Research on Mechanical Properties and Influencing Factors of Cement-Graded Crushed Stone Using Vertical Vibration Compaction
Abstract
:1. Introduction
2. Raw Materials and Test Plans
2.1. Raw Material
2.2. Mixtures
2.3. Specimen Preparation Method
2.4. Test Methods
3. Results and Discussion
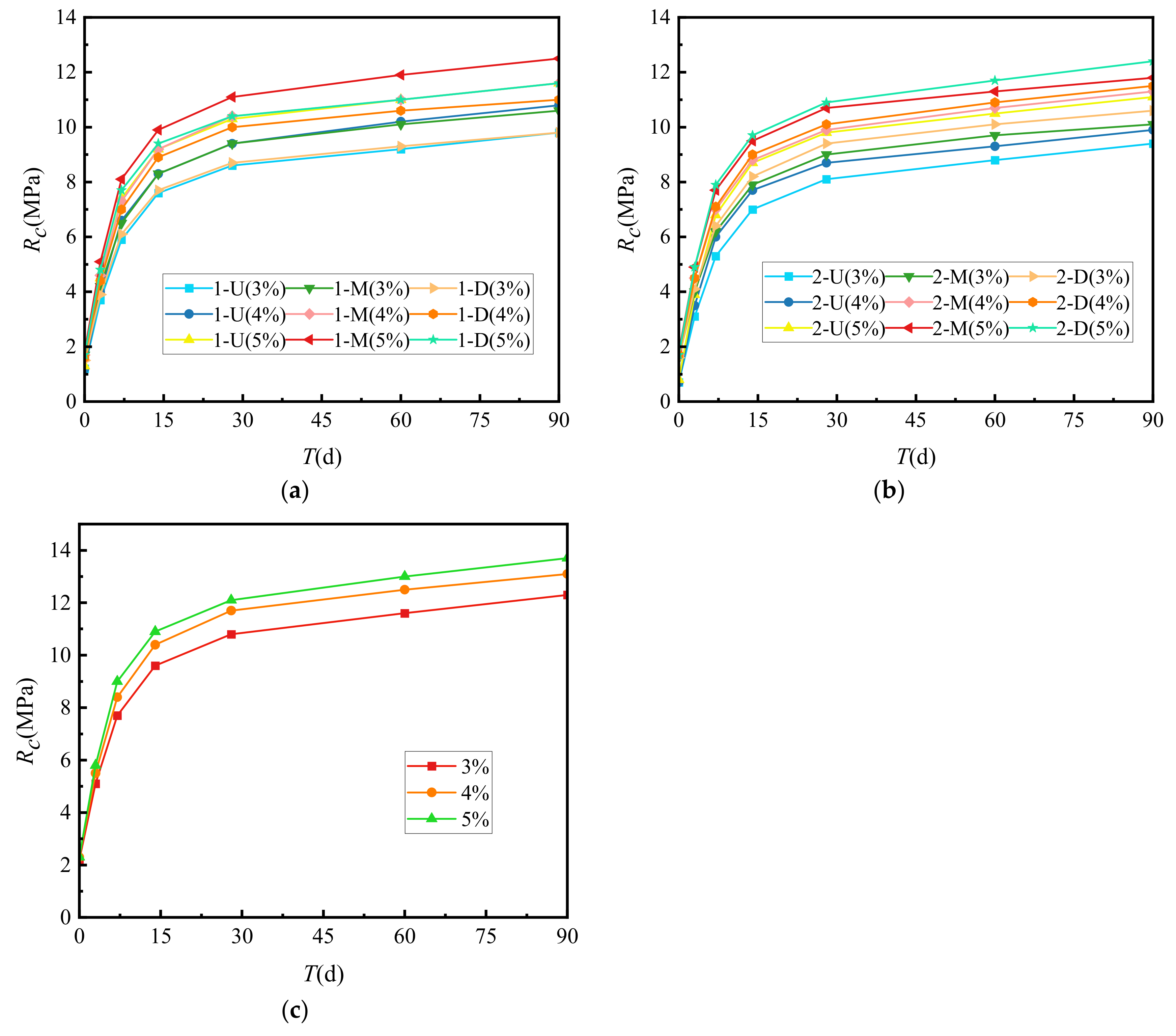
3.1. Influence of Curing Times on Mechanical Properties
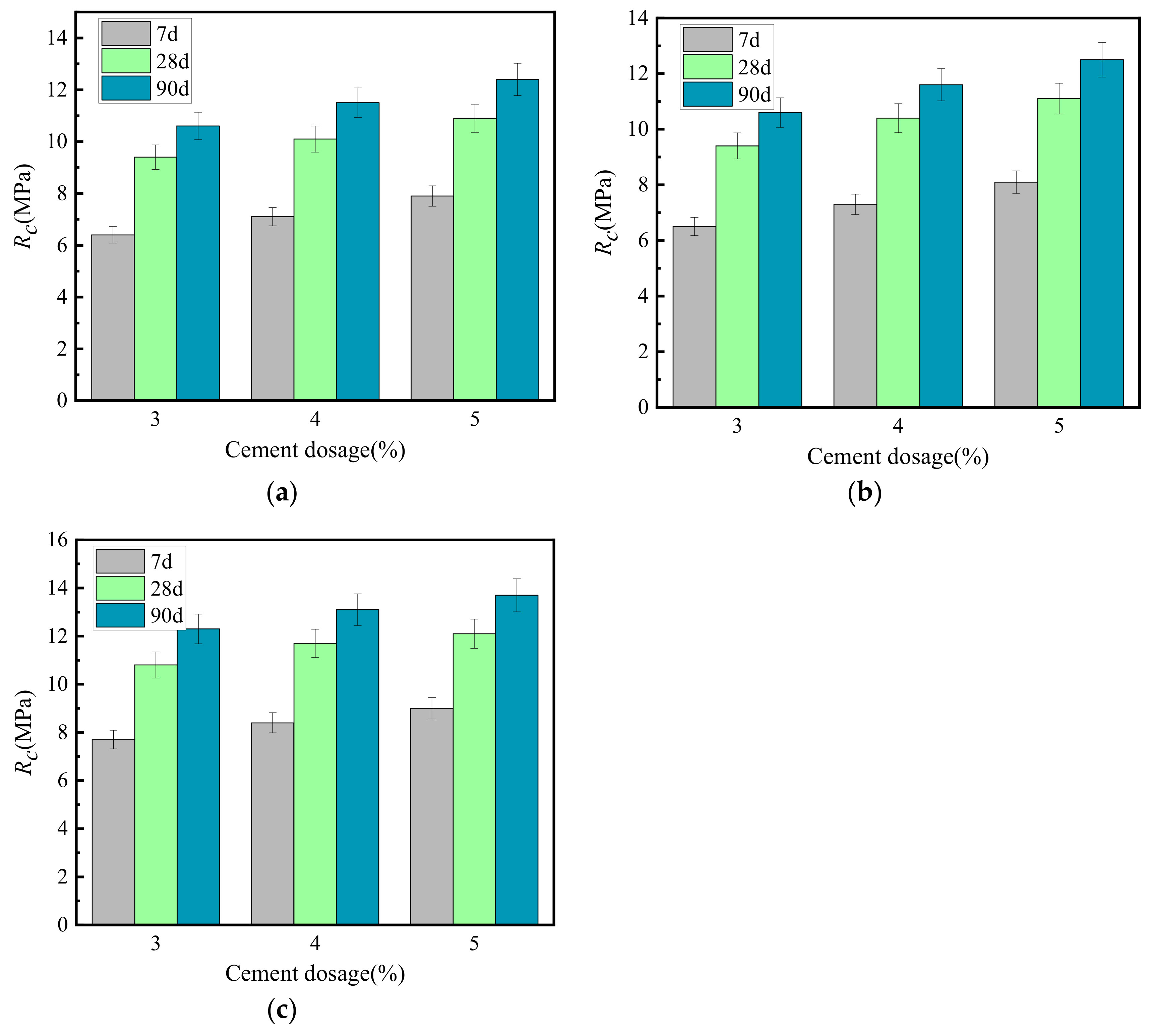
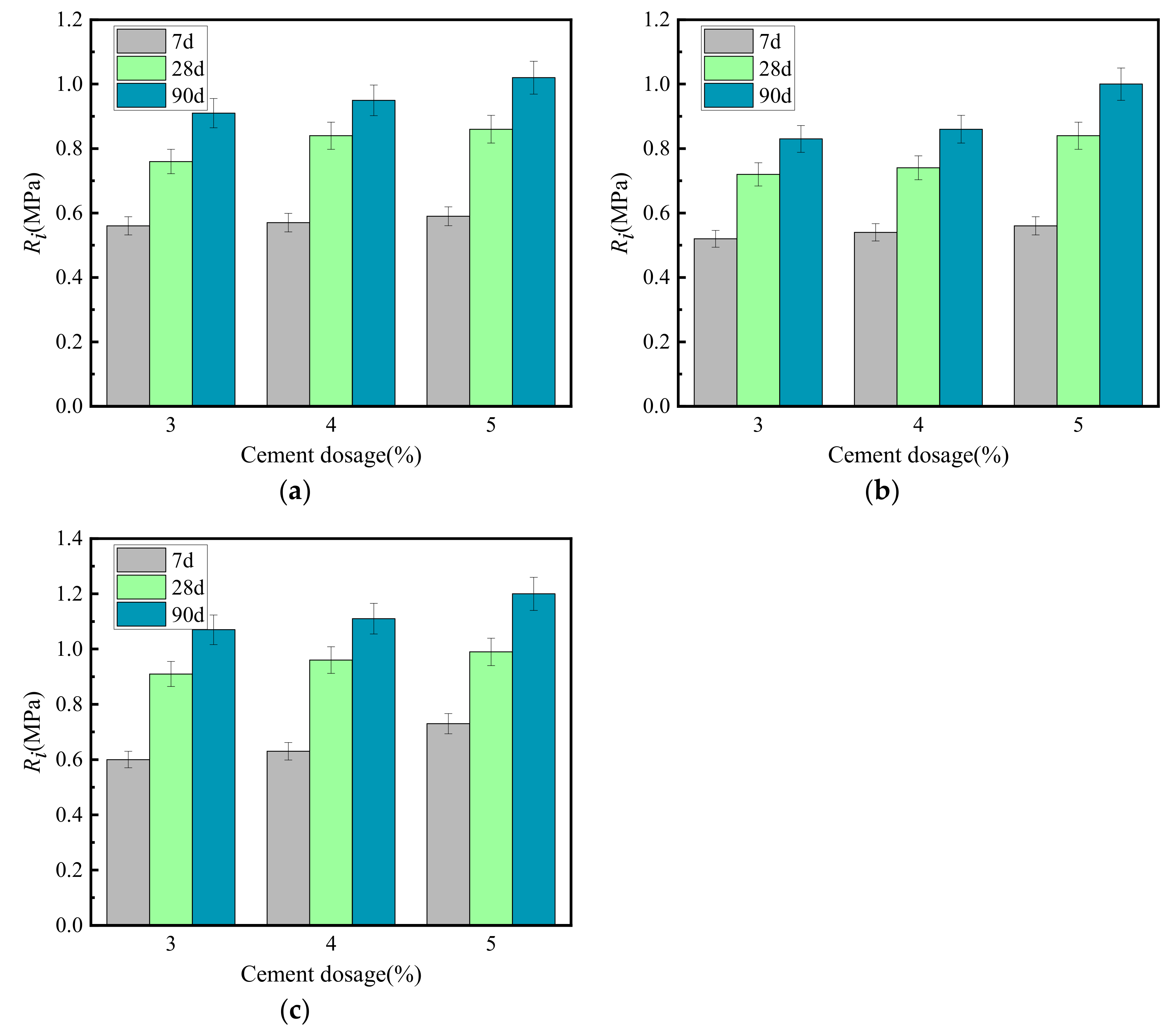
3.2. Influence of Cement Dosage on Mechanical Properties
3.3. Influence of Gradation on Mechanical Properties
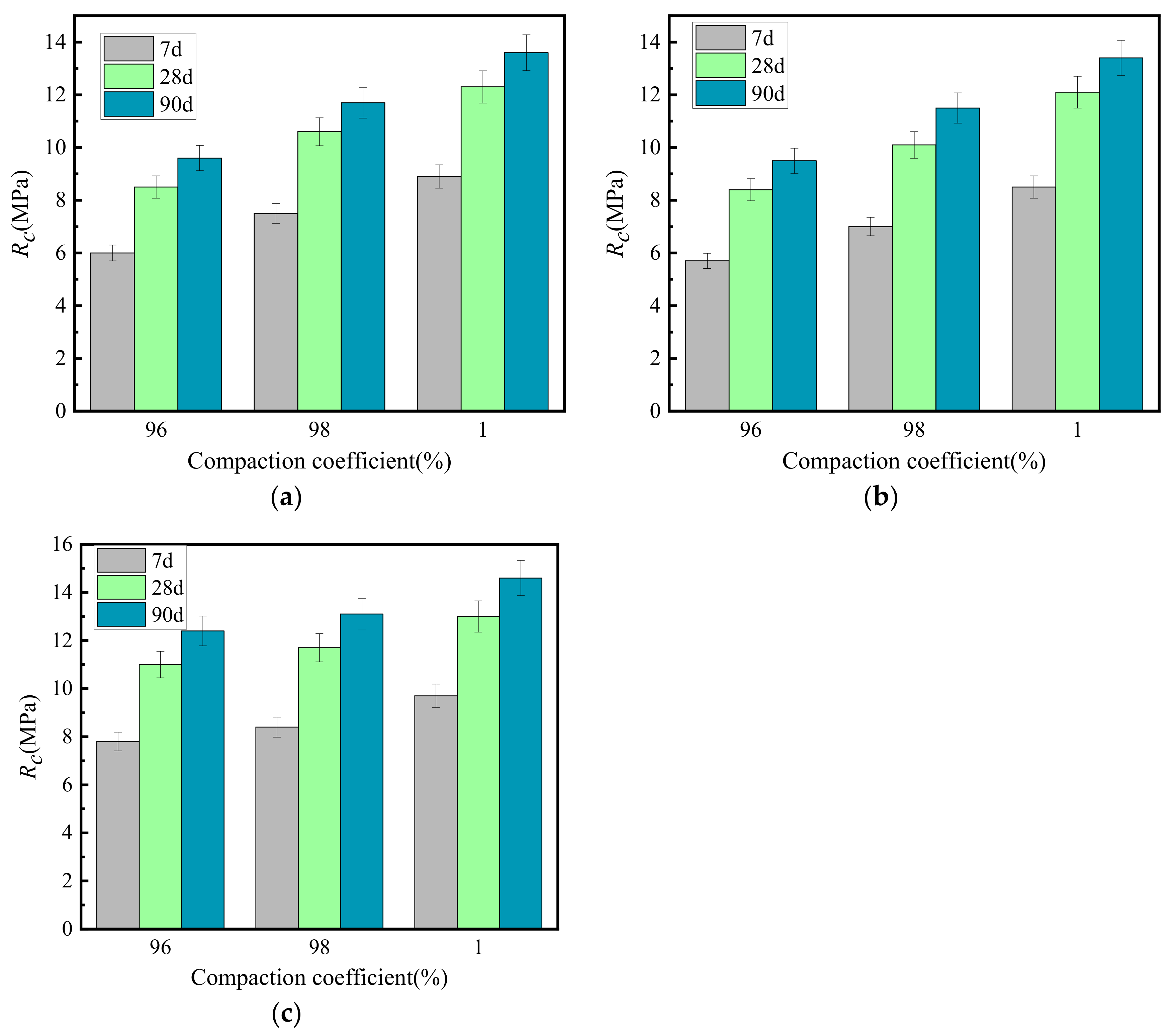
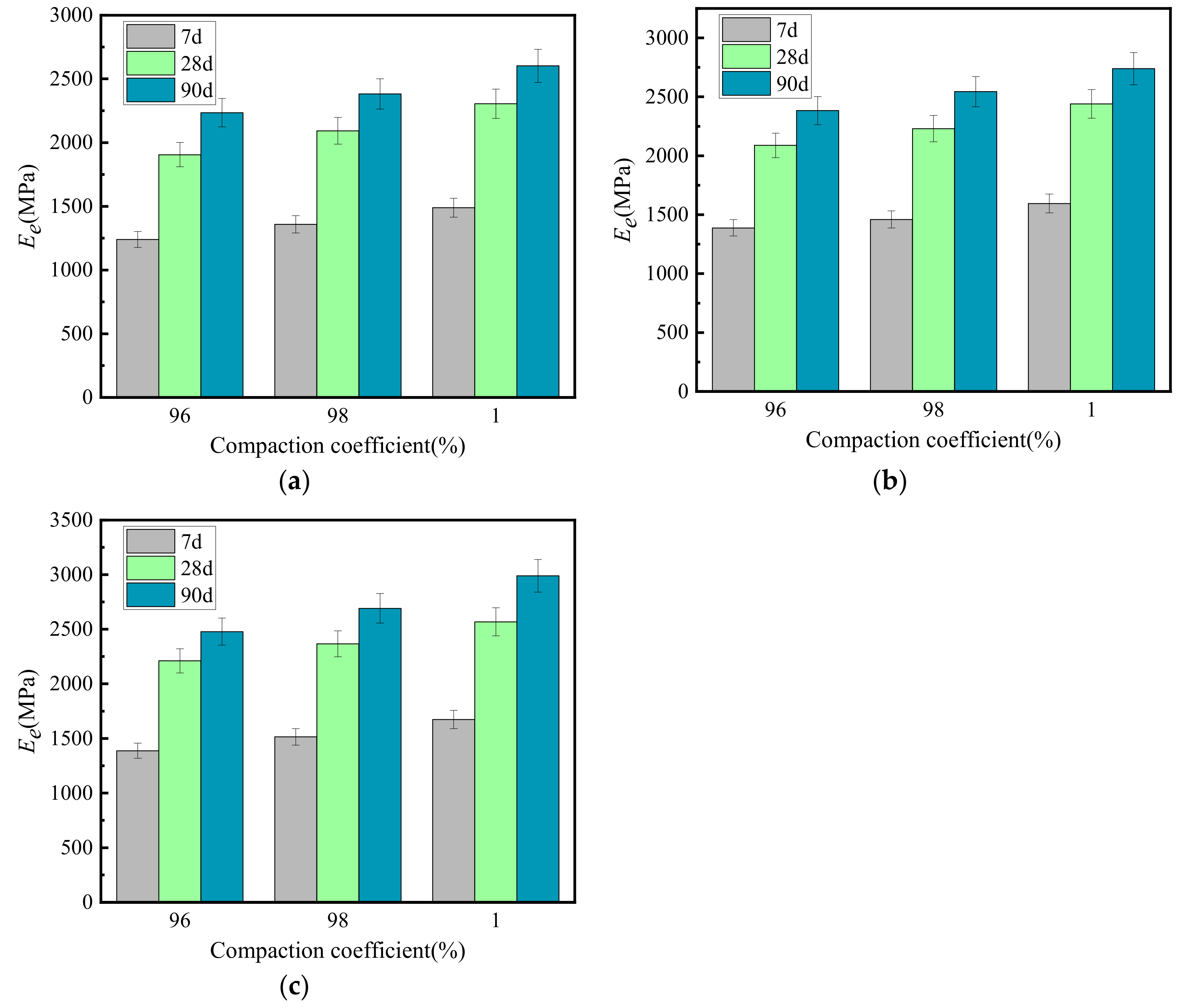
3.4. Influence of Compaction Coefficient on Mechanical Properties
4. Strength Growth Equation
4.1. Strength Formation Mechanism
4.2. Prediction Model of Unconfined Compressive Strength
4.3. Prediction Model of Splitting Strength
4.4. Prediction Model of Resilience Modulus
4.5. Reliability Evaluation of the Mechanical Strength Growth Equation
5. Conclusions
- (1)
- A strength growth model of cement-graded crushed stone is proposed, and strength prediction models of unconfined compressive strength, splitting strength and resilience modulus of cement-graded crushed stone are proposed based on this model. These can accurately predict the growth trends of mechanical properties in cement-graded crushed stone.
- (2)
- VGM-30 grading can significantly improve the unconfined compressive strength, splitting strength and resilience modulus of cement-graded crushed stone compared with standard cement-graded crushed stone. The overall unconfined compressive strength, splitting strength and resilience modulus can be increased by an average of 20, 20 and 17%, respectively.
- (3)
- The mechanical strength and modulus of the graded crushed stone increase with the increase of cement dose. For every 1% increase in cement dosage, the unconfined compressive strength can be increased by at least 7%, the splitting strength can be increased by at least 5% and the resilience modulus can be increased by at least 12%.
- (4)
- The mechanical properties of cement-graded crushed stone can be significantly improved by increasing the compaction coefficient, the compaction coefficient is increased by 1%, and the unconfined compressive strength can be increased by at least 5%, the splitting strength can be increased by at least 6% and the resilience modulus can be increased by at least 4%.
- (5)
- The three mechanical properties of cement-graded crushed stone increased with an increase in curing time, and the growth laws were similar, with all increasing fastest during the first 28 days and then decreasing after this time. After 90 days, the increase in strength tended to stabilise.
Author Contributions
Funding
Data Availability Statement
Conflicts of Interest
References
- Hu, P.; Zhang, C.; Chen, S.J.; Wang, Y.; Wang, W.; Duan, W.H. Dynamic responses of bridge–embankment transitions in high speed railway: Field tests and data analyses. Eng. Struct. 2018, 175, 565–576. [Google Scholar] [CrossRef]
- Ince, R. Effect of grading type of aggregate on fracture parameters of concrete. Mag. Concr. Res. 2018, 71, 860–868. [Google Scholar] [CrossRef]
- Niu, F.J.; Zheng, H.; Li, A.Y. The study of frost heave mechanism of high-speed railway foundation by field-monitored data and indoor verification experiment. Acta Geotech. 2020, 15, 581–593. [Google Scholar] [CrossRef]
- Xu, G.; Chen, Z.; Li, X.; Lu, G.; Dong, D.; Liu, Z. Simple prediction model for plastic deformation of graded crushed stone base for flexible pavement. Mater. Struct. 2020, 53, 36. [Google Scholar] [CrossRef]
- Fang, R.; Lu, Z.; Yao, H.L.; Luo, X.W.; Yang, M.L. Study on dynamic responses of unsaturated railway subgrade subjected to moving train load. Soil Dyn. Earthq. Eng. 2018, 115, 319–323. [Google Scholar] [CrossRef]
- TB10623-2014; Code for Design of Intercity Railway. National Railway Administration: Beijing, China, 2014. (In Chinese)
- Tan, B.; Yang, T.; Qin, H.; Liu, Q. Laboratory study on the stability of large-size graded crushed stone under cyclic rotating axial compression. Materials 2021, 14, 1584. [Google Scholar] [CrossRef]
- Wang, L.; Xie, X.G.; Luan, H. Influence of laboratory compaction methods on shear performance of graded crushed stone. J. Mater. Civ. Eng. 2011, 23, 1483–1487. [Google Scholar]
- Chen, L.B.; Yan, E.H.; Xu, Y.J. Research on design indicators for graded crushed stone mixture based on vibration molding method. Adv. Mater. Sci. Eng. 2020, 2020, 5179563. [Google Scholar] [CrossRef]
- Yang, Z.H.; Yue, Z.R.; Tai, B.W. Investigation of the deformation and strength properties of fouled graded macadam materials in heavy-haul railway subgrade beds. Constr. Build. Mater. 2020, 273, 121778. [Google Scholar] [CrossRef]
- Cui, K.; Li, W. Dry shrinkage and durability performance of cement stabilized graded stone with framework and dense structure. Mater. Res. 2016, 19, 215–219. [Google Scholar] [CrossRef] [Green Version]
- Zhang, C.; Lei, Y.; Lv, S.T. Parameter optimization of graded macadam transitional layer for inverted asphalt pavement based on the mechanical response and strength standard. Adv. Mater. Sci. Eng. 2021, 2021, 9945372. [Google Scholar] [CrossRef]
- Deng, C.; Jiang, Y.; Zhang, Y.; Yi, Y.; Tian, T.; Yuan, K.; Fan, J. Mechanical properties and influencing factors of vertical-vibration compacted unbound graded aggregate materials. Transp. Geotech. 2021, 28, 119089. [Google Scholar] [CrossRef]
- Deng, C.; Jiang, Y.; Tian, T.; Chen, Z. Resilient modulus and influencing factors of vertical vibration compacted cement-stabilized macadam. Int. J. Pavement Eng. 2021, 22, 1435–1445. [Google Scholar] [CrossRef]
- Thavathurairaja, J.; Hand, A.J.; Piratheepan, M.; Sebaaly, P.E.; Hajj, E.Y. Method to estimate design resilient modulus (Mr) of unbound materials for rehabilitation in M-E design. Constr. Build. Mater. 2021, 267, 120887. [Google Scholar] [CrossRef]
- Ng, K.; Mebrahtom, D.; Ksaibati, K.; Wulff, S.S. Characterisation of crushed base for mechanistic-empirical pavement design guide. Road Mater. Pavement Des. 2021, 22, 1614971. [Google Scholar] [CrossRef]
- Lv, S.; Peng, X.; Yuan, J.; Liu, H.; Hu, L.; Yang, S.; Liu, J. Stress path investigation of fatigue characteristics of cement stabilized macadam. Constr. Build. Mater. 2021, 292, 123446. [Google Scholar] [CrossRef]
- Cook, C.S.; Tanyu, B.F.; Yavuz, A.B. Effect of particle shape on durability and performance of unbound aggregate base. J. Mater. Civ. Eng. 2017, 29, 1–12. [Google Scholar] [CrossRef]
- Bilodeau, J.P.; Doré, G. Relating resilient behaviour of compacted unbound base granular materials to matrix and interlock characteristics. Constr. Build. Mater. 2012, 37, 220–228. [Google Scholar] [CrossRef]
- Jiang, Y.J.; Xue, J.S. Investigation into physical and mechanical properties of SRX-stabilised crushed rock using different compaction methods. Int. J. Pavement Eng. 2019, 20, 866–873. [Google Scholar] [CrossRef]
- Xue, J.S.; Jiang, Y.J. Analysis on the fatigue properties of vertical vibration compacted lime-fly ash-stabilized macadam. Constr. Build. Mater. 2017, 155, 531–541. [Google Scholar] [CrossRef]
- Deng, C.Q.; Jiang, Y.J.; Lin, H.W.; Ji, X.P. Mechanical-strength-growth law and predictive model for cement-stabilized macadam. Constr. Build. Mater. 2019, 215, 582–594. [Google Scholar] [CrossRef]
- Deng, C.Q.; Jiang, Y.J.; Yuan, K.J.; Tian, T.; Yi, Y. Mechanical properties of vertical vibration compacted lime-fly ash-stabilized macadam material. Constr. Build. Mater. 2020, 251, 119089. [Google Scholar] [CrossRef]
- Ji, X.P.; Hou, Y.Q.; Li, X.H.; Wang, T. Comparison on properties of cement-stabilised gravel prepared by different laboratory compaction methods. Road Mater. Pavement Des. 2019, 20, 991–1003. [Google Scholar] [CrossRef]
- Wang, J.J.; Tan, Z.H.; Liu, P.F. Mechanical and mesoscale analyses of cement stabilized macadam prepared by vibratory and nonvibratory mixing techniques. Adv. Civ. Eng. 2021, 2021, 6663233. [Google Scholar] [CrossRef]
- JTG E42-2005; Highway Engineering Aggregate Test Regulations; Ministry of Communications of the People’s Republic of China: Beijing, China, 2005. (In Chinese)
- GB 175-2007; Universal Portland Cement; China National Standardization Management Committee: Beijing, China, 2017. (In Chinese)
- Li, D. Research on the Design Standard and Design Method of Graded Crushed Stone Based on Vibration Method; Chang’an University: Xi’an, China, 2010. (In Chinese) [Google Scholar]
- Sengun, E.; ALAM, B.; Shabani, R.; Yaman, I. The effects of compaction methods and mix parameters on the properties of roller compacted concrete mixtures. Constr. Build. Mater. 2019, 228, 116807. [Google Scholar] [CrossRef]
- Jiang, Y.; Fan, J.; Yi, Y.; Tian, T.; Yuan, K.; Deng, C. Investigation on cement-improved phyllite based on the vertical vibration compaction method. PLoS ONE 2021, 16, e0247599. [Google Scholar] [CrossRef]
- Eduardojavier, E.; Alexandra, O.; Jorge, R. Evaluation of the effect of different compaction methods on porous concrete pavements: Correlation with strength and permeability. J. Mater. Civ. Eng. 2021, 33, 1943–5533. [Google Scholar]
- JTG E51-2009; Test Regulations for Inorganic Binder Stabilization Materials for Highway Engineering. Highway Research Institute, Ministry of Communications: Beijing, China, 2009. (In Chinese)
- Sun, Y.; Li, L.H. Strength assessment and mechanism analysis of cement stabilized reclaimed lime-fly ash macadam. Constr. Build. Mater. 2018, 166, 118–129. [Google Scholar] [CrossRef]

















| Index | Measured Values | Standard |
|---|---|---|
| Needle content (%) | 8.7 | ≤18 |
| Crush value (%) | 9.0 | ≤28 |
| Los Angeles attrition rate (%) | 24.1 | ≤30 |
| Plastic index | 5.7 | ≤4 |
| Porosity (%) | 25 | <28 |
| Bibulous rate (%) | 2 | <4 |
| Index | Density (g/cm3) | Stability | Water for Standard Consistency (%) | Specific Surface Area (m2/kg) | Initial Setting Time (min) | Final Setting Time (min) |
|---|---|---|---|---|---|---|
| Test results | 3.07 | qualified | 27.3 | 342 | 292 | 388 |
| Gradation Type | Percentage (Mass%) Passing through the Sieve Aperture (mm) | |||||||||
|---|---|---|---|---|---|---|---|---|---|---|
| 53 | 37.5 | 31.5 | 19 | 9.5 | 4.75 | 2.36 | 0.6 | 0.075 | ||
| GF1 | Upper | 100 | 100 | - | 90 | - | 65 | 50 | 30 | 10 |
| Median | 100 | 97.5 | - | 75 | - | 47.5 | 35 | 20 | 6 | |
| Down | 100 | 95 | - | 60 | - | 30 | 20 | 10 | 2 | |
| GF2 | Upper | - | 100 | 100 | 90 | - | 65 | 50 | 30 | 10 |
| Median | - | 100 | 97.5 | 75 | - | 47.5 | 35 | 20 | 6 | |
| Down | - | 100 | 95 | 60 | - | 30 | 20 | 10 | 2 | |
| VGM-30 | - | - | 100 | 65 | 51 | 30 | 24 | 15 | - | |
| Gradation Type | Ps (%) | GF1 | GF2 | VGM-30 | |||
|---|---|---|---|---|---|---|---|
| W (%) | ρdmax (g/cm3) | W (%) | ρdmax (g/cm3) | W (%) | ρdmax (g/cm3) | ||
| U | 3 | 4.4 | 2.471 | 4.5 | 2.469 | 3.8 | 2.512 |
| 4 | 4.8 | 2.480 | 4.9 | 2.478 | 3.9 | 2.529 | |
| 5 | 5.1 | 2.488 | 5.3 | 2.485 | 4.1 | 2.547 | |
| M | 3 | 4.1 | 2.487 | 4.3 | 2.484 | - | - |
| 4 | 4.3 | 2.504 | 4.5 | 2.500 | - | - | |
| 5 | 4.6 | 2.519 | 4.7 | 2.516 | - | - | |
| D | 3 | 3.9 | 2.467 | 4.0 | 2.483 | - | - |
| 4 | 4.1 | 2.486 | 4.2 | 2.501 | - | - | |
| 5 | 4.3 | 2.505 | 4.3 | 2.517 | - | - | |
| Work Frequency (Hz) | Work Amplitude (mm) | Work Weight (kg) | ||
|---|---|---|---|---|
| Upper System Weigh | Lower System Weight | Total Weight | ||
| 30 | 1.2 | 120 | 180 | 300 |
| Gradation Type | Ps (%) | α | Rc0 (MPa) | Rc∞ (MPa) | R2 |
|---|---|---|---|---|---|
| GF1-M | 3 | 0.15 | 1.7 | 11.2 | 1.00 |
| 4 | 0.15 | 1.7 | 12.4 | 0.99 | |
| 5 | 0.15 | 1.8 | 13.3 | 0.99 | |
| GF2-D | 3 | 0.15 | 1.6 | 11.2 | 1.00 |
| 4 | 0.15 | 1.7 | 12.2 | 0.99 | |
| 5 | 0.15 | 1.7 | 13.1 | 1.00 | |
| VGM30 | 3 | 0.15 | 2.2 | 12.9 | 0.99 |
| 4 | 0.15 | 2.3 | 13.9 | 0.99 | |
| 5 | 0.15 | 2.3 | 14.5 | 1.00 |
| Gradation Type | Ac | Bc | R2 |
|---|---|---|---|
| GF1-M | 0.30 | 0.68 | 0.98 |
| GF2-D | 0.30 | 0.67 | 0.98 |
| VGM-30 | 0.30 | 0.69 | 0.99 |
| Average | 0.30 | 0.69 | 0.99 |
| Gradation Type | Ps (%) | β | Ri∞ (MPa) | R2 |
|---|---|---|---|---|
| GF1-M | 3 | 0.10 | 1.00 | 0.95 |
| 4 | 0.10 | 1.09 | 0.97 | |
| 5 | 0.10 | 1.15 | 0.98 | |
| GF2-D | 3 | 0.10 | 0.95 | 0.97 |
| 4 | 0.10 | 0.98 | 0.97 | |
| 5 | 0.10 | 1.13 | 0.98 | |
| VGM-30 | 3 | 0.10 | 1.21 | 0.97 |
| 4 | 0.10 | 1.26 | 0.98 | |
| 5 | 0.10 | 1.34 | 0.99 |
| Gradation Type | Ai | Bi | R2 |
|---|---|---|---|
| GF1-M | 0.35 | 0.61 | 0.98 |
| GF2-D | 0.35 | 0.61 | 0.98 |
| VGM-30 | 0.35 | 0.63 | 1.00 |
| Average | 0.35 | 0.63 | 0.99 |
| Gradation Type | Ps (%) | γ | Ee0 (MPa) | Ee∞ (MPa) | R2 |
|---|---|---|---|---|---|
| GF1-M | 3 | 0.15 | 367 | 2167 | 1.00 |
| 4 | 0.15 | 374 | 2515 | 0.99 | |
| 5 | 0.15 | 390 | 2772 | 0.99 | |
| GF2-D | 3 | 0.15 | 361 | 2189 | 0.98 |
| 4 | 0.15 | 368 | 2661 | 0.99 | |
| 5 | 0.15 | 376 | 2750 | 1.00 | |
| VGM-30 | 3 | 0.15 | 431 | 2362 | 1.00 |
| 4 | 0.15 | 437 | 2825 | 0.99 | |
| 5 | 0.15 | 450 | 3024 | 1.00 |
| Gradation Type | Ae | Be | R2 |
|---|---|---|---|
| GF1-M | 0.23 | 0.85 | 0.99 |
| GF2-D | 0.23 | 0.85 | 0.99 |
| VGM-30 | 0.23 | 0.86 | 0.98 |
| Average | 0.23 | 0.86 | 0.99 |
| Test Items | Curing Time (Days) | Measured Values (MPa) | Predicted Values (MPa) | Error (%) |
|---|---|---|---|---|
| Unconfined compressive strength | 7 | 8.25 | 8.90 | 7.9 |
| 14 | 10.40 | 10.27 | 1.2 | |
| 28 | 11.70 | 11.60 | 0.85 | |
| 60 | 12.51 | 13.01 | 4.0 | |
| 90 | 13.18 | 13.73 | 4.2 | |
| Splitting strength | 7 | 0.66 | 0.73 | 10.6 |
| 14 | 0.83 | 0.87 | 4.8 | |
| 28 | 0.97 | 0.99 | 2.1 | |
| 60 | 1.08 | 1.13 | 4.6 | |
| 90 | 1.15 | 1.19 | 3.5 | |
| Resilience modulus | 7 | 1514 | 1642 | 8.4 |
| 14 | 2000 | 1954 | 2.3 | |
| 28 | 2366 | 2267 | 4.2 | |
| 60 | 2616 | 2616 | 0 | |
| 90 | 2691 | 2798 | 4.0 |
Publisher’s Note: MDPI stays neutral with regard to jurisdictional claims in published maps and institutional affiliations. |
© 2022 by the authors. Licensee MDPI, Basel, Switzerland. This article is an open access article distributed under the terms and conditions of the Creative Commons Attribution (CC BY) license (https://creativecommons.org/licenses/by/4.0/).
Share and Cite
Jiang, Y.; Wang, H.; Yuan, K.; Li, M.; Yang, M.; Yi, Y.; Fan, J.; Tian, T. Research on Mechanical Properties and Influencing Factors of Cement-Graded Crushed Stone Using Vertical Vibration Compaction. Materials 2022, 15, 2132. https://doi.org/10.3390/ma15062132
Jiang Y, Wang H, Yuan K, Li M, Yang M, Yi Y, Fan J, Tian T. Research on Mechanical Properties and Influencing Factors of Cement-Graded Crushed Stone Using Vertical Vibration Compaction. Materials. 2022; 15(6):2132. https://doi.org/10.3390/ma15062132
Chicago/Turabian StyleJiang, Yingjun, Huatao Wang, Kejia Yuan, Mingjie Li, Ming Yang, Yong Yi, Jiangtao Fan, and Tian Tian. 2022. "Research on Mechanical Properties and Influencing Factors of Cement-Graded Crushed Stone Using Vertical Vibration Compaction" Materials 15, no. 6: 2132. https://doi.org/10.3390/ma15062132
APA StyleJiang, Y., Wang, H., Yuan, K., Li, M., Yang, M., Yi, Y., Fan, J., & Tian, T. (2022). Research on Mechanical Properties and Influencing Factors of Cement-Graded Crushed Stone Using Vertical Vibration Compaction. Materials, 15(6), 2132. https://doi.org/10.3390/ma15062132

