. 2012, 2012, 510650. [Google Scholar] [CrossRef] [Green Version]
- Noureddine, H.A.; Keita, A.; Essassi, E.M. Synthèse des 1-pyrazolyl, isoxazolyl et 1, 2, 3- triazolylméthyl-1, 5-benzodiazépines par cycloaddition dipolaire-1,3. Comptes Rendus L’académie Sci. Ser. IIC Chem. 1999, 2, 519–523. [Google Scholar] [CrossRef]
- Sebhaoui, J.; El Bakri, Y.; El Aoufir, Y.; Anouar, E.H.; Guenbour, A.; Nasser, A.A.; Mokhtar Essassi, E. Synthesis, NMR Characterization, DFT and Anti-Corrosion on Carbon Steel in 1M HCl of Two Novel 1,5-Benzodiazepines. J. Mol. Struct. 2019, 1182, 123–130. [Google Scholar] [CrossRef]
- Laabaissi, T.; Benhiba, F.; Rouifi, Z.; Rbaa, M.; Oudda, H.; Zarrok, H.; Lakhrissi, B.; Guenbour, A.; Warad, I.; Zarrouk, A. Benzodiazepine derivatives as corrosion inhibitors of carbon steel in HCl media: Electrochemical and theoretical studies. Prot. Met. Phys. Chem. Surf. 2019, 55, 986–1000. [Google Scholar] [CrossRef]
- Sasikala, T.; Gnana Priya, K.; Akila, A. An Investigation on Corrosion Inhibition Efficacy of Benzodiazepines on Mild Steel in Acid Medium. Mater. Today Proc. 2022, 49, 2205–2211. [Google Scholar] [CrossRef]
- Sasikala, T.; Parameswari, K.; Chitra, S.; Kiruthika, A. Synthesis and Corrosion Inhibition Study of Benzodiazepines on Mild Steel in Sulphuric Acid Medium. Measurement 2017, 101, 175–182. [Google Scholar] [CrossRef]
- Laabaissi, T.; Bouassiria, M.; Oudda, H.; Zarrok, H.; Zarrouk, A.; Elmidaoui, A.; Lakhrissi, L.; Lakhrissi, B.; Essassi, E.M.; Touir, R. Adsorption and Corrosion Inhibition Effect of Benzodiazepine Derivative on Carbon Steel in 2.0 M H3PO4 Medium. J. Mater. Environ. Sci. 2016, 7, 1538–1548. [Google Scholar]
- Gece, G. Drugs: A review of promising novel corrosion inhibitors. Corros. Sci. 2011, 53, 3873–3898. [Google Scholar] [CrossRef]
- Gupta, N.K.; Gopal, C.S.A.; Srivastava, V.; Quraishi, M.A. Application of expired drugs in corrosion inhibition of mild steel. Int. J. Pharm. Chem. Anal. 2017, 4, 8–12. [Google Scholar]
- Wickware, C. Supplies of sedative used for COVID-19 patients diverted from France to avoid potential shortages. Pharm. J. 2020. [Google Scholar] [CrossRef]
- Xie, W.; Zhong, Z.; Li, G.; Hou, G.; Huang, K.; Yu, Z. A comparative study on clinical effects of dexmedetomidine and midazolam on patients with severe coronavirus disease 2019 on non-invasive ventilation. Zhonghua Wei Zhong Bing Ji Jiu Yi Xue 2020, 32, 677–680. [Google Scholar] [CrossRef]
- Tarantini, M.G.; Ramos, S.; Secrétan, P.-H.; Guichard, L.; Hassani, L.; Bellanger, A.; Mayaux, J.; Tilleul, P.; El Kouari, F.; Sadou Yayé, H. Therapeutic Treatment Plan Optimization during the COVID-19 Pandemic: A Comprehensive Physicochemical Compatibility Study of Intensive Care Units Selected Drugs. Pharmaceutics 2022, 14, 550. [Google Scholar] [CrossRef]
- Andersin, R. Solubility and acid-base behaviour of midazolam in media of different pH, studied by ultraviolet spectrophotometry with multicomponent software. J. Pharm. Biomed. Anal. 1991, 9, 451–455. [Google Scholar] [CrossRef]
- Kanto, J.H. Midazolam: The First Water-soluble Benzodiazepine. Pharmacology, pharmacokinetics and efficacy in insomnia and anesthesia. Pharmacotherapy 1985, 5, 138–155. [Google Scholar] [CrossRef]
- Frisch, M.J.; Trucks, G.W.; Schlegel, H.B.; Scuseria, G.E.; Robb, M.A.; Cheeseman, J.R.; Scalmani, G.; Barone, V.; Mennucci, B.; Petersson, G.A.; et al. GAUSSIAN 09; Revision B.01; Gaussian Inc.: Wallingford, CT, USA, 2010. [Google Scholar]
- Tian, H.; Li, W.; Cao, K.; Hou, B. Potent Inhibition of Copper Corrosion in Neutral Chloride Media by Novel Non-Toxic Thiadiazole Derivatives. Corros. Sci. 2013, 73, 281–291. [Google Scholar] [CrossRef]
- Karthik, G.; Sundaravadivelu, M. Investigations of the Inhibition of Copper Corrosion in Nitric Acid Solutions by Levetiracetam Drug. Egypt. J. Pet. 2016, 25, 481–493. [Google Scholar] [CrossRef] [Green Version]
- Liang, G.-H. Electrochemical Corrosion Behavior of API X120 Steel at Different Temperatures in CO 2 Saturated NaCl Solution in Presence of 2-[2-(Dimethylamino)Ethoxy]Ethanol as Inhibitor. Int. J. Electrochem. Sci. 2021, 16, 21093. [Google Scholar] [CrossRef]
- Yusuf, T.L.; Quadri, T.W.; Tolufashe, G.F.; Olasunkanmi, L.O.; Ebenso, E.E.; Van Zyl, W.E. Synthesis and Structures of Divalent Co, Ni, Zn and Cd Complexes of Mixed Dichalcogen and Dipnictogen Ligands with Corrosion Inhibition Properties: Experimental and Computational Studies. RSC Adv. 2020, 10, 41967–41982. [Google Scholar] [CrossRef]
- Pourbaix, M. Atlas of Electrochemical Equilibria in Aqueous Solutions, 2nd ed.; National Association of Corrosion Engineers: Houston, TX, USA, 1974. [Google Scholar]
- Tan, B.; Zhang, S.; Cao, X.; Fu, A.; Guo, L.; Marzouki, R.; Li, W. Insight into the anti-corrosion performance of two food flavors as eco-friendly and ultra-high performance inhibitors for copper in sulfuric acid medium. J. Colloid Interface Sci. 2022, 609, 838–851. [Google Scholar] [CrossRef] [PubMed]
- Brug, G.J.; van den Eeden, A.L.G.; Sluyters-Rehbach, M.; Sluyters, J.H. The Analysis of Electrode Impedances Complicated by the Presence of a Constant Phase Element. J. Electroanal. Chem. Interfacial Electrochem. 1984, 176, 275–295. [Google Scholar] [CrossRef]
- Laabaissi, T.; Rbaa, M.; Benhiba, F.; Rouifi, Z.; Kumar, U.P.; Bentiss, F.; Oudda, H.; Lakhrissi, B.; Warad, I.; Zarrouk, A. Insight into the Corrosion Inhibition of New Benzodiazepine Derivatives as Highly Efficient Inhibitors for Mild Steel in 1 M HCl: Experimental and Theoretical Study. Colloids Surf. A Physicochem. Eng. Asp. 2021, 629, 127428. [Google Scholar] [CrossRef]
- Madkour, L.H.; Elshamy, I.H. Experimental and Computational Studies on the Inhibition Performances of Benzimidazole and Its Derivatives for the Corrosion of Copper in Nitric Acid. Int. J. Ind. Chem. 2016, 7, 195–221. [Google Scholar] [CrossRef] [Green Version]
- Turnbull, J.; Szukalo, R.; Zagidulin, D.; Biesinger, M.; Shoesmith, D. The Kinetics of Copper Corrosion in Nitric Acid. Mater. Corros. 2021, 72, 348–360. [Google Scholar] [CrossRef]
- Pearson, R.G. Absolute Electronegativity and Hardness Correlated with Molecular Orbital Theory. Proc. Nat. Acad. Sci. USA 1986, 83, 8440–8441. [Google Scholar] [CrossRef] [Green Version]
- Kovačević, N.; Kokalj, A. Analysis of molecular electronic structure of imidazole- and benzimidazole-based inhibitors: A simple recipe for qualitative estimation of chemical hardness. Corros. Sci. 2011, 53, 3225–3234. [Google Scholar] [CrossRef]
- Şahin, M.; Gece, G.; Karcı, F.; Bilgiç, S. Experimental and theoretical study of the effect of some heterocyclic compounds on the corrosion of low carbon steel in 3.5% NaCl medium. J. Appl. Electrochem. 2008, 38, 809–815. [Google Scholar] [CrossRef]
- Samide, A.; Tutunaru, B.; Dobriţescu, A.; Ilea, P.; Vladu, A.-C.; Tigae, C. Electrochemical and Theoretical Study of Metronidazole Drug as Inhibitor for Copper Corrosion in Hydrochloric Acid Solution. Int. J. Electrochem. Sci. 2016, 11, 5520–5534. [Google Scholar] [CrossRef]
- Tasić, Z.Z.; Mihajlović, M.B.P.; Simonović, A.T.; Radovanović, M.B.; Antonijević, M.M. Ibuprofen as a Corrosion Inhibitor for Copper in Synthetic Acid Rain Solution. Sci. Rep. 2019, 9, 14710. [Google Scholar] [CrossRef] [PubMed] [Green Version]
- El Asri, A.; Jmiai, A.; Mohamed Rguiti, M.; Oukhrib, R.; Abbiche, K.; Zejli, H.; Hilali, M.; Bourzi, H.; Bazzi, L.; El Issami, S. Computational and Experimental Studies of the Inhibitory Effect of Imidazole Derivatives for the Corrosion of Copper in an Acid Medium. J. Mol. Liq. 2022, 345, 117813. [Google Scholar] [CrossRef]
- Shalabi, K.; Abdel-Galil, E.; El-Askalany, A.H.; Abdallah, Y.M. Adsorption, Electrochemical Behavior, and Theoretical Studies for Copper Corrosion Inhibition in 1 M Nitric acid Medium using Triazine Derivatives. J. Mol. Liq. 2022, 348, 118420. [Google Scholar] [CrossRef]
- Zarrouk, A.; Hammouti, B.; Zarrok, H.; Bouachrine, M.; Khaled, K.F.; Al-Deyab, S.S. Corrosion Inhibition of Copper in Nitric Acid Solutions Using a New Triazole Derivative. Int. J. Electrochem. Sci. 2012, 7, 89–105. [Google Scholar]
- Gadow, H.S.; Farghaly, T.A.; Eldesoky, A.M. Experimental and theoretical investigations for some spiropyrazoles derivatives as corrosion inhibitors for copper in 2 M HNO3 solutions. J. Mol. Liq. 2019, 294, 111614. [Google Scholar] [CrossRef]







| Concentration (M) | Wcorr (g m−2 h−1) | E (%) | θ |
|---|---|---|---|
| Blank | 0.255 | - | - |
| 1 × 10−6 | 0.123 | 51.8 | 0.518 |
| 5 × 10−6 | 0.084 | 67.1 | 0.671 |
| 1 × 10−5 | 0.075 | 70.6 | 0.706 |
| 5 × 10−5 | 0.050 | 80.4 | 0.804 |
| 1 × 10−4 | 0.018 | 92.9 | 0.929 |
| Concentration (M) | Ecorr (V) | icorr (µA cm−2) | ba (mV) | bc (mV) | Rp (Ω cm2) | vcorr (mm y−1) | E (%) | θ |
|---|---|---|---|---|---|---|---|---|
| Blank | 0.273 | 123.1 | 39 | −220 | 117 | 1.43 | - | - |
| 1 × 10−6 | 0.222 | 15.4 | 54 | −328 | 1306 | 0.18 | 87.5 | 0.875 |
| 5 × 10−6 | 0.223 | 14.2 | 57 | −390 | 1426 | 0.16 | 88.5 | 0.885 |
| 1 × 10−5 | 0.220 | 13.1 | 55 | −410 | 1602 | 0.15 | 89.3 | 0.893 |
| 5 × 10−5 | 0.215 | 13.0 | 55 | −217 | 1456 | 0.15 | 89.4 | 0.894 |
| 1 × 10−4 | 0.196 | 8.7 | 63 | −262 | 2540 | 0.10 | 92.9 | 0.929 |
| Concentration (M) | RS (Ω) | CPE-T (F cm−2 sn−1) | n | Rct (Ω cm2) | Cdl (µF cm−2) | Rd (Ω cm2) | τd (s) | Chi2 | E (%) |
|---|---|---|---|---|---|---|---|---|---|
| Blank | 7.4 (0.5%) | 1.53 × 10−3 (2.3%) | 0.59 | 38.6 (0.6%) | 82.4 | 61.5 (2.0%) | 107.7 | 6.1 × 10−4 | - |
| 1 × 10−6 | 8.1 (0.7%) | 6.34 × 10−4 (1.8%) | 0.66 | 191.5 (1.1%) | 43.4 | 291.2 (2.7%) | 167.3 | 6.9 × 10−4 | 79.9 |
| 5 × 10−6 | 8.2 (0.8%) | 8.64 × 10−4 (2.0%) | 0.63 | 193.9 (0.9%) | 47.7 | 296.2 (2.7%) | 170.2 | 1.2 × 10−3 | 80.1 |
| 1 × 10−5 | 7.9 (0.8%) | 1.08 × 10−3 (2.1%) | 0.60 | 217.4 (1.5%) | 45.8 | 394.6 (7.5%) | 272.0 | 1.3 × 10−3 | 82.3 |
| 5 × 10−5 | 8.1 (0.7%) | 1.27 × 10−3 (1.7%) | 0.56 | 274.0 (1.5%) | 45.6 | 501.6 (2.4%) | 280.0 | 7.9 × 10−4 | 85.9 |
| 1 × 10−4 | 6.9 (0.9%) | 1.44 × 10−3 (1.6%) | 0.55 | 388.5 (1.9%) | 35.6 | 828.4 (4.2%) | 307.7 | 1.2 × 10−3 | 90.1 |
| Measurement | R2 | Kads (M−1) | ΔGoads (kJ mol−1) |
|---|---|---|---|
| Weight loss | 0.99729 | 3.49 × 105 | −41.57 |
| Tafel | 0.99982 | 1.99 × 106 | −45.89 |
| EIS | 0.99973 | 1.07 × 106 | −44.35 |
| Structure | HOMO (eV) | LUMO (eV) | ΔE (eV) | µ (Debye) | χ (eV) | η (eV) | σ (eV−1) | ΔN |
|---|---|---|---|---|---|---|---|---|
| closed-ring | −6.039 | −1.693 | 4.346 | 4.653 | 3.866 | 2.173 | 0.460 | 0.141 |
| open-ring | −5.799 | −2.213 | 3.587 | 8.600 | 4.007 | 1.793 | 0.558 | 0.132 |
| protonated | −6.582 | −2.347 | 4.236 | 16.414 | 4.465 | 2.118 | 0.472 | 0.004 |
| Corrosive Media | Inhibitor/Concentration | icorr (µA cm−2) | RP (Ω cm2) | E (%) | ΔGoads (kJ mol−1) | ΔE (eV) | Ref. |
|---|---|---|---|---|---|---|---|
| HNO3 0.1 M | Midazolam drug/(imidazo-benzodiazepine) | 8.7 | 2540 | 92.9 | −45.89 | 4.207 | This work |
| HNO3 0.5 M | Levetiracetam drug/300 ppm (pyrrole) | 154.7 | 167.3 | 91.7 | −19.24 | 4.1435 | [34] |
| HCl 1.0 M | Metronidazole drug/1 mM (imidazole) | 10.3 | 3012.6 | 91.8 | n/a | 4.583 | [46] |
| Acid rain sol. | Ibuprofen drug/10 mM | 0.287 | 29,300 | 97.2 | −31 | 9.31 | [47] |
| HNO3 0.1 M | 1-Methylimidazole/1 mM | 2.0 | 8772 | 76.0 | −34.818 | 6.4889 | [48] |
| HNO3 1.0 M | L-methionine sulfone/5.0 mM | 1.11 | 10,384 | 90.7 | n/a | 3.776 | [10] |
| HNO3 1.0 M | Triazine derivative/0.1 mM | 13.95 | 415.6 | 91.0 | −44.7 | 1.39 | [49] |
| HNO3 2.0 M | 3-amino-1,2,4-triazole/10 mM | 95.3 | 2269 | 73.9 | −29.95 | 5.7528 | [50] |
| HNO3 2.0 M | Quinoxaline derivative/1 mM | 62.2 | n/a | 82.9 | n/a | 3.259 | [5] |
| HNO3 2.0 M | 2-(2-benzimidazolyl)-4(phenylazo) phenol/1 µM | 235 | 45.08 | 96.8 | −48.75 | 3.189 | [41] |
| HNO3 2.0 M | Spiropyrazole derivative/100 mg/L | 17.12 | 14.98 | 89.9 | −11.28 | 7.837 | [51] |
| NaCl 3.5% | 5-phenyl-1,3,4-thiadiazole-2-thiol/100 mg/L | 0.14 | 122,000 | 97.5 | −37.5 | 4.835 | [33] |
| NaCl 3.5% | Benzodiazepine derivative/1 mM | 110 | 8183 | 96.0 | −47 | n/a | [3] |
Publisher’s Note: MDPI stays neutral with regard to jurisdictional claims in published maps and institutional affiliations. |
© 2022 by the authors. Licensee MDPI, Basel, Switzerland. This article is an open access article distributed under the terms and conditions of the Creative Commons Attribution (CC BY) license (https://creativecommons.org/licenses/by/4.0/).
Share and Cite
Kellenberger, A.; Duca, D.A.; Dan, M.L.; Medeleanu, M. Recycling Unused Midazolam Drug as Efficient Corrosion Inhibitor for Copper in Nitric Acid Solution. Materials 2022, 15, 2918. https://doi.org/10.3390/ma15082918
Kellenberger A, Duca DA, Dan ML, Medeleanu M. Recycling Unused Midazolam Drug as Efficient Corrosion Inhibitor for Copper in Nitric Acid Solution. Materials. 2022; 15(8):2918. https://doi.org/10.3390/ma15082918
Chicago/Turabian StyleKellenberger, Andrea, Delia Andrada Duca, Mircea Laurentiu Dan, and Mihai Medeleanu. 2022. "Recycling Unused Midazolam Drug as Efficient Corrosion Inhibitor for Copper in Nitric Acid Solution" Materials 15, no. 8: 2918. https://doi.org/10.3390/ma15082918
APA StyleKellenberger, A., Duca, D. A., Dan, M. L., & Medeleanu, M. (2022). Recycling Unused Midazolam Drug as Efficient Corrosion Inhibitor for Copper in Nitric Acid Solution. Materials, 15(8), 2918. https://doi.org/10.3390/ma15082918

