Magnetic Instabilities in the Quasi-One-Dimensional K2Cr3As3 Material with Twisted Triangular Tubes
Abstract
:1. Introduction
2. Materials and Methods
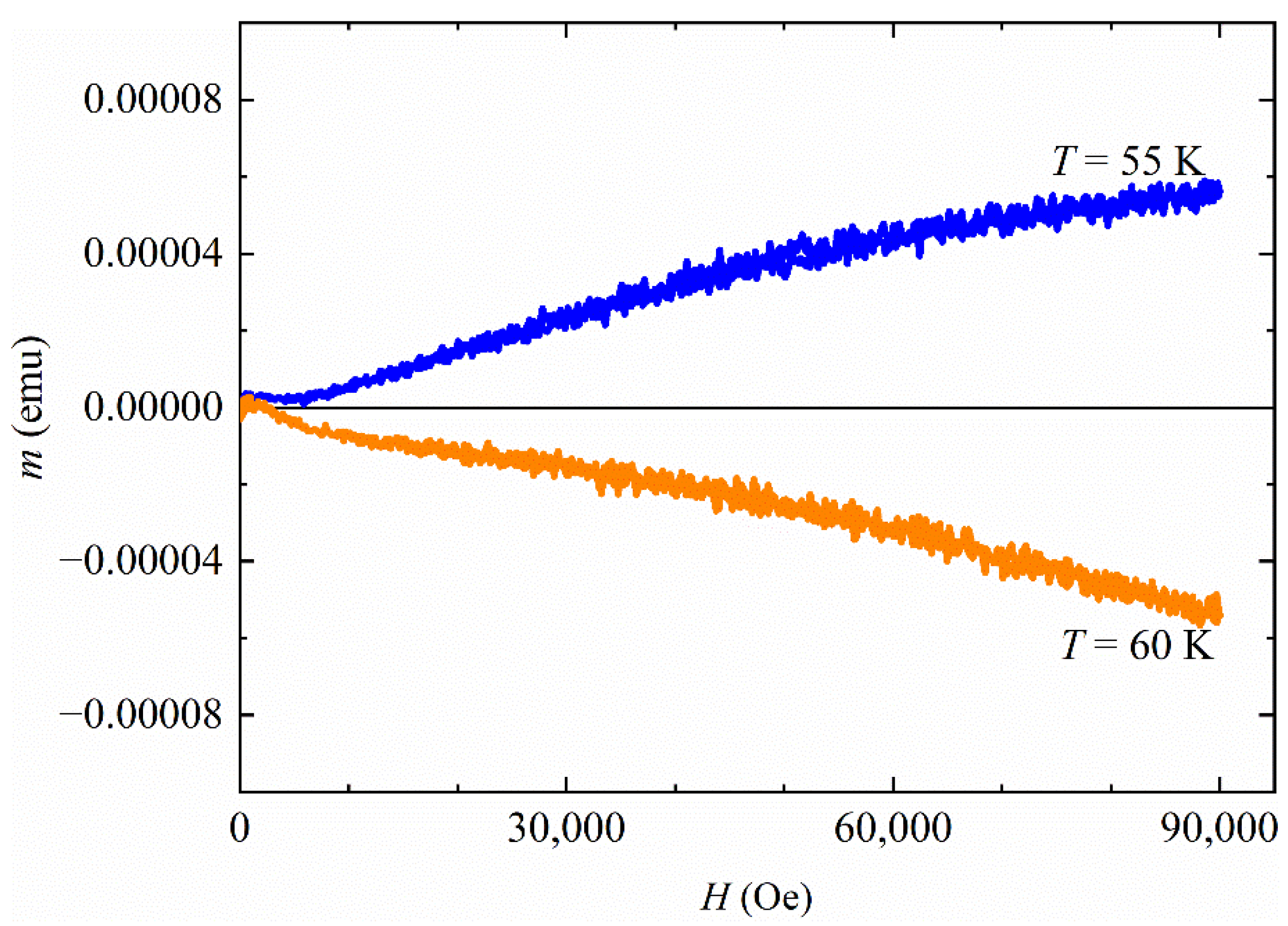
3. Results and Discussion
4. Conclusions
Supplementary Materials
Author Contributions
Funding
Institutional Review Board Statement
Informed Consent Statement
Data Availability Statement
Conflicts of Interest
References
- Bao, J.K.; Liu, J.Y.; Ma, C.W.; Meng, Z.H.; Tang, Z.T.; Sun, Y.L.; Zhai, H.F.; Jiang, H.; Bai, H.; Feng, C.M.; et al. Superconductivity in quasi-one-dimensional K2Cr3As3 with significant electron correlations. Phys. Rev. X 2015, 5, 011013. [Google Scholar] [CrossRef] [Green Version]
- Mu, Q.G.; Ruan, B.; Pan, B.J.; Liu, T.; Yu, J.; Zhao, K.; Chen, G.F.; Ren, Z.A. Ion-exchange synthesis and superconductivity at 8.6 K of Na2Cr3As3 with quasi-one-dimensional crystal structure. Phys. Rev. Mater. 2018, 2, 034803. [Google Scholar] [CrossRef] [Green Version]
- Tang, Z.T.; Bao, J.K.; Liu, Y.; Sun, Y.L.; Ablimit, A.; Zhai, H.F.; Jiang, H.; Feng, C.M.; Xu, Z.A.; Cao, G.H. Unconventional superconductivity in quasi-one-dimensional Rb2Cr3As3. Phys. Rev. B Condens. Matter Mater. Phys. 2015, 91, 020506. [Google Scholar] [CrossRef] [Green Version]
- Tang, Z.-T.; Bao, J.-K.; Wang, Z.; Bai, H.; Jiang, H.; Liu, Y.; Zhai, H.-F.; Feng, C.-M.; Xu, Z.-A.; Cao, G.-H. Superconductivity in quasi-one-dimensional Cs2Cr3As3 with large interchain distance. Sci. China Mater. 2015, 58, 16–20. [Google Scholar] [CrossRef] [Green Version]
- Bao, J.K.; Li, L.; Tang, Z.T.; Liu, Y.; Li, Y.K.; Bai, H.; Feng, C.M.; Xu, Z.A.; Cao, G.H. Cluster spin-glass ground state in quasi-one-dimensional KCr3As3. Phys. Rev. B Condens. Matter Mater. Phys. 2015, 91, 180404. [Google Scholar] [CrossRef] [Green Version]
- Mu, Q.G.; Ruan, B.; Pan, B.J.; Liu, T.; Yu, J.; Zhao, K.; Chen, G.F.; Ren, Z.A. Superconductivity at 5 K in quasi-one-dimensional Cr-based KCr3As3 single crystals. Phys. Rev. B 2017, 96, 140504. [Google Scholar] [CrossRef] [Green Version]
- Mu, Q.G.; Ruan, B.; Zhao, K.; Pan, B.J.; Liu, T.; Shan, L.; Chen, G.F.; Ren, Z.A. Superconductivity at 10.4 K in a novel quasi-one-dimensional ternary molybdenum pnictide K2Mo3As3. Sci. Bull. 2018, 63, 952–956. [Google Scholar] [CrossRef] [Green Version]
- Zhao, K.; Mu, Q.-G.; Liu, T.; Pan, B.-J.; Ruan, B.-B.; Shan, L.; Chen, G.-F.; Ren, Z.-A. Superconductivity in novel quasi-one-dimensional ternary molybdenum pnictides Rb2Mo3As3 and Cs2Mo3As3. arXiv 2018, arXiv:1805.11577. [Google Scholar]
- Lei, B.H.; Singh, D.J. Multigap electron-phonon superconductivity in the quasi-one-dimensional pnictide K2Mo3As3. Phys. Rev. B 2021, 103, 094512. [Google Scholar] [CrossRef]
- Huang, C.; Guo, J.; Zhao, K.; Cui, F.; Qin, S.; Mu, Q.; Zhou, Y.; Cai, S.; Yang, C.; Long, S.; et al. Reemergence of superconductivity in pressurized quasi-one-dimensional superconductor K2Mo3As3. Phys. Rev. Mater. 2021, 5, L021801. [Google Scholar] [CrossRef]
- Wu, W.; Cheng, J.; Matsubayashi, K.; Kong, P.; Lin, F.; Jin, C.; Wang, N.; Uwatoko, Y.; Luo, J. Superconductivity in the vicinity of antiferromagnetic order in CrAs. Nat. Commun. 2014, 5, 5508. [Google Scholar] [CrossRef] [PubMed]
- Chen, R.Y.; Wang, N.L. Progress in Cr- and Mn-based superconductors: A key issues review. Reports Prog. Phys. 2019, 82, 012503. [Google Scholar] [CrossRef] [PubMed]
- Noce, C. The chromium pnictide materials: A tunable platform for exploring new exciting phenomena. EPL 2020, 130, 67001. [Google Scholar] [CrossRef]
- Autieri, C.; Cuono, G.; Forte, F.; Noce, C. Tight-binding calculation of the magnetic moment of CrAs under pressure. J. Phys. Conf. Ser. 2018, 969, 012106. [Google Scholar] [CrossRef]
- Cuono, G.; Forte, F.; Cuoco, M.; Islam, R.; Luo, J.; Noce, C.; Autieri, C. Multiple band crossings and Fermi surface topology: Role of double nonsymmorphic symmetries in MnP-type crystal structures. Phys. Rev. Mater. 2019, 3, 095004. [Google Scholar] [CrossRef] [Green Version]
- Cuono, G.; Autieri, C.; Guarnaccia, G.; Avella, A.; Cuoco, M.; Forte, F.; Noce, C. Spin–orbit coupling effects on the electronic properties of the pressure-induced superconductor CrAs. Eur. Phys. J. Spec. Top. 2019, 228, 631–641. [Google Scholar] [CrossRef]
- Jiang, H.; Cao, G.; Cao, C. Electronic structure of quasi-one-dimensional superconductor K2Cr3As3 from first-principles calculations. Sci. Rep. 2015, 5, 16054. [Google Scholar] [CrossRef] [PubMed] [Green Version]
- Cuono, G.; Autieri, C.; Forte, F.; Mercaldo, M.T.; Romano, A.; Avella, A.; Noce, C. A minimal tight-binding model for the quasi-one-dimensional superconductor K2Cr3As3. New J. Phys. 2019, 21, 063027. [Google Scholar] [CrossRef]
- Wu, X.X.; Le, C.C.; Yuan, J.; Fan, H.; Hu, J.P. Magnetism in Quasi-One-Dimensional A2Cr3As3 (A=K,Rb) Superconductors. Chin. Phys. Lett. 2015, 32, 057401. [Google Scholar] [CrossRef] [Green Version]
- Luo, J.; Yang, J.; Zhou, R.; Mu, Q.G.; Liu, T.; Ren, Z.A.; Yi, C.J.; Shi, Y.G.; Zheng, G.Q. Tuning the Distance to a Possible Ferromagnetic Quantum Critical Point in A2Cr3As3. Phys. Rev. Lett. 2019, 123, 047001. [Google Scholar] [CrossRef] [Green Version]
- Taddei, K.M.; Xing, G.; Sun, J.; Fu, Y.; Li, Y.; Zheng, Q.; Sefat, A.S.; Singh, D.J.; De La Cruz, C. Frustrated Structural Instability in Superconducting Quasi-One-Dimensional K2Cr3As3. Phys. Rev. Lett. 2018, 121, 187002. [Google Scholar] [CrossRef] [PubMed] [Green Version]
- Cuono, G.; Forte, F.; Romano, A.; Ming, X.; Luo, J.; Autieri, C.; Noce, C. Intrachain collinear magnetism and interchain magnetic phases in Cr3As3−K-based materials. Phys. Rev. B 2021, 103, 214406. [Google Scholar] [CrossRef]
- Cuono, G.; Forte, F.; Romano, A.; Ming, X.; Luo, J.; Autieri, C.; Noce, C. Tuning interchain ferromagnetic instability in A2Cr3As3 ternary arsenides by chemical pressure and uniaxial strain. Phys. Rev. Mater. 2021, 5, 064402. [Google Scholar] [CrossRef]
- Sun, J.P.; Jiao, Y.Y.; Yang, C.L.; Wu, W.; Yi, C.J.; Wang, B.S.; Shi, Y.G.; Luo, J.L.; Uwatoko, Y.; Cheng, J.G. Effect of hydrostatic pressure on the superconducting properties of quasi-1D superconductor K2Cr3As3. J. Phys. Condens. Matter 2017, 29, 455603. [Google Scholar] [CrossRef] [PubMed]
- Zhang, L.; Li, J.; Mu, Q.; Liu, T.; Yang, D.; Zhu, C.; Ren, Z.A.; Tian, H.; Li, Z.A.; Li, J.; et al. Microstructure of quasi-one-dimensional superconductor KCr3As3 prepared by K-ion deintercalation. J. Phys. Condens. Matter 2021, 33, 5. [Google Scholar] [CrossRef]
- Polichetti, M.; Galluzzi, A.; Buchkov, K.; Tomov, V.; Nazarova, E.; Leo, A.; Grimaldi, G.; Pace, S. A precursor mechanism triggering the second magnetization peak phenomenon in superconducting materials. Sci. Rep. 2021, 11, 7247. [Google Scholar] [CrossRef]
- Galluzzi, A.; Buchkov, K.M.; Nazarova, E.; Tomov, V.; Grimaldi, G.; Leo, A.; Pace, S.; Polichetti, M. Pinning energy and anisotropy properties of a Fe(Se,Te) iron based superconductor. Nanotechnology 2019, 30, 254001. [Google Scholar] [CrossRef] [PubMed]
- Orgiani, P.; Petrov, A.Y.; Adamo, C.; Aruta, C.; Barone, C.; De Luca, G.M.; Galdi, A.; Polichetti, M.; Zola, D.; Maritato, L. In-plane anisotropy in the magnetic and transport properties of manganite ultrathin films. Phys. Rev. B Condens. Matter Mater. Phys. 2006, 74, 134419. [Google Scholar] [CrossRef]
- Galluzzi, A.; Nigro, A.; Fittipaldi, R.; Guarino, A.; Pace, S.; Polichetti, M. DC magnetic characterization and pinning analysis on Nd1.85Ce0.15CuO4 cuprate superconductor. J. Magn. Magn. Mater. 2019, 475, 125–129. [Google Scholar] [CrossRef]
- Galluzzi, A.; Buchkov, K.; Nazarova, E.; Tomov, V.; Grimaldi, G.; Leo, A.; Pace, S.; Polichetti, M. Transport properties and high upper critical field of a Fe(Se,Te) iron based superconductor. Eur. Phys. J. Spec. Top. 2019, 228, 725–731. [Google Scholar] [CrossRef]
- Iannone, G.; Zola, D.; Armenio, A.A.; Polichetti, M.; Attanasio, C. Electrical resistivity and magnetic behavior of PdNi and CuNi thin films. Phys. Rev. B Condens. Matter Mater. Phys. 2007, 75, 064409. [Google Scholar] [CrossRef]
- Gerhardt, C.; Mütter, K.; Kröger, H. Metamagnetism in the XXZ model with next-to-nearest-neighbor coupling. Phys. Rev. B Condens. Matter Mater. Phys. 1998, 57, 11504–11509. [Google Scholar] [CrossRef] [Green Version]
- Schulenburg, J.; Honecker, A.; Schnack, J.; Richter, J.; Schmidt, H.J. Macroscopic magnetization jumps due to independent magnons in frustrated quantum spin lattices. Phys. Rev. Lett. 2002, 88, 1672071–1672074. [Google Scholar] [CrossRef] [PubMed] [Green Version]
- Do Nascimento, A.M.; Montenegro-Filho, R.R. Magnetic phase separation in a frustrated ferrimagnetic chain under a magnetic field. Phys. Rev. B 2019, 99, 064404. [Google Scholar] [CrossRef] [Green Version]
- Nakano, H.; Sakai, T. Instability of a ferrimagnetic state of a frustrated S = 1/2 Heisenberg antiferromagnet in two dimensions. Jpn. J. Appl. Phys. 2015, 54, 030305. [Google Scholar] [CrossRef] [Green Version]





Publisher’s Note: MDPI stays neutral with regard to jurisdictional claims in published maps and institutional affiliations. |
© 2022 by the authors. Licensee MDPI, Basel, Switzerland. This article is an open access article distributed under the terms and conditions of the Creative Commons Attribution (CC BY) license (https://creativecommons.org/licenses/by/4.0/).
Share and Cite
Galluzzi, A.; Cuono, G.; Romano, A.; Luo, J.; Autieri, C.; Noce, C.; Polichetti, M. Magnetic Instabilities in the Quasi-One-Dimensional K2Cr3As3 Material with Twisted Triangular Tubes. Materials 2022, 15, 2292. https://doi.org/10.3390/ma15062292
Galluzzi A, Cuono G, Romano A, Luo J, Autieri C, Noce C, Polichetti M. Magnetic Instabilities in the Quasi-One-Dimensional K2Cr3As3 Material with Twisted Triangular Tubes. Materials. 2022; 15(6):2292. https://doi.org/10.3390/ma15062292
Chicago/Turabian StyleGalluzzi, Armando, Giuseppe Cuono, Alfonso Romano, Jianlin Luo, Carmine Autieri, Canio Noce, and Massimiliano Polichetti. 2022. "Magnetic Instabilities in the Quasi-One-Dimensional K2Cr3As3 Material with Twisted Triangular Tubes" Materials 15, no. 6: 2292. https://doi.org/10.3390/ma15062292
APA StyleGalluzzi, A., Cuono, G., Romano, A., Luo, J., Autieri, C., Noce, C., & Polichetti, M. (2022). Magnetic Instabilities in the Quasi-One-Dimensional K2Cr3As3 Material with Twisted Triangular Tubes. Materials, 15(6), 2292. https://doi.org/10.3390/ma15062292

