Residual Compressive Behavior of Self-Compacting Concrete after High Temperature Exposure—Influence of Binder Materials
Abstract
1. Introduction
2. Materials and Methods
2.1. Constituent Materials
- Binder materials:
- –
- –
- Natural, crushed dolomite aggregate (0/4, 4/8 and 8/16 mm) with a particle size distribution is shown in Figure 1b.
- A superplasticizer based on modified polycarboxylic ether polymers, with a relative density of 1100 kg/m3, and a viscosity modifying agent (VMA) based on high-molecular weight synthetic copolymer with a relative density of 1009 kg/m3, were added during concrete production to set the workability of the tested mixes.
- Tap water was obtained from the general municipal drinking-water supply, which contained a negligible amount of chloride substances.
2.2. Concrete Mix Design and Specimen Dimensions
2.3. Heat Treatment
- 5.
- First stage: heating at a rate ΔT/Δt of 2 °C/min (in the furnace) up to the target temperature;
- 6.
- Second stage: keeping the target temperature constant until steady-state thermal conditions throughout the specimens were ensured, Δt;
- 7.
- Third stage: slow natural cooling to ambient temperature in a closed furnace to avoid thermal shock.
2.4. Microstructural Analysis
2.5. Compressive Stress–Strain Behaviour
3. Results
3.1. Spalling Occurrence during Heating
3.2. Microstructural Analysis
3.3. Compressive Stress–Strain Relationship
3.4. Peak Stress—Compressive Strength
3.5. Modulus of Elasticity
3.6. Peak Strain
4. Modelling of Stress–Strain Behaviour
5. Conclusions
- 8.
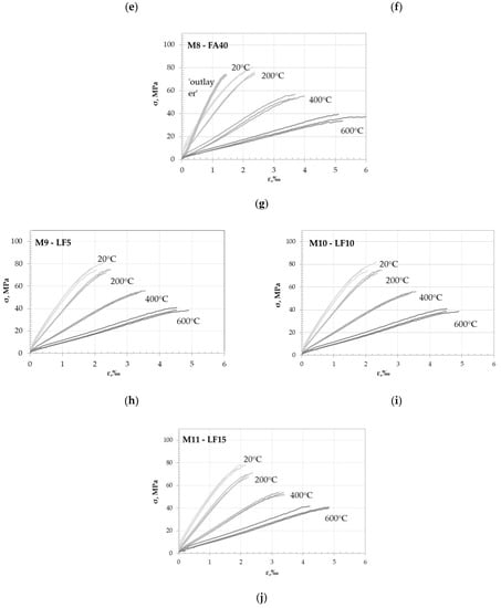
- By comparing the stress–strain curves within the mixes containing the same mineral additive, it can be observed that the different amounts of FA (20–40%) and limestone (5–15%) in the studied concrete mixes lead to a similar behaviour, while the mixes with different MK content (5–15%) show larger variations after all target temperatures.
- 9.
- The different mineral additives used in this study (MK, FA and LF) affected the development of different microstructures of the concrete, especially ITZ, which, in turn, affected the variations in the residual compressive strength by 24% and the peak strain by 38%, while the variation in the residual elastic modulus was 14%.
- 10.
- Contrary to the findings in the literature, which show that concrete retains most of its strength up to 400 °C, in this study, a significant loss of mechanical properties (compressive strength and elastic modulus) and an increase in peak strain were observed up to a temperature of 400 °C.
- 11.
- However, comparing the obtained results with the recommendations for compressive strength given in EC 2 for HSC, it can be concluded that the strength loss of EC 2 in the case of SCC with used mineral additives is too conservative in the lower temperature range (400 °C), especially for mixes containing fly ash.
- 12.
- The Popovic model for the relationship between stress and strain, developed essentially for conventional concrete, provided a good approximation relative to the experimentally determined stress–strain curves at different temperatures.
Author Contributions
Funding
Institutional Review Board Statement
Informed Consent Statement
Data Availability Statement
Acknowledgments
Conflicts of Interest
Appendix A. Monitored Temperatures in Concrete Specimens

Appendix B. Dolomite Decomposition after Temperature of 800 °C

Appendix C. Stress–Strain Curves of Tested Mixes


References
- Schneider, U. Concrete at high temperature. Fire Saf. J. 1988, 13, 55–68. [Google Scholar] [CrossRef]
- Kodur, V. Properties of Concrete at Elevated Temperatures. Int. Sch. Res. Not. 2014, 68510. [Google Scholar] [CrossRef]
- Babalola, O.E.; Awoyera, P.O.; Le, D.-H.; Bendezú Romero, L.M. A review of residual strength properties of normal and high strength concrete exposed to elevated temperatures: Impact of materials modification on behaviour of concrete composite. Constr. Build. Mater. 2021, 296, 123448. [Google Scholar] [CrossRef]
- Anupama Krishna, D.; Priyadarsini, R.S.; Narayanan, S. High temperature effects on different grades of concrete. Sadhana 2021, 46, 31. [Google Scholar] [CrossRef]
- EN 1992-1-2+AC; Eurocode 2: Design of Concrete Structures—Part 1–2: General Rules—Structural Fire Design. European Committee for Standardization (CEN): Brussels, Belgium, 2008.
- EN 1994-1-2+A1; Eurocode 4: Design of Composite Steel and Concrete Structures—Part 1–2: General Rules—Structural Fire Design. European Committee for Standardization (CEN): Brussels, Belgium, 2014.
- Dadsetan, S.; Bai, J. Mechanical and microstructural properties of self-compacting concrete blended with metakaolin, ground granulated blast-furnace slag and fly ash. Constr. Build. Mater. 2017, 146, 658–667. [Google Scholar] [CrossRef]
- Pang, L.; Liu, Z.; Wang, D.; An, M. Review on the Application of Supplementary Cementitious Materials in Self-Compacting Concrete. Crystals 2022, 12, 180. [Google Scholar] [CrossRef]
- Diniz, H.A.A.; dos Anjos, M.A.S.; Rocha, A.K.A.; Ferreira, R.L.S. Effects of the use of agricultural ashes, metakaolin and hydrated-lime on the behavior of self-compacting concretes. Constr. Build. Mater. 2022, 319, 126087. [Google Scholar] [CrossRef]
- Abed, M.; Nemes, R.; Lublóy, É. Performance of Self-Compacting High-Performance Concrete Produced with Waste Materials after Exposure to Elevated Temperature. J. Mater. Civ. Eng. 2020, 32, 05019004. [Google Scholar] [CrossRef]
- Hager, I.; Mróz, K. Role of Polypropylene Fibres in Concrete Spalling Risk Mitigation in Fire and Test Methods of Fibres Effectiveness Evaluation. Materials 2019, 12, 3869. [Google Scholar] [CrossRef]
- RILEM Technical Committee. Final report of RILEM TC 205-DSC: Durability of self-compacting concrete. Mater. Struct. 2007, 41, 225–233. [Google Scholar] [CrossRef]
- Khazani, M.H.; Chai Lian, O.; Wee, L.S.; Md Zain, M.R.; Yahya, N.A. The Effect of Elevated Temperature on Engineered Cementitious Composite Microstructural Behavior: An Overview. Pertanika J. Sci. Technol. 2022, 30, 433–449. [Google Scholar] [CrossRef]
- Abed, M.; Nemes, R.; Nehme, S. Residual Modulus of Elasticity of Self-Compacting Concrete Incorporated Unprocessed Waste Fly Ash after Expose to the Elevated Temperature. Int. J. Civ. Environ. Eng. 2019, 13, 559–564. [Google Scholar] [CrossRef]
- Al-Lami, M.S. Effect of elevated temperature on compressive strength of self compacting concrete using viscocrete and silica fume. Int. J. Civ. Eng. Technol. 2017, 8, 405–413. [Google Scholar]
- Uysal, M.; Yilmaz, K.; Ipek, M. Properties and behavior of self-compacting concrete produced with GBFS and FA additives subjected to high temperatures. Constr. Build. Mater. 2012, 28, 321–326. [Google Scholar] [CrossRef]
- Abed, M.; de Brito, J. Evaluation of high-performance self-compacting concrete using alternative materials and exposed to elevated temperatures by non-destructive testing. J. Build. Eng. 2020, 32, 101720. [Google Scholar] [CrossRef]
- Anagnostopoulos, N.; Sideris, K.K.; Georgiadis, A. Mechanical characteristics of self-compacting concretes with different filler materials, exposed to elevated temperatures. Mater. Struct. 2008, 42, 1393–1405. [Google Scholar] [CrossRef]
- Xu, Y.; Wong, Y.; Poon, C.; Anson, M. Impact of high temperature on PFA concrete. Cem. Concr. Res. 2001, 31, 1065–1073. [Google Scholar] [CrossRef]
- Anand, N.; Prince Arulraj, G.; Aravindhan, C. Stress-strain behaviour of normal compacting and self compacting concrete under elevated temperatures. J. Struct. Fire Eng. 2014, 5, 63–75. [Google Scholar] [CrossRef]
- Uysal, M.; Tanyildizi, H. Estimation of compressive strength of self compacting concrete containing polypropylene fiber and mineral additives exposed to high temperature using artificial neural networ. Constr. Build. Mater. 2012, 27, 404–414. [Google Scholar] [CrossRef]
- Anand, N.; Godwin, I.A.; Prince Arulraj, P. Influence of mineral admixtures on mechanical properties of self-compacting concrete under elevated temperature. Fire Mater. 2016, 40, 940–958. [Google Scholar] [CrossRef]
- Abdelmelek, N.; Alimrani, N.S.; Krelias, N.; Lubloy, E. Effect of Elevated Temperatures on Microstructure of High Strength Concrete Based-Metakaolin. J. King Saud Univ. Eng. Sci. 2021; in press. [Google Scholar] [CrossRef]
- Okamura, H.; Ouchi, M. Self-compacting concrete. J. Adv. Concr. Technol. 2003, 1, 5–15. [Google Scholar] [CrossRef]
- EN 197-1; Cement—Part 1: Composition, Specifications and Conformity Criteria for Common Cements. European Committee for Standardization (CEN): Brussels, Belgium, 2011.
- EN 196-1; Methods of Testing Cement—Part 1: Determination of Strength. European Committee for Standardization (CEN): Brussels, Belgium, 2016.
- EFNARC. The European Guidelines for Self-Compacting Concrete; Specification, Production and Use; European Federation of Producers and Applicators of Specialist Products for Structures: Surrey, UK, 2005. [Google Scholar]
- EN 206-9; Concrete—Part 9: Additional Rules for Self-Compacting Concrete (SCC). European Committee for Standardization (CEN): Brussels, Belgium, 2010.
- Jelčić Rukavina, M.; Gabrijel, I.; Bjegović, D. Modifications of dolomite-based self-compacting concrete properties using mineral additives. Teh. Vjesn. Tech. Gaz. 2015, 22, 233–240. [Google Scholar] [CrossRef]
- Recommendation of RILEM TC 200-HTC: Mechanical concrete properties at high temperatures—modelling and application, Part 1: Introduction—General presentation. Mater. Struct. 2007, 40, 841–853. [CrossRef]
- Recommendation of RILEM TC 200-HTC: Mechanical concrete properties at high temperatures—modelling and applications, Part 2: Stress—Strain relation. Mater. Struct. 2007, 40, 855–864. [CrossRef]
- Hertz, K.D. Concrete strength for fire safety design. Mag. Concr. Res. 2005, 57, 445–453. [Google Scholar] [CrossRef]
- Liu, J.C.; Tan, K.H.; Yao, Y. A new perspective on nature of fire-induced spalling in concrete. Constr. Build. Mater. 2018, 184, 581–590. [Google Scholar] [CrossRef]
- Fernandes, B.; Gil, A.M.; Bolina, F.L.; Tutikian, B.F. Microstructure of concrete subjected to elevated temperatures: Physico-chemical changes and analysis techniques. Rev. IBRACON Estrut. Mater. 2017, 10, 838–863. [Google Scholar] [CrossRef]
- Wild, S.; Khatib, J.M.; Jones, A. Relative strength, pozzolanic activity and cement hydration in superplasticised metakaolin concrete. Cem. Concr. Res. 1996, 26, 1537–1544. [Google Scholar] [CrossRef]
- Poon, C.; Azhar, S.; Anson, M.; Wong, Y. Performance of metakaolin concrete at elevated temperatures. Cem. Concr. Compos. 2003, 25, 83–89. [Google Scholar] [CrossRef]
- Persson, B. Fire resistance of self-compacting concrete, SCC. Mater. Struct. 2004, 37, 575–584. [Google Scholar] [CrossRef]
- Bamonte, P.; Gambarova, P.G. A study on the mechanical properties of self-compacting concrete at high temperature and after cooling. Mater. Struct. 2012, 45, 1375–1387. [Google Scholar] [CrossRef]
- Uysal, M. Self-compacting concrete incorporating filler additives: Performance at high temperatures. Constr. Build. Mater. 2012, 26, 701–706. [Google Scholar] [CrossRef]
- Chang, Y.F.; Chen, Y.H.; Sheu, M.S.; Yao, G.C. Residual stress–strain relationship for concrete after exposure to high temperatures. Cem. Concr. Res. 2006, 36, 1999–2005. [Google Scholar] [CrossRef]
- Popovics, S. A numerical approach to the complete stress-strain curve of concrete. Cem. Concr. Res. 1973, 3, 583–599. [Google Scholar] [CrossRef]
- Tsai, W.T. Uniaxial Compressional Stress-Strain Relation of Concrete. J. Struct. Eng. 1988, 114, 2133–2136. [Google Scholar] [CrossRef]
- Shafiq, N.; Ayub, T.; Nuruddin, M.F. Predictive Stress-Strain Models for High Strength Concrete Subjected to Uniaxial Compression. Appl. Mech. Mater. 2014, 567, 476–481. [Google Scholar] [CrossRef]
- Annerel, E.; Taerwe, L. Evolution of the strains of traditional and self-compacting concrete during and after fire. Mater. Struct. Constr. 2011, 44, 1369–1380. [Google Scholar] [CrossRef]
- Sharma, U.; Zaidi, K.; Bhandari, N. Residual Compressive Stress-Strain Relationship for Concrete Subjected to Elevated Temperatures. J. Struct. Fire Eng. 2012, 3, 327–350. [Google Scholar] [CrossRef]
- Carreira, D.J.; Chu, K.-H. Stress-Strain Relationship for plain concrete in compression. ACI J. 1985, 82, 797–804. [Google Scholar]
- Stojković, N.; Perić, D.; Stojić, D.; Marković, N. New stress-strain model for concrete at high temperatures. Teh. Vjesn. Tech. Gaz. 2017, 24, 863–868. [Google Scholar] [CrossRef][Green Version]





















| Property/Components | Portland Cement | Dolomite Filler | Metakaolin | Fly Ash | Limestone |
|---|---|---|---|---|---|
| Chemical analysis, % | |||||
| CaO | 60.23 | 30.38 | 0.55 | 4.21 | 54.05 |
| SiO2 | 19.81 | 0.00 | 53.53 | 51.87 | 0.66 |
| Fe2O3 | 2.71 | 0.18 | 1.17 | 9.22 | 0.12 |
| Al2O3 | 5.38 | 0.31 | 41.18 | 24.46 | 0.15 |
| MgO | 2.87 | 21.84 | 0.36 | 1.83 | 1.01 |
| Na2O | 0.8 | 0.05 | 0.08 | 0.23 | 0.08 |
| K2O | 0.77 | 0.02 | 0.83 | 1.14 | 0.02 |
| SO3 | 3.07 | 0.05 | 0.08 | 0.56 | 0.09 |
| Loss of ignition, LOI | 4.47 | 47.58 | 1.36 | 0.54 | 43.87 |
| Physical properties | |||||
| Specific gravity, g/cm3 | 3.05 | 2.86 | 2.68 | 2.34 | 2.63 |
| Blaine fineness, cm2/g | 3290 | 1630 | 10,260 | 3070 | 8948 |
| Metakaolin | Fly Ash | Limestone | |||||||||
|---|---|---|---|---|---|---|---|---|---|---|---|
| Mix ID | M2 | M3 (MK5) | M4 (MK10) | M5 (MK15) | M6 (FA20) | M7 (FA30) | M8 (FA40) | M9 (LF5) | M10 (LF10) | M11 (LF15) | |
| Cement, kg | 450 | 427.5 | 405 | 382.5 | 360 | 315 | 270 | 427.5 | 405 | 382.5 | |
| MK | % c.w. | - | 5 | 10 | 15 | - | - | - | - | - | - |
| kg | - | 22.5 | 45 | 67.5 | - | - | - | - | - | - | |
| FA | % c.w. | - | - | - | - | 20 | 30 | 40 | - | - | - |
| kg | - | - | - | - | 90 | 135 | 180 | - | - | - | |
| LF | % c.w. | - | - | - | - | - | - | - | 5 | 10 | 15 |
| kg | - | - | - | - | - | - | - | 22.5 | 45 | 67.5 | |
| Dolomite filer, kg | 220 | ||||||||||
| Water, L | 180 | ||||||||||
| v/c | 0.40 | 0.42 | 0.44 | 0.47 | 0.50 | 0.57 | 0.67 | 0.42 | 0.44 | 0.47 | |
| Fine aggregate, kg | 862 | 862 | 862 | 862 | 862 | 862 | 862 | 862 | 862 | 862 | |
| Coarse aggregate, kg | 696 | 696 | 696 | 696 | 696 | 696 | 696 | 696 | 696 | 696 | |
| Superplasticizer, L | 5.6 | 4.5 | 5.2 | 6.3 | 4.1 | 3.6 | 3.4 | 5.0 | 4.1 | 3.9 | |
| WMA, L | 0.7 | 1.0 | |||||||||
| Fresh concrete properties | |||||||||||
| Density in fresh state, kg/m3 | 2499 | 2485 | 2482 | 2488 | 2462 | 2438 | 2419 | 2489 | 2486 | 2480 | |
| Air content, % | 1.9 | 2.1 | 2.4 | 2.1 | 2.3 | 2.0 | 2.3 | 2.1 | 2.2 | 2.2 | |
| Slump flow | 732 | 720 | 725 | 727 | 720 | 723 | 725 | 720 | 718 | 717 | |
| Slump flow time (t500), s | 2.08 | 2.35 | 2.19 | 2.10 | 1.66 | 1.47 | 1.40 | 1.38 | 1.49 | 1.65 | |
| L-box (h2/h1), - | 0.94 | 0.93 | 0.82 | 0.82 | 0.84 | 0.87 | 0.92 | 0.94 | 0.91 | 0.85 | |
| Segregation resistance | 5 | 8 | 10 | 10 | 5 | 5 | 8 | 7 | 4 | 3 | |
Publisher’s Note: MDPI stays neutral with regard to jurisdictional claims in published maps and institutional affiliations. |
© 2022 by the authors. Licensee MDPI, Basel, Switzerland. This article is an open access article distributed under the terms and conditions of the Creative Commons Attribution (CC BY) license (https://creativecommons.org/licenses/by/4.0/).
Share and Cite
Jelčić Rukavina, M.; Gabrijel, I.; Netinger Grubeša, I.; Mladenovič, A. Residual Compressive Behavior of Self-Compacting Concrete after High Temperature Exposure—Influence of Binder Materials. Materials 2022, 15, 2222. https://doi.org/10.3390/ma15062222
Jelčić Rukavina M, Gabrijel I, Netinger Grubeša I, Mladenovič A. Residual Compressive Behavior of Self-Compacting Concrete after High Temperature Exposure—Influence of Binder Materials. Materials. 2022; 15(6):2222. https://doi.org/10.3390/ma15062222
Chicago/Turabian StyleJelčić Rukavina, Marija, Ivan Gabrijel, Ivanka Netinger Grubeša, and Ana Mladenovič. 2022. "Residual Compressive Behavior of Self-Compacting Concrete after High Temperature Exposure—Influence of Binder Materials" Materials 15, no. 6: 2222. https://doi.org/10.3390/ma15062222
APA StyleJelčić Rukavina, M., Gabrijel, I., Netinger Grubeša, I., & Mladenovič, A. (2022). Residual Compressive Behavior of Self-Compacting Concrete after High Temperature Exposure—Influence of Binder Materials. Materials, 15(6), 2222. https://doi.org/10.3390/ma15062222

