Prediction of Exchange-Correlation Energy of Graphene Sheets from Reverse Degree-Based Molecular Descriptors with Applications
Abstract
:1. Introduction
2. Relationship between the Exchange-Correlation Energy and the Reverse General Inverse Sum Indeg Descriptor of Graphene Sheets
| Graphene Sheets | |||||||||||
|---|---|---|---|---|---|---|---|---|---|---|---|
| C6 | 12 | 6 | 6 | 4.2426 | 6 | 24 | 6 | 6 | 3 | 12 | 12 |
| C10 | 38 | 33 | 6.8284 | 6.0165 | 6.6667 | 136 | 10.771 | 11.243 | 9.1667 | 14 | 122 |
| C13 | 48 | 39 | 10.243 | 8.5855 | 10 | 162 | 14.657 | 15.364 | 11.5 | 21 | 138 |
| C16 | 58 | 45 | 13.657 | 11.154 | 13.333 | 188 | 18.542 | 19.485 | 13.833 | 28 | 154 |
| C19 | 68 | 51 | 17.071 | 13.723 | 16.667 | 214 | 22.428 | 23.606 | 16.167 | 35 | 170 |
| C22 | 79 | 60 | 20.364 | 16.267 | 20 | 249 | 26.485 | 27.546 | 19 | 41.5 | 202 |
| C24 | 84 | 60 | 23.485 | 18.414 | 23 | 252 | 29.314 | 30.728 | 20 | 48 | 192 |
| C28 | 98 | 71 | 27.485 | 21.534 | 27 | 296 | 34.314 | 35.728 | 23.5 | 56 | 230 |
| C30 | 104 | 73 | 30.399 | 24.104 | 30.33 | 306 | 37.199 | 38.849 | 24.833 | 62 | 230 |
| C32 | 110 | 75 | 33.314 | 25.673 | 32.667 | 316 | 40.97 | 41.97 | 26.167 | 68 | 230 |
3. Reverse General Inverse Sum Indeg Descriptor of Graphene
- (i)
- (ii)
- (iii)
- (iv)
- (v)
- (vi)
- (vii)
- (viii)
- (ix)
- (x)
- (xi)
- (i)
- (ii)
- (iii)
- (iv)
- (v)
- (vi)
- (vii)
- (viii)
- (ix)
- (x)
- (xi)
- (i)
- (ii)
- (iii)
- (iv)
- (v)
- (vi)
- (vii)
- (viii)
- (ix)
- (x)
- (xi)
- (i)
- (ii).
- (ii)
- (iv).
- (iii)
- (vi).
- (iv)
- (viii).
- (v)
- (x).
- (vi)
4. Conclusions
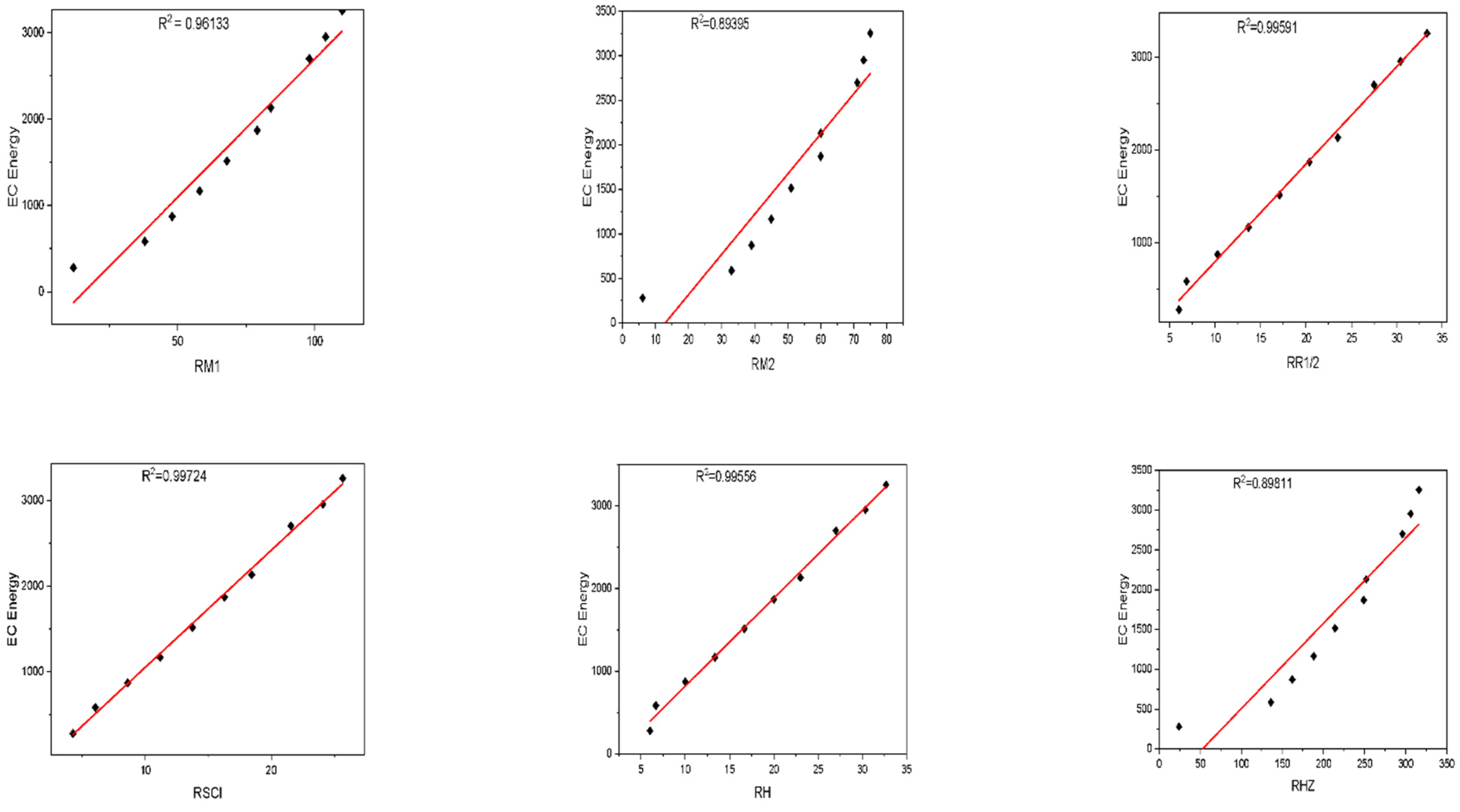
- The regression models (Table 4) derived from reverse topological descriptors in the present article were extremely accurate for predicting the exchange-correlation energies in the graphene sheets.
- The reverse sum−connectivity descriptor with was the best predictor among the 11 studied descriptors. Meanwhile, the reverse redefined first Zagreb descriptor performed poorly.
- The density functional theory (DFT) calculations of the electronic structure, such as the exchange-correlation energies of the graphene sheets, were precise; however, they were computationally expensive while the reverse topological descriptors models presented herein required minimal computations and provided high levels of accuracy.
- Analytical expressions of the reverse first and second Zagreb descriptor, reverse Randić descriptor, reverse sum−connectivity descriptor, reverse harmonic descriptor, reverse hyper Zagreb descriptor, reverse geometric−arithmetic descriptor, reverse inverse sum indeg descriptor, and reverse redefined first and third Zagreb descriptors have been obtained for graphene structures.
- Researchers who are trying to better understand the behaviour of graphene are likely to find the numerical values and graphical representations presented in this article helpful.
Author Contributions
Funding
Institutional Review Board Statement
Informed Consent Statement
Data Availability Statement
Acknowledgments
Conflicts of Interest
References
- Iijima, S. Helical microtubules of graphitic carbon. Nature 1991, 354, 56–58. [Google Scholar] [CrossRef]
- Kroto, H.W. JR HEATH, SC O’BRIEN, RF CURL, AND RE SMALLEy. Astrophys. J. 1987, 314, 352. [Google Scholar] [CrossRef]
- Novoselov, K.S.; Geim, A.K.; Morozov, S.V.; Jiang, D.; Zhang, Y.; Dubonos, S.V.; Grigorieva, I.V.; Firsov, A.A. Electric field effect in atomically thin carbon films. Science 2004, 306, 666–669. [Google Scholar] [CrossRef] [PubMed] [Green Version]
- Chung, D.D.L. Review graphite. J. Mater. Sci. 2002, 37, 1475–1489. [Google Scholar] [CrossRef]
- Robertson, J. Amorphous carbon. Adv. Phys. 1986, 35, 317–374. [Google Scholar] [CrossRef]
- Spitsyn, B.; Bouilov, L.; Derjaguin, B. Vapor growth of diamond on diamond and other surfaces. J. Cryst. Growth 1981, 52, 219–226. [Google Scholar] [CrossRef]
- Kalman, J.; Torrent, F.; Navas, J.M. Cytotoxicity of three graphene-related materials in rainbow trout primary hepatocytes is not associated to cellular internalization. Ecotoxicol. Environ. Saf. 2022, 231, 113227. [Google Scholar] [CrossRef]
- Kobyliukh, A.; Olszowska, K.; Godzierz, M.; Kordyka, A.; Kubacki, J.; Mamunya, Y.; Pusz, S.; Stoycheva, I.; Szeluga, U. Effect of graphene material structure and iron oxides deposition method on morphology and properties of graphene/iron oxide hybrids. Appl. Surf. Sci. 2021, 573, 151567. [Google Scholar] [CrossRef]
- Yildiz, G.; Bolton-Warberg, M.; Awaja, F. Graphene and graphene oxide for bio-sensing: General properties and the effects of graphene ripples. Acta Biomater. 2021, 131, 62–79. [Google Scholar] [CrossRef]
- Clapa, M.; Gaj, J. Behavior of graphene under glow discharge plasma. Sens. Actuators A Phys. 2021, 332, 113069. [Google Scholar] [CrossRef]
- Park, S.; Ji, S.G.; Yoon, Y.; Kim, S.K.; Song, W.; Myung, S.; Lim, J.; Jung, H.-K.; Lee, S.S.; An, K.-S. Fabrication of fanlike L-shaped graphene nanostructures with enhanced thermal/electrochemical properties via laser irradiation. Carbon 2021, 182, 691–699. [Google Scholar] [CrossRef]
- Alam Amin, M.S.; Stüber, F.; Giralt, J.; Fortuny, A.; Fabregat, A.; Font, J. Ceramic-supported graphene oxide membrane bioreactor for the anaerobic decolorization of azo dyes. J. Water Process Eng. 2021, 45, 102499. [Google Scholar] [CrossRef]
- Pinelli, F.; Nespoli, T.; Fiorati, A.; Farè, S.; Magagnin, L.; Rossi, F. Graphene nanoplatelets can improve the performances of graphene oxide—Polyaniline composite gas sensing aerogels. Carbon Trends 2021, 5, 100123. [Google Scholar] [CrossRef]
- Shimomura, K.; Imai, K.; Nakagawa, K.; Kawai, A.; Hashimoto, K.; Ideguchi, T.; Maki, H. Graphene photodetectors with asymmetric device structures on silicon chips. Carbon Trends 2021, 5, 100100. [Google Scholar] [CrossRef]
- Kamsong, W.; Primpray, V.; Pasakon, P.; Sriprachuabwong, C.; Pakapongpan, S.; Mensing, J.P.; Wisitsoraat, A.; Tuantranont, A.; Karuwan, C. Highly sensitive and disposable screen-printed ionic liquid/graphene based electrochemical sensors. Electrochem. Commun. 2022, 135, 107209. [Google Scholar] [CrossRef]
- Tarasova, B.P.; Arbuzova, A.A.; Volodina, A.A.; Fursikova, P.V.; Mozhzhuhina, S.A.; Lototskyyd, M.V.; Yartyse, V.A. Metal hydride–Graphene composites for hydrogen based energy storage. J. Alloys Compd. 2022, 896, 162881. [Google Scholar] [CrossRef]
- Ivanciuc, O.; Balaban, A.T. The graph description of chemical structures. In Topological Indices and Related Descriptors in QSAR and QSPAR; CRC Press: Boca Raton, FL, USA, 2000; pp. 69–178. [Google Scholar]
- Trinajstic, N. Chemical graphs. In Chemical Graph Theory; CRC Press: Boca Raton, USA, 2018; pp. 45–60. [Google Scholar]
- Todeschini, R.; Consonni, V. Handbook of Molecular Descriptors; John Wiley & Sons: Hoboken, NJ, USA, 2008. [Google Scholar]
- Mauri, A.; Consonni, V.; Todeschini, R. Molecular descriptors. In Handbook of Computational Chemistry; Springer International Publishing: Cham, Switzerland, 2017. [Google Scholar]
- Wiener, H. Correlation of heats of isomerization, and differences in heats of vaporization of isomers, among the paraffin hydrocarbons. J. Am. Chem. Soc. 1947, 69, 2636–2638. [Google Scholar] [CrossRef]
- Gutman, I.; Milovanović, E.; Milovanović, I. Beyond the Zagreb indices. AKCE Int. J. Graphs Comb. 2020, 17, 74–85. [Google Scholar] [CrossRef]
- Gupta, S.; Singh, M.; Madan, A.K. Connective eccentricity index: A novel topological descriptor for predicting biological activity. J. Mol. Graph. Model. 2000, 18, 18–25. [Google Scholar] [CrossRef]
- Redžepović, I.; Furtula, B. Predictive potential of eigenvalue-based topological molecular descriptors. J. Comput.-Aided Mol. Des. 2020, 34, 975–982. [Google Scholar] [CrossRef]
- Gutman, I.; Trinajstić, N. Graph theory and molecular orbitals. Total φ-electron energy of alternant hydrocarbons. Chem. Phys. Lett. 1972, 17, 535–538. [Google Scholar] [CrossRef]
- Randic, M. Characterization of molecular branching. J. Am. Chem. Soc. 1975, 97, 6609–6615. [Google Scholar] [CrossRef]
- Zhou, B.; Trinajstić, N. On general sum-connectivity index. J. Math. Chem. 2010, 47, 210–218. [Google Scholar] [CrossRef]
- Vukičević, D. Bond additive modeling 2. Mathematical properties of max-min rodeg index. Croat. Chem. Acta 2010, 83, 261–273. [Google Scholar]
- Wei, J.; Cancan, M.; Rehman, A.U.; Siddiqui, M.K.; Nasir, M.; Younas, M.T.; Hanif, M.F. On topological indices of remdesivir compound used in treatment of Corona virus (COVID 19). Polycycl. Aromat. Compd. 2021. [Google Scholar] [CrossRef]
- Kulli, V.R. On the sum connectivity reverse index of oxide and honeycomb networks. J. Comput. Math. Sci. 2017, 8, 408–413. [Google Scholar]
- Bakhshi, K.; Mojallal, S.A. Relation Between Topological Indices and Exchange-Correlation Energy for Graphene Nanosurface: A DFT Study. Fuller. Nanotub. Carbon Nanostructures 2013, 21, 617–623. [Google Scholar] [CrossRef]
- Sridhara, G.; Kanna, M.R.R.; Indumathi, R.S. Computation of Topological Indices of Graphene. J. Nanomater. 2015, 2015, 969348. [Google Scholar] [CrossRef] [Green Version]
- Shigehalli, V.S.; Kanabur, R. Computation of New Degree-Based Topological Indices of Graphene. J. Math. 2016, 2016, 4341919. [Google Scholar] [CrossRef]
- Jagadeesh, R.; Kanna, M.R.; Indumathi, R.S. Some results on topological indices of graphene. Nanomater. Nanotechnol 2016. [Google Scholar] [CrossRef] [Green Version]
- Berhe, M.; Wang, C. Computation of certain topological coindices of graphene sheet and () nanotubes and nanotorus. Appl. Math. Nonlinear Sci. 2019, 4, 455–468. [Google Scholar] [CrossRef] [Green Version]
- Mondal, S.; De, N.; Pal, A. Topological properties of Graphene using some novel neighborhood degree-based topological indices. Int. J. Math. Ind. 2019, 11, 1950006. [Google Scholar] [CrossRef] [Green Version]
- Parashivamurthy, H.L.; Kanna, M.R.R.; Jagadeesh, R. Some Topological Indices and Their Polynomials of Graphene. Orient. J. Chem. 2019, 35, 1514–1518. [Google Scholar] [CrossRef]
- Rada, J. Vertex-Degree Based Topological Indices of Graphene. Polycycl. Aromat. Compd. 2020. [Google Scholar] [CrossRef]
- Sudhakara, K.B.; Guruprasad, P.S.; Sriraj, M.A. Some edge degree based topological indices of Graphene. Proc. Jangjeon Math. Soc. 2020, 23, 253–270. [Google Scholar]
- Shanmukha, M.C.; Usha, A.; Basavarajappa, N.S.; Shilpa, K.C. Graph entropies of porous graphene using topological indices. Comput. Theor. Chem. 2021, 1197, 113142. [Google Scholar] [CrossRef]














| Corresponding Reverse Topological Descriptors | ||
|---|---|---|
| Reverse first Zagreb descriptor | ||
| Reverse second Zagreb descriptor | ||
| Reverse Randić descriptor | ||
| Reverse sum−connectivity descriptor | ||
| Reverse harmonic descriptor | ||
| Reverse hyper Zagreb descriptor | ||
| Reverse geometric−arithmetic descriptor | ||
| Reverse arithmetic−geometric descriptor | ||
| Reverse inverse sum indeg descriptor | ||
| Reverse redefined first Zagreb descriptor | ||
| Reverse redefined third Zagreb descriptor |
| Graphene Sheets | EC Energy | |
|---|---|---|
![]() | 278.3728274 | |
![]() | 582.3543 | |
![]() | 870.9878 | |
![]() | 1165.387066 | |
![]() | 1512.946726 | |
![]() | 1868.115158 | |
![]() | 2129.987845 | |
![]() | 2698.081041 | |
![]() | 2951.482056 | |
![]() | 3253.425639 |
| Regression Equation | r | SE | F |
|---|---|---|---|
| ) | 0.980475724 | 213.8003228 | 198.893 |
| ) | 0.945489731 | 354.0705116 | 67.437 |
| ) | 0.997953668 | 69.52114251 | 1948.719 |
| 0.998617364 | 57.15508183 | 2887.026 | |
| 0.997778424 | 72.43364998 | 1794.526 | |
| 0.947685472 | 347.0617000 | 70.514 | |
| 0.997280715 | 80.12777418 | 1464.977 | |
| 0.980655201 | 95.36092088 | 1031.971 | |
| 0.980655201 | 212.8250165 | 200.793 | |
| ) | 0.998037144 | 68.08980614 | 2031.849 |
| ) | 0.896497248 | 481.7127938 | 32.755 |
| 24 | 23 | 2.9142 | 2.9476 | 2.8333 | 94 | 5.8856 | 6.1213 | 5.8333 | 6 | 90 | |
| 58 | 45 | 13.657 | 11.154 | 13.333 | 188 | 18.542 | 19.485 | 13.833 | 28 | 154 | |
| 104 | 73 | 30.339 | 23.604 | 27.833 | 306 | 37.199 | 38.849 | 24.833 | 62 | 230 | |
| 162 | 107 | 53.142 | 40.295 | 52.333 | 448 | 61.856 | 64.213 | 38.833 | 108 | 318 | |
| 232 | 147 | 81.885 | 61.231 | 80.833 | 614 | 92.512 | 95.577 | 55.833 | 166 | 418 | |
| 314 | 193 | 116.63 | 86.408 | 115.33 | 804 | 129.17 | 132.94 | 75.833 | 236 | 530 | |
| 408 | 245 | 157.11 | 115.83 | 155.83 | 1018 | 171.83 | 176.30 | 98.833 | 318 | 654 | |
| 514 | 303 | 204.11 | 149.50 | 202.83 | 1256 | 220.48 | 225.67 | 124.83 | 412 | 790 | |
| 632 | 367 | 256.86 | 187.40 | 254.83 | 1518 | 275.14 | 281.03 | 153.83 | 518 | 938 | |
| 762 | 437 | 315.60 | 229.54 | 313.33 | 1804 | 335.80 | 342.40 | 185.83 | 636 | 1098 |
Publisher’s Note: MDPI stays neutral with regard to jurisdictional claims in published maps and institutional affiliations. |
© 2022 by the authors. Licensee MDPI, Basel, Switzerland. This article is an open access article distributed under the terms and conditions of the Creative Commons Attribution (CC BY) license (https://creativecommons.org/licenses/by/4.0/).
Share and Cite
Albadrani, M.; Ali, P.; El-Garaihy, W.H.; Abd El-Hafez, H. Prediction of Exchange-Correlation Energy of Graphene Sheets from Reverse Degree-Based Molecular Descriptors with Applications. Materials 2022, 15, 2889. https://doi.org/10.3390/ma15082889
Albadrani M, Ali P, El-Garaihy WH, Abd El-Hafez H. Prediction of Exchange-Correlation Energy of Graphene Sheets from Reverse Degree-Based Molecular Descriptors with Applications. Materials. 2022; 15(8):2889. https://doi.org/10.3390/ma15082889
Chicago/Turabian StyleAlbadrani, Mohammed, Parvez Ali, Waleed H. El-Garaihy, and Hassan Abd El-Hafez. 2022. "Prediction of Exchange-Correlation Energy of Graphene Sheets from Reverse Degree-Based Molecular Descriptors with Applications" Materials 15, no. 8: 2889. https://doi.org/10.3390/ma15082889
APA StyleAlbadrani, M., Ali, P., El-Garaihy, W. H., & Abd El-Hafez, H. (2022). Prediction of Exchange-Correlation Energy of Graphene Sheets from Reverse Degree-Based Molecular Descriptors with Applications. Materials, 15(8), 2889. https://doi.org/10.3390/ma15082889











