Preparation and Electromagnetic Absorption Properties of Fe73.2Si16.2B6.6Nb3Cu1 Nanocrystalline Powder
Abstract
:1. Introduction
2. Experimental Procedures
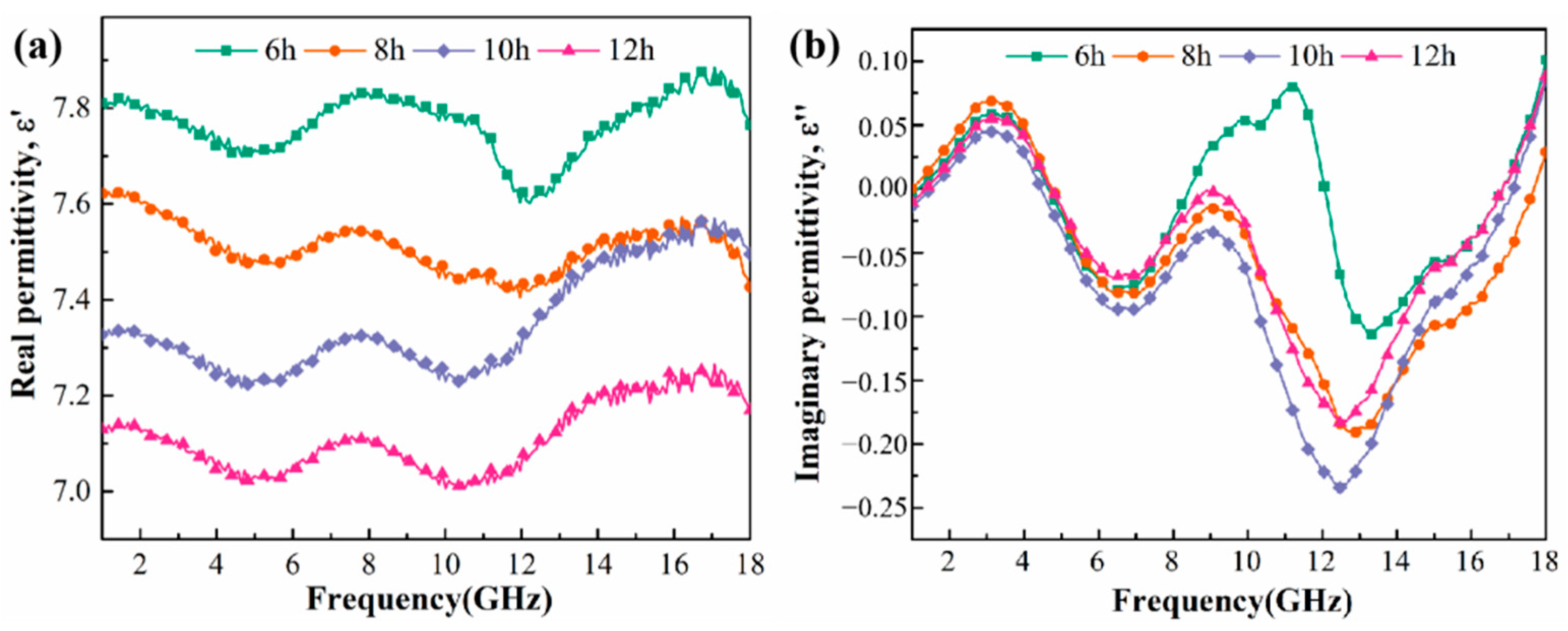
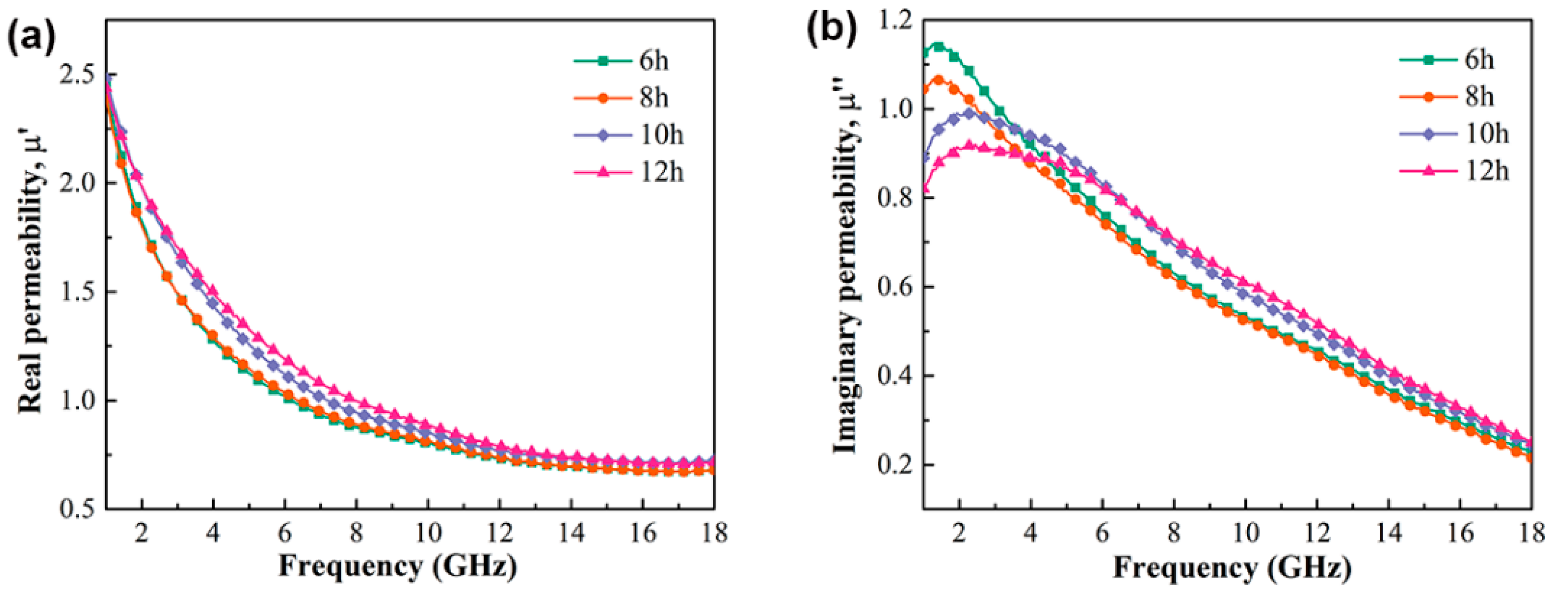
3. Results and Discussion
4. Conclusions
Author Contributions
Funding
Data Availability Statement
Acknowledgments
Conflicts of Interest
References
- Cao, M.; Wang, X.; Cao, W.; Fang, X.; Wen, B.; Yuan, J. Thermally driven transport and relaxation switching self-powered electromagnetic energy conversion. Small 2018, 14, 1800987. [Google Scholar] [CrossRef] [PubMed] [Green Version]
- Wang, X.X.; Cao, W.Q.; Cao, M.S.; Yuan, J. Assembling nano-microarchitecture for electromagnetic absorbers and smart devices. Adv. Mater. 2020, 2020, 2002112. [Google Scholar] [CrossRef] [PubMed]
- Cao, M.S.; Wang, X.X.; Zhang, M.; Shu, J.C.; Cao, W.Q.; Yang, H.J.; Fang, X.Y.; Yuan, J. Electromagnetic response and energy conversion for functions and devices in low-dimensional materials. Adv. Funct. Mater. 2019, 29, 1807398. [Google Scholar] [CrossRef]
- Zhang, Y.L.; Wang, X.X.; Cao, M.S. Confinedly implanted NiFe2O4-rGO: Cluster tailoring and highly tunable electromagnetic properties for selective-frequency microwave absorption. Nano Res. 2018, 11, 1426–1436. [Google Scholar] [CrossRef] [Green Version]
- Song, W.L.; Cao, M.S.; Hou, Z.L.; Fang, X.Y.; Shi, X.L.; Yuan, J. High dielectric loss and its monotonic dependence of conducting-dominated multiwalled carbon nanotubes/silica nanocomposite on temperature ranging from 373 to 873 K in X-band. Appl. Phys. Lett. 2009, 94, 233110. [Google Scholar] [CrossRef]
- Cheng, C.; Fan, R.; Wang, Z.; Shao, Q.; Guo, X.; Xie, P.; Yin, Y.; Zhang, Y.; An, L.; Lei, Y. Tunable and weakly negative permittivity in carbon/silicon nitride composites with different carbonizing temperatures. Carbon 2017, 2017, S0008622317309120. [Google Scholar] [CrossRef]
- Cao, M.S.; Song, W.L.; Hou, Z.L.; Wen, B.; Yuan, J. The effects of temperature and frequency on the dielectric properties, electromagnetic interference shielding and microwave-absorption of short carbon fiber/silica composites. Carbon 2010, 48, 788–796. [Google Scholar] [CrossRef]
- Gu, H.; Zhang, H.; Lin, J.; Shao, Q.; Young, D.P.; Sun, L.; Shen, T.D.; Guo, Z. Large negative giant magnetoresistance at room temperature and electrical transport in cobalt ferrite-polyaniline nanocomposites. Polymer 2018, 143, 324–330. [Google Scholar] [CrossRef]
- Singh, J.; Singh, C.; Kaur, D.; Narang, S.B.; Joshi, R.; Mishra, S.R.; Jotania, R.; Ghimire, M.; Chauhan, C.C. Tunable microwave absorption in Co-Al substituted M-type Ba-Sr hexagonal ferrite. Mater. Des. 2016, 110, 749–761. [Google Scholar] [CrossRef]
- Qin, X.; Cheng, Y.; Zhou, K.; Huang, S.; Hui, X. Microwave absorbing properties of W-type hexaferrite Ba(MnZn)xCo2(1−x)Fe16O27. J. Mater. Sci. Chem. Eng. 2013, 1, 8–13. [Google Scholar]
- Liu, J.L.; Zhang, P.; Zhang, X.K.; Xie, Q.Q.; Pan, D.J.; Zhang, J.; Zhang, M. Synthesis and microwave absorbing properties of La-doped Sr-hexaferrite nanopowders via sol-gel auto-combustion method. Rare Met. 2017, 36, 704–710. [Google Scholar] [CrossRef]
- Guo, C.; Yang, Z.; Shen, S.; Liang, J.; Xu, G. High microwave attenuation performance of planar carbonyl iron particles with orientation of shape anisotropy field. J. Magn. Magn. Mater. 2018, 454, 32–38. [Google Scholar] [CrossRef]
- Wang, F.; Long, C.; Wu, T.; Li, W.; Chen, Z.; Xia, F.; Wu, J.; Guan, J. Enhancement of low-frequency magnetic permeability and absorption by texturing flaky carbonyl iron particles. J. Alloys Compd. 2020, 823, 153827. [Google Scholar] [CrossRef]
- Zhou, Y.; Xie, H.; Zhou, W.; Ren, Z. Enhanced antioxidation and microwave absorbing properties of SiO2-coated flaky carbonyl iron particles. J. Magn. Magn. Mater. 2018, 446, 143–149. [Google Scholar] [CrossRef]
- Guo, X.; Yao, Z.; Lin, H.; Zhou, J.; Zuo, Y.; Xu, X.; Wei, B.; Chen, W.; Qian, K. Epoxy resin addition on the microstructure, thermal stability and microwave absorption properties of core-shell carbonyl iron@epoxy composites. J. Magn. Magn. Mater. 2019, 485, 244–250. [Google Scholar] [CrossRef]
- Duan, Y.; Liu, Y.; Cui, Y.; Ma, G.; Tongmin, W. Graphene to tune microwave absorption frequencies and enhance absorption properties of carbonyl iron/polyurethane coating. Prog. Org. Coat. 2018, 125, 89–98. [Google Scholar] [CrossRef]
- Yang, P.; Liu, Y.; Zhao, X.; Cheng, J.; Li, H. Electromagnetic wave absorption properties of FeCoNiCrAl0.8 high entropy alloy powders and its amorphous structure prepared by high-energy ball milling. J. Mater. Res. 2016, 31, 2398–2406. [Google Scholar] [CrossRef]
- Yuping, D.; Yahong, Z.; Tongmin, W.; Shuchao, G.; Xingjun, L. Evolution study of microstructure and electromagnetic behaviors of Fe-Co-Ni alloy with mechanical alloying. Mater. Sci. Eng. B 2014, 185, 86–93. [Google Scholar] [CrossRef]
- Chen, Y.; Wang, L.; Xiong, H.; Ur Rehman, S.; Tan, Q.; Huang, Q.; Zhong, Z. Optimized Absorption Performance of FeSiCr Nanoparticles by Changing the Shape Anisotropy. Phys. Status Solidi 2020, 217, 2000389. [Google Scholar] [CrossRef]
- Duan, Y.; Gu, S.; Zhang, Z.; Wen, M. Characterization of structures and novel magnetic response of Fe87.5Si7Al5.5 alloy processed by ball milling. J. Alloys Compd. 2012, 542, 90–96. [Google Scholar] [CrossRef]
- Zhou, T.D.; Tang, J.K.; Wang, Z.Y. Influence of Cr content on structure and magnetic properties of Fe-Si-Al-Cr powders. J. Magn. Magn. Mater. 2010, 322, 2589–2592. [Google Scholar] [CrossRef]
- Duan, Y.; Song, L.; Cui, Y.; Pang, H.; Zhang, X.; Wang, T. FeCoNiCuAl high entropy alloys microwave absorbing materials: Exploring the effects of different Cu contents and annealing temperatures on electromagnetic properties. J. Alloys Compd. 2020, 848, 156491. [Google Scholar] [CrossRef]
- Duan, Y.; Wen, X.; Zhang, B.; Ma, G.; Wang, T. Optimizing the electromagnetic properties of the FeCoNiAlCrx high entropy alloy powders by composition adjustment and annealing treatment. J. Magn. Magn. Mater. 2020, 497, 65947. [Google Scholar] [CrossRef]
- Lan, D.; Zhao, Z.; Gao, Z.; Kou, K.; Wu, G.; Wu, H. Porous high entropy alloys for electromagnetic wave absorption. J. Magn. Magn. Mater. 2020, 512, 167065. [Google Scholar] [CrossRef]
- Yingzhe, Z.; Yudao, C.; Qingdong, Q.; Wei, L. Synthesis of FeCoNiCuZn single-phase high-entropy alloy by high-frequency electromagnetic-field assisted ball milling. J. Magn. Magn. Mater. 2020, 498, 166151. [Google Scholar] [CrossRef]
- Herzer, G. Modern soft magnets: Amorphous and nanocrystalline materials. Acta Mater. 2013, 61, 718–734. [Google Scholar] [CrossRef]
- Makino, A. Nanocrystalline soft magnetic Fe-Si-B-P-Cu alloys with high BS of 1.8–1.9T contributable to energy saving. IEEE Trans. Magn. 2012, 48, 1331–1335. [Google Scholar] [CrossRef]
- Luborsky, F.; Becker, J.; Walter, J.I.; Liebermann, H. Formation and Magnetic Properties of Fe-B-Si Amorphous Alloys. IEEE Trans. Magn. 1979, 15, 1146–1149. [Google Scholar] [CrossRef]
- Yoshizawa, Y.; Oguma, S.; Yamauchi, K. New Fe-based soft magnetic alloys composed of ultrafine grain structure. J. Appl. Phys. 1988, 64, 6044–6046. [Google Scholar] [CrossRef]
- Snoek, J. Dispersion and absorption in magnetic ferrites at frequencies above one Mc/s. Physica 1948, 14, 2. [Google Scholar] [CrossRef]











| Milling Time (h) | Peak Center (°) | Width of Half Height (°) | Grain Size (nm) |
|---|---|---|---|
| 0 | 45.12 | 0.58 | 14.72 |
| 6 | 45.00 | 0.62 | 13.76 |
| 8 | 45.12 | 0.63 | 13.46 |
| 10 | 45.08 | 0.64 | 13.37 |
| 12 | 45.31 | 0.67 | 12.74 |
Publisher’s Note: MDPI stays neutral with regard to jurisdictional claims in published maps and institutional affiliations. |
© 2022 by the authors. Licensee MDPI, Basel, Switzerland. This article is an open access article distributed under the terms and conditions of the Creative Commons Attribution (CC BY) license (https://creativecommons.org/licenses/by/4.0/).
Share and Cite
Zhou, B.; Lv, M.; Wu, J.; Ya, B.; Meng, L.; Jianglin, L.; Zhang, X. Preparation and Electromagnetic Absorption Properties of Fe73.2Si16.2B6.6Nb3Cu1 Nanocrystalline Powder. Materials 2022, 15, 2558. https://doi.org/10.3390/ma15072558
Zhou B, Lv M, Wu J, Ya B, Meng L, Jianglin L, Zhang X. Preparation and Electromagnetic Absorption Properties of Fe73.2Si16.2B6.6Nb3Cu1 Nanocrystalline Powder. Materials. 2022; 15(7):2558. https://doi.org/10.3390/ma15072558
Chicago/Turabian StyleZhou, Bingwen, Mengnan Lv, Jiali Wu, Bin Ya, Linggang Meng, Lanqing Jianglin, and Xingguo Zhang. 2022. "Preparation and Electromagnetic Absorption Properties of Fe73.2Si16.2B6.6Nb3Cu1 Nanocrystalline Powder" Materials 15, no. 7: 2558. https://doi.org/10.3390/ma15072558
APA StyleZhou, B., Lv, M., Wu, J., Ya, B., Meng, L., Jianglin, L., & Zhang, X. (2022). Preparation and Electromagnetic Absorption Properties of Fe73.2Si16.2B6.6Nb3Cu1 Nanocrystalline Powder. Materials, 15(7), 2558. https://doi.org/10.3390/ma15072558

