Study of Magnetic Properties and Relaxation Time of Nanoparticle Fe3O4-SiO2
Abstract
:1. Introduction
2. Materials and Methods
2.1. Synthesis of Fe3O4 Nanoparticles
2.2. Synthesis of Fe3O4-SiO2 Nanoparticles
2.3. Characterization
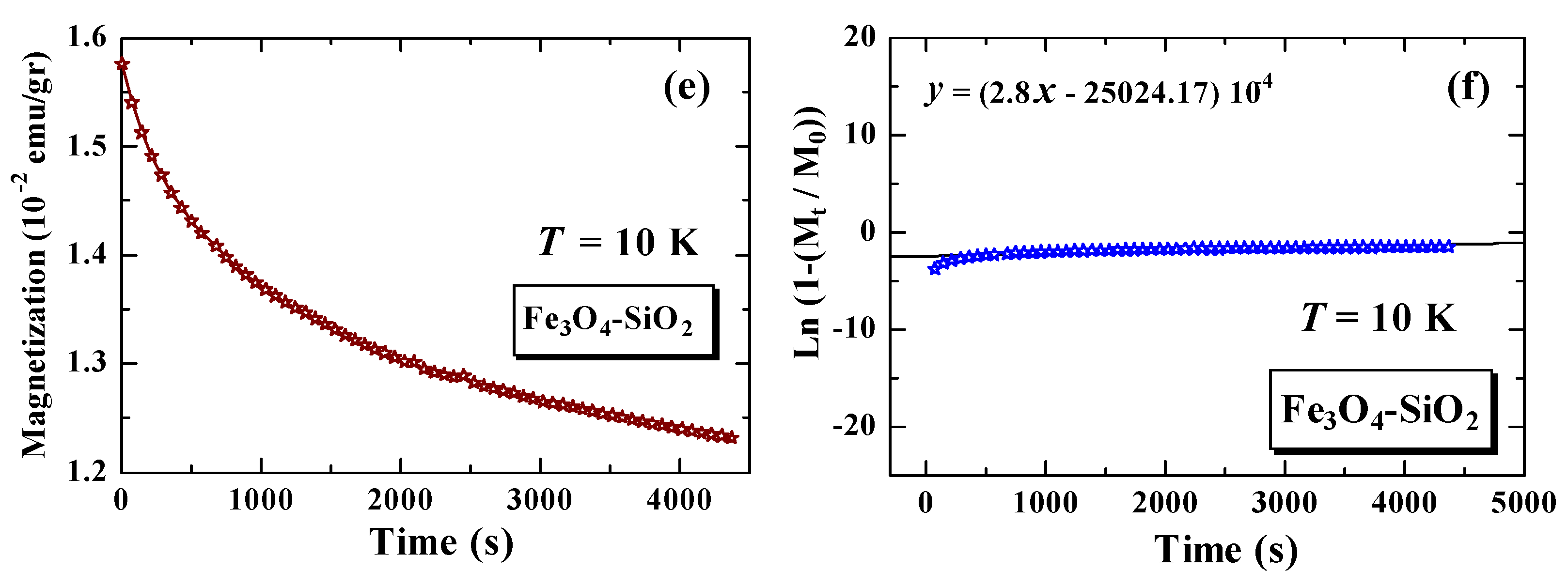
3. Results and Discussion
3.1. Particle Size of Fe3O4 and Fe3O4-SiO2 Nanoparticles
3.2. Temperature Dependence of Magnetization,
3.3. Curie Temperature (TC)
3.4. Curie Constant, Effective Magnetic Moment, and Weiss Temperature
3.5. Distribution of the Anisotropy Energy Barriers
3.6. Magnetic Relaxation Time,
4. Conclusions
Author Contributions
Funding
Data Availability Statement
Acknowledgments
Conflicts of Interest
References
- Gubin, S.P.; Koksharov, Y.A.; Khomutov, G.; Yurkov, G.Y. Magnetic nanoparticles: Preparation, structure and properties. Russ. Chem. Rev. 2005, 74, 489–520. [Google Scholar] [CrossRef]
- Taufiq, A.; Saputro, R.E.; Susanto, H.; Hidayat, N.; Sunaryono, S.; Amrillah, T.; Wijaya, H.W.; Mufti, N.; Simanjuntak, F.M. Synthesis of Fe3O4/Ag Nanohybrid Ferrofluids and Their Applications as Antimicrobial and Antifibrotic Agents. Heliyon 2020, 6, e05813. [Google Scholar] [CrossRef] [PubMed]
- Sun, H.; Zeng, X.; Liu, M.; Elingarami, S.; Li, G.; Shen, B.; He, N. Synthesis of Size-Controlled Fe3O4@SiO2 Magnetic Nanoparticles for Nucleic Acid Analysis. J. Nanosci. Nanotechnol. 2012, 12, 267–273. [Google Scholar] [CrossRef] [PubMed] [Green Version]
- Shen, L.; Li, B.; Qiao, Y. Fe3O4 Nanoparticle in Targeted Drug/Gene Delivery Systems. Materials 2018, 11, 324. [Google Scholar] [CrossRef] [PubMed] [Green Version]
- Prijic, S.; Sersa, G. Magnetic Nanoparticles as Targeted Delivery System in Oncology. Radiol. Oncol. 2011, 45, 1–16. [Google Scholar] [CrossRef] [PubMed] [Green Version]
- Wulandari, I.O.; Sulistyarti, H.; Safitri, A.; Santjojo, D.J.D.H.; Sabarudin, A. Development of Synthesis Method of Magnetic Nanoparticles Modified by Oleic Acid and Chitosan as a Candidate for Drug Delivery Agent. J. Appl. Pharm. Sci. 2019, 9, 001–011. [Google Scholar]
- Goya, G.F.; Morales, M.P. Field Dependence of Blocking Temperature in Magnetite Nanoparticles. J. Metastable Nanocrystalline Mater. 2004, 20–21, 673–678. [Google Scholar] [CrossRef] [Green Version]
- Saragi, T.; Sinaga, H.D.; Rahmi, F.; Pramesti, G.A.; Sugiarto, A.; Therigan, A.; Syakir, N.; Hidayat, S.; Risdiana. Blocking Temperature of Magnetite Nanoparticles Fe3O4 Encapsulated Silicon Dioxide SiO2. Key Eng. Mater. 2020, 855, 172–176. [Google Scholar] [CrossRef]
- Hira, U.; Sher, F. Structural, Magnetic and High-Temperature Thermoelectric Properties of La0.4Bi0.4Ca0.2Mn1-xCoxO3 (0 ≤ x ≤ 0.3) Perovskites. J. Magn. Magn. Mater. 2018, 452, 64–72. [Google Scholar] [CrossRef]
- Weaver, J.B.; Kuehlert, E. Measurement of Magnetic Nanoparticle Relaxation Time. Med. Phys. 2012, 39, 2765–2770. [Google Scholar] [CrossRef] [Green Version]
- Wang, J.; Wu, W.; Zhao, F.; Zhao, G. Curie Temperature Reduction in SiO2-coated Ultrafine Fe3O4 Nanoparticles: Quantitative Agreement with a Finite-Size Scaling Law. Appl. Phys. Lett. 2011, 98, 083107. [Google Scholar] [CrossRef]
- Volkov, I.; Gudoshnikov, S.; Usov, N.; Volkov, A.; Moskvina, M.; Maresov, A.; Snigirev, O.; Tanaka, S. SQUID-Measurements of Relaxation Time of Fe3O4 Superparamagnetic Nanoparticle Assembles. J. Magn. Magn. Mater. 2006, 300, 294–297. [Google Scholar] [CrossRef]
- Spizzo, F.; Sgarbossa, P.; Sieni, E.; Semenzato, A.; Dughiero, F.; Forzan, M.; Bertani, R.; Bianco, L.D. Synthesis of Ferrofluids Made of Iron Oxide Nanoflowers: Interplay Between Carrier Fluid and Magnetic Properties. Nanomaterials 2017, 7, 373. [Google Scholar] [CrossRef] [PubMed] [Green Version]
- Del Bianco, L.; Lesci, I.G.; Fracasso, G.; Barucca, G.; Spizzo, F.; Tamisari, M.; Scotti, R.; Ciocca, L. Synthesis of Nanogranular Fe3O4/Biomimetic Hydroxyapatite for Potential Applications in Nanomedicine: Structural and Magnetic Characterization. Mater. Res. Express 2015, 2, 065002. [Google Scholar] [CrossRef]
- Del Bianco, L.; Fiorani, D.; Testa, A.M.; Bonetti, E.; Savini, L.; Signoretti, S. Magnetothermal Behavior of a Nanoscale Fe/Fe Oxide Granular System. Phys. Rev. B 2002, 66, 174418. [Google Scholar] [CrossRef]
- Saragi, T.; Permana, B.; Therigan, A.; Hidayat, S.; Syakir, N.; Risdiana. Physical Properties of Encapsulated Iron Oxide. Mater. Sci. Forum 2019, 966, 277–281. [Google Scholar] [CrossRef]
- Blundell, S. Magnetism in Condensed Matter; Oxford University Press: New York, NY, USA, 2001. [Google Scholar]
- Tang, Z.X.; Sorensen, C.M.; Klabunde, K.J. Size-Dependent Curie Temperature in Nanoscale MnFe2O4 Particles. Phys. Rev. Lett. 1991, 67, 3112. [Google Scholar] [CrossRef] [PubMed]
- Zatsiupa, A.A.; Bashkirov, L.A.; Troyanchuk, I.O.; Petrov, G.S.; Galyas, A.I.; Lobanovsky, L.S.; Truhanov, S.V. Magnetization, Magnetic Suceptibility, Effetive Magnetic Moment of Fe3+ ions in Bi25FeO39 Ferrite. J. Solid State Chem. 2014, 212, 147–150. [Google Scholar] [CrossRef]
- Osaci, M.; Abrudean, C.; Berdie, A. Relaxation Times in Magnetic Nanoparticle System and Memory Effects. Acta Phys. Pol. A 2007, 112, 1203–1212. [Google Scholar] [CrossRef]
- Balaev, D.A.; Semenov, S.V.; Dubrovskivy, A.A.; Yakushkin, S.S.; Kirillov, V.L.; Martyanov, O.N. Superparamagnetic Blocking of an Ensemble of Magnetite Nanoparticles upon Interparticle Interactions. J. Magn. Magn. Mater. 2017, 440, 199–202. [Google Scholar] [CrossRef] [Green Version]
- Krishnan, K.M. Biomedical Nanomagnetics: A Spin through Possibilities in Imaging, Diagnostics, and Therapy. IEEE Trans. Magn. 2010, 46, 2523–2558. [Google Scholar] [CrossRef] [PubMed] [Green Version]







| Sample | (emu.K.Oe/mol) | [16] | ||
|---|---|---|---|---|
| Fe3O4 | 4.2 ± 0.01 | 5.77 ± 0.11 | −349 ± 1.03 | 362.37 |
| Fe3O4-SiO2 | 81.3 ± 4.20 | 25.49 ± 2.05 | −2440 ± 126.05 | 25.99 |
| Sample | T (K) | |
|---|---|---|
| Fe3O4 | 10 | 7.10 ± 1.83 |
| Fe3O4 | 300 | 5.62 ± 0.49 |
| Fe3O4-SiO2 | 10 | 3.57 ± 0.67 |
Publisher’s Note: MDPI stays neutral with regard to jurisdictional claims in published maps and institutional affiliations. |
© 2022 by the authors. Licensee MDPI, Basel, Switzerland. This article is an open access article distributed under the terms and conditions of the Creative Commons Attribution (CC BY) license (https://creativecommons.org/licenses/by/4.0/).
Share and Cite
Saragi, T.; Permana, B.; Therigan, A.; Sinaga, H.D.; Maulana, T.; Risdiana, R. Study of Magnetic Properties and Relaxation Time of Nanoparticle Fe3O4-SiO2. Materials 2022, 15, 1573. https://doi.org/10.3390/ma15041573
Saragi T, Permana B, Therigan A, Sinaga HD, Maulana T, Risdiana R. Study of Magnetic Properties and Relaxation Time of Nanoparticle Fe3O4-SiO2. Materials. 2022; 15(4):1573. https://doi.org/10.3390/ma15041573
Chicago/Turabian StyleSaragi, Togar, Bayu Permana, Arnold Therigan, Hotmas D. Sinaga, Trisna Maulana, and Risdiana Risdiana. 2022. "Study of Magnetic Properties and Relaxation Time of Nanoparticle Fe3O4-SiO2" Materials 15, no. 4: 1573. https://doi.org/10.3390/ma15041573
APA StyleSaragi, T., Permana, B., Therigan, A., Sinaga, H. D., Maulana, T., & Risdiana, R. (2022). Study of Magnetic Properties and Relaxation Time of Nanoparticle Fe3O4-SiO2. Materials, 15(4), 1573. https://doi.org/10.3390/ma15041573

