Improving Self-Healing and Shrinkage Reduction of Cementitious Materials Using Water-Absorbing Polymer Microcapsules
Abstract
:1. Introduction
2. Materials and Methods
2.1. Materials
2.2. Specimens
2.2.1. Preparation of Microcapsules
2.2.2. Preparation of Mortar Specimens
2.3. Testing Methods
2.3.1. Three-Dimensional X-ray Computed Tomography (3D-XCT)
2.3.2. Fluidity of Paste
2.3.3. Compressive and Flexural Strength of Mortar
2.3.4. Autogenous Shrinkage of Mortar
2.3.5. Dry Shrinkage of Mortar
2.3.6. Self-Healing Performance
Impermeability Recovery of Self-Healing Mortar
Mechanical Recovery of Self-Healing Mortar
3. Results and Discussion
3.1. Volume Change of SAP Microcapsules in Hardened Paste
3.2. Effect of SAP Microcapsules on the Fluidity of Cement Paste
3.3. Effect of SAP Microcapsules on the Compressive and Flexural Strengths of Mortar
3.4. Effect of SAP Microcapsules on the Autogenous Shrinkage and Drying Shrinkage of Mortar
3.4.1. Effect of Microcapsules on Autogenous Shrinkage of Mortar
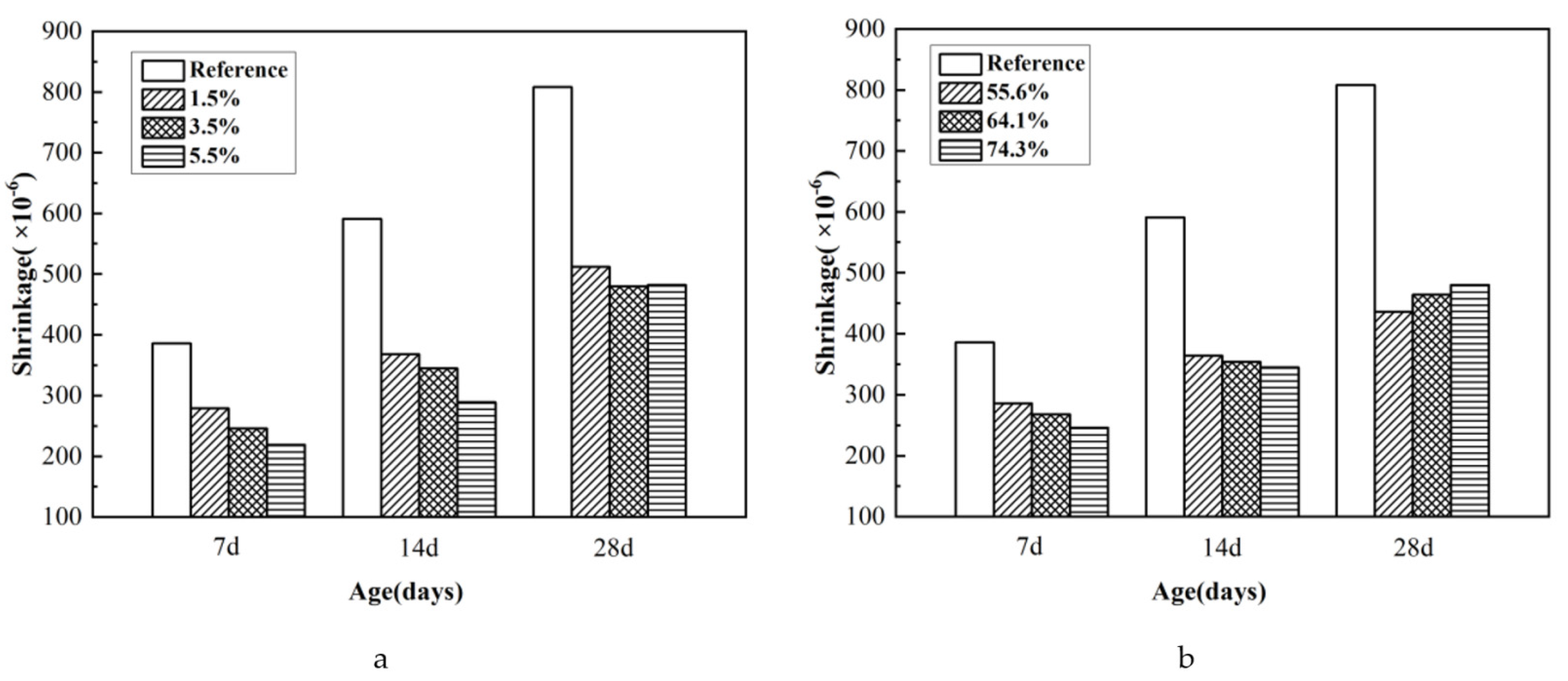
3.4.2. Effect of SAP Microcapsules on the Drying Shrinkage of Mortar
3.5. Self-Healing Effect of SAP Microcapsules
3.5.1. Impermeability Recovery of Self-Healing Mortar
3.5.2. Mechanical Recovery of Self-Healing Mortar
4. Conclusions
Author Contributions
Funding
Institutional Review Board Statement
Informed Consent Statement
Data Availability Statement
Conflicts of Interest
References
- Zhang, J.; Hou, D.W. Micromechanical modeling on autogenous and drying shrinkages of concrete. Constr. Build. Mater. 2012, 29, 230–240. [Google Scholar] [CrossRef]
- Seifan, M.; Samani, A.K. Bioconcrete:next generation of self-healing concrete. Appl. Microbiol. Biotechnol. 2016, 100, 2591–2602. [Google Scholar] [CrossRef] [PubMed] [Green Version]
- Patrick, J.F.; Robb, M.J.; Sottos, N.R.; Moore, J.S.; White, S.R. Polymers with autonomous life-cycle control. Nature 2016, 540, 363–370. [Google Scholar] [CrossRef] [PubMed]
- Sidiq, A.; Gravina, R.; Giustozzi, F. Is concrete healing really efficient? A review. Constr. Build. Mater. 2019, 250, 257–273. [Google Scholar] [CrossRef]
- van Tittelboom, K.; De Belie, N. Self-healing in cementitious materials—A review. Materials 2013, 6, 2182–2217. [Google Scholar] [CrossRef] [Green Version]
- White, S.R. Autonomic healing of polymer composites. Nature 2001, 409, 6822. [Google Scholar]
- Benoit, H.; Tittelboom, K.V.; Elke, G.; De Belie, N.; Loukili, A. Design of polymeric capsules for self-healing concrete. Cem. Concr. Compos. 2015, 55, 298–307. [Google Scholar] [CrossRef] [Green Version]
- Snoeck, D.; van Tittelboom, K.; Steuperaert, S.; Dubruel, P.; De Belie, N. Self-Healing Cementitious Materials by the Combination of Microfibres and Superabsorbent Polymers. Intell. Mater. Syst. Struct. 2014, 25, 13–24. [Google Scholar] [CrossRef] [Green Version]
- Mignon, A.; Snoeck, D.; Dubruel, P.; Vlierberghe, S.V.; Belie, N.D. Crack mitigation in concrete: Superabsorbent polymers as key to success? Materials 2017, 10, 237. [Google Scholar] [CrossRef] [Green Version]
- Jensen, O.M.; Hansen, P.F. Water-entrained cement-based materials: I. Principles and theoretical background. Cem. Concr. Res. 2001, 31, 647–654. [Google Scholar] [CrossRef]
- Li, L.; Dabarera, A.G.P.; Dao, V. Time-zero and deformational characteristics of high performance concrete with and without superabsorbent polymers at early ages. Constr. Build. Mater. 2020, 264, 120262. [Google Scholar] [CrossRef]
- Wang, P.J.; Chen, H.M.; Chen, P.Y.; Pan, J.; Xu, Y.H.; Wang, H.; Shen, W.F.; Cao, K. Effect of Internal Curing by Super Absorbent Polymer on the Autogenous Shrinkage of Alkali-Activated Slag Mortars. Materials 2020, 13, 4318. [Google Scholar] [CrossRef] [PubMed]
- Assmann, A.; Reinhardt, H.W. Tensile creep and shrinkage of SAP modified concrete. Cem. Concr. Res. 2014, 58, 179–185. [Google Scholar] [CrossRef]
- Kong, X.M.; Zhang, Z.L.; Lu, Z.C. Effect of pre-soaked superabsorbent polymer on shrinkage of high-strength concrete. Mater. Struct. 2015, 48, 2741–2758. [Google Scholar] [CrossRef]
- Liu, J.H.; Farzadnia, N.; Shi, C.J.; Ma, X.W. Effects of superabsorbent polymer on shrinkage properties of ultra-high strength concrete under drying condition. Constr. Build. Mater. 2019, 215, 799–811. [Google Scholar] [CrossRef]
- Yang, J.; Wang, F.Z. Pore structure of affected zone around saturated and large superabsorbent polymers in cement paste. Cem. Concr. Compos. 2019, 97, 54–67. [Google Scholar] [CrossRef]
- Hasholt, M.T.; Jensen, O.M. Chloride migration in concrete with superabsorbent polymers. Cem. Concr. Compos. 2015, 55, 290–297. [Google Scholar] [CrossRef] [Green Version]
- Laustsen, S.; Hasholt, M.T. Void structure of concrete with superabsorbent polymers and its relation to frost resistance of concrete. Mater. Struct. 2015, 48, 357–368. [Google Scholar] [CrossRef]
- Hong, G.; Song, C.; Choi, S. Autogenous Healing of Early-Age Cracks in Cementitious Materials by Superabsorbent Polymers. Materials 2020, 13, 690. [Google Scholar] [CrossRef] [Green Version]
- Hu, M.M.; Guo, J.T.; Du, J.B.; Liu, Z.X.; Li, P.P.; Ren, X.K.; Feng, Y.K. Development of Ca2+-based, ion-responsive superabsorbent hydrogel for cement applications: Self-healing and compressive strength. J. Comb. Chem. 2018, 538, 397–403. [Google Scholar] [CrossRef]
- Gwon, S.; Ahn, E.; Shin, M. Self-healing of modified sulfur composites with calcium sulfoaluminate cement and superabsorbent polymer. Compos. Part B 2019, 162, 469–483. [Google Scholar] [CrossRef]
- Wang, C.Y.; Bu, Y.H.; Guo, S.L.; Lu, Y.; Sun, B.J.; Shen, Z.H. Self-healing cement composite: Amine- and ammonium-based pH-sensitive superabsorbent polymers. Cem. Concr. Compos. 2018, 96, 154–162. [Google Scholar] [CrossRef]
- Lee, H.X.D.; Wong, H.S.; Buenfeld, N.R. Self-sealing of cracks in concrete using superabsorbent polymers. Cem. Concr. Res. 2016, 79, 194–208. [Google Scholar] [CrossRef] [Green Version]
- Ma, X.W.; Yuan, Q. Effect of water absorption of SAP on the rheological properties of cement-based materials with ultra-low w/b ratio. Constr. Build. Mater. 2019, 195, 66–74. [Google Scholar] [CrossRef]
- Schröfl, C.; Mechtcherine, V.; Gorges, M. Relation between the molecular structure and the efficiency of superabsorbent polymers (SAP) as concrete admixture to mitigate autogenous shrinkage. Cem. Concr. Res. 2012, 42, 865–873. [Google Scholar] [CrossRef]
- Sun, B.B.; Wu, H.; Song, W.M.; Li, Z.; Yu, J. Design methodology and mechanical properties of Superabsorbent Polymer (SAP) cement-based materials. Constr. Build. Mater. 2019, 204, 440–449. [Google Scholar] [CrossRef]
- Yan, P.Y.; Yu, C.X. Shrinkage-reducing measurement of high strength self-compacting concrete. J. Chin. Ceram. Soc. 2015, 43, 363–367. (In Chinese) [Google Scholar] [CrossRef]
- Snoeck, D.; Schaubroeck, D.; Dubruel, P.; De Belie, N. Effect of high amounts of superabsorbent polymers and additional water on the workability, microstructure and strength of mortars with a water-to-cement ratio of 0.50. Constr. Build. Mater. 2014, 72, 148–157. [Google Scholar] [CrossRef]
- Deng, H.W.; Liao, G.Y. Assessment of Influence of Self-healing Behavior on Water Permeability and Mechanical Performance of ECC Incorporating Superabsorbent Polymer (SAP) Particles. Constr. Build. Mater. 2018, 170, 455–465. [Google Scholar] [CrossRef]
- Mignon, A.; Vermeulen, J.; Snoeck, D.; Dubruel, P.; van Vlierberghe, S.; De Belie, N. Mechanical and self-healing properties of cementitious materials with pH-responsive semi-synthetic superabsorbent polymers. Mater. Struct. 2017, 50, 238–250. [Google Scholar] [CrossRef]
- Mignon, A.; Snoeck, D.; Schaubroeck, D.; Luickx, N.; Dubruel, P.; van Vlierberghe, S.; De Belie, N. PH-Responsive Superabsorbent Polymers: A Pathway to Self-healing of Mortar. React. Funct. Polym. 2015, 93, 68–76. [Google Scholar] [CrossRef]
- Pelto, J.; Leivo, M.; Gruyaert, E.; Debbaut, B.; Snoeck, D.; De Belie, N. Application of Encapsulated Superabsorbent Polymers in Cementitious Materials for Stimulated Autogenous Healing. Smart Mater. Struct. 2017, 26, 105043. [Google Scholar] [CrossRef]
- Li, V.C.; Herbert, E. Robust Self-Healing Concrete for Sustainable Infrastructure. ACT 2012, 10, 207–218. [Google Scholar] [CrossRef] [Green Version]
- Snoeck, D.; De Belie, N. Repeated Autogenous Healing in Strain-Hardening Cementitious Composites by Using Superabsorbent Polymers. J. Mater. Civ. Eng. 2016, 28, 04015086. [Google Scholar] [CrossRef] [Green Version]
- Mao, Q.J.; Wu, W.W.; Liang, P.; Wang, Z.M.; Cui, S.P. Self-healing effect of calcium alginate/epoxy microcapsules in cementitious materials. Mater. Rev. 2018, 32, 4016–4021. [Google Scholar] [CrossRef]
- Lura, P.; Jensen, O.M.; van Breugel, K. Autogenous shrinkage in high-performance cement paste: An evaluation of basic mechanisms. Cem. Concr. Res. 2003, 33, 223–232. [Google Scholar] [CrossRef]
- Ma, X.W.; Zhang, J.K.; Liu, J.H. Review on superabsorbent polymer as internal curing agent of high performance cement-based material. J. Chin. Ceram. Soc. 2015, 43, 1099–1110. (In Chinese) [Google Scholar] [CrossRef]
- Wang, X.F.; Yang, Z.H.; Fang, C.; Han, N.X.; Zhu, G.M.; Tang, J.N.; Xing, F. Evaluation of the mechanical performance recovery of self-healing cementitious materials-its methods and future development: A review. Constr. Build. Mater. 2019, 212, 400–421. [Google Scholar] [CrossRef]
Composition | SiO2 | Al2O3 | Fe2O3 | CaO | MgO | SO3 | Na2O | f-CaO |
---|---|---|---|---|---|---|---|---|
Content/% | 21.73 | 4.60 | 3.45 | 64.65 | 3.56 | 0.46 | 0.59 | 0.96 |
Composition | C3S | C2S | C3A | C4AF |
---|---|---|---|---|
Content/% | 56.62 | 19.58 | 6.36 | 10.49 |
Length of Square Hole/mm | 2.0 | 1.6 | 1.0 | 0.5 | 0.16 | 0.08 |
---|---|---|---|---|---|---|
Cumulative screening/% | 0 | 7 ± 5 | 33 ± 5 | 67 ± 5 | 87 ± 5 | 99 ± 1 |
Drug Name | Pure Degree | Manufacturer |
---|---|---|
Sodium alginate (SA) | Solid content is 99.9% | Tianjin Institute of Guangfu Fine Chemical Industry (Tianjin, China) |
Epoxy resin (E-51) | Solid content is 99.8% | Shanghai Aotun Huagong Technology Co., Ltd. (Shanghai, China) |
Cyclooxygen dilutions | - | Shanghai Aotun Huagong Technology Co., Ltd. (Shanghai, China) |
Sodium dodecyl phenyl sulfonate (SDBS) | AR | Tianjin Forchen Chemical Reagent Factory (Tianjin, China) |
Anhydrous calcium chloride (CaCl2) | Solid content is 96.0% | Tianjin Forchen Chemical Reagent Factory (Tianjin, China) |
Absolute ethyl alcohol | AR | Tianjin Damao Chemical Reagent Factory (Tianjin, China) |
Number | mE-51:mSA | Core Content/% | Water Absorption Rate/% |
---|---|---|---|
A | 3.5 | 55.6 | 37.8 |
B | 5.5 | 64.1 | 28.2 |
C | 7.5 | 74.3 | 24.0 |
Publisher’s Note: MDPI stays neutral with regard to jurisdictional claims in published maps and institutional affiliations. |
© 2022 by the authors. Licensee MDPI, Basel, Switzerland. This article is an open access article distributed under the terms and conditions of the Creative Commons Attribution (CC BY) license (https://creativecommons.org/licenses/by/4.0/).
Share and Cite
Mao, Q.; Chen, J.; Qi, W.; Liu, H.; Wang, Z.; Cui, S. Improving Self-Healing and Shrinkage Reduction of Cementitious Materials Using Water-Absorbing Polymer Microcapsules. Materials 2022, 15, 847. https://doi.org/10.3390/ma15030847
Mao Q, Chen J, Qi W, Liu H, Wang Z, Cui S. Improving Self-Healing and Shrinkage Reduction of Cementitious Materials Using Water-Absorbing Polymer Microcapsules. Materials. 2022; 15(3):847. https://doi.org/10.3390/ma15030847
Chicago/Turabian StyleMao, Qianjin, Jiayi Chen, Wenjing Qi, Hui Liu, Ziming Wang, and Suping Cui. 2022. "Improving Self-Healing and Shrinkage Reduction of Cementitious Materials Using Water-Absorbing Polymer Microcapsules" Materials 15, no. 3: 847. https://doi.org/10.3390/ma15030847
APA StyleMao, Q., Chen, J., Qi, W., Liu, H., Wang, Z., & Cui, S. (2022). Improving Self-Healing and Shrinkage Reduction of Cementitious Materials Using Water-Absorbing Polymer Microcapsules. Materials, 15(3), 847. https://doi.org/10.3390/ma15030847