Structural, Optical and Mechanical Properties of Nanocrystalline Molybdenum Thin Films Deposited under Variable Substrate Temperature
Abstract
:1. Introduction
2. Experimental Details
2.1. Fabrication
2.2. Characterization
2.2.1. Ellipsometry
2.2.2. Grazing Incidence X-ray Diffraction (GIXRD)
2.2.3. Atomic Force Microscopy
2.2.4. Mechanical Properties
2.2.5. Scratch Testing
3. Results and Discussion
3.1. X-ray Diffraction—Crystal Structure and Phase
3.2. Surface Morphology and Electrical Conduction—Atomic Force Microscopy
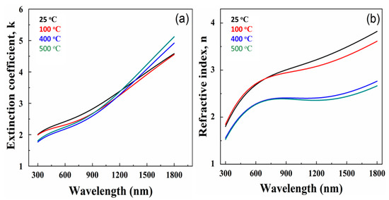
3.3. Optical Properties—Ellipsometry
3.4. Mechanical Properties—Nanoindentation and Nanostratch
4. Conclusions
Author Contributions
Funding
Institutional Review Board Statement
Informed Consent Statement
Data Availability Statement
Conflicts of Interest
References
- Akcay, N.; Sonmez, N.A.; Zaretskaya, E.; Ozcelik, S. Influence of deposition pressure and power on characteristics of RF-Sputtered Mo films and investigation of sodium diffusion in the films. Curr. Appl. Phys. 2018, 18, 491–499. [Google Scholar] [CrossRef]
- De Wolf, S.; Descoeudres, A.; Holman, Z.C.; Ballif, C. High-efficiency silicon heterojunction solar cells: A review. Green 2012, 2, 7–24. [Google Scholar] [CrossRef]
- Dhar, N.; Chelvanathan, P.; Zaman, M.; Sopian, K.; Amin, N. An investigation on structural and electrical properties of RF-sputtered molybdenum thin film deposited on different substrates. Energy Procedia 2013, 33, 186–197. [Google Scholar] [CrossRef] [Green Version]
- Jubault, M.; Ribeaucourt, L.; Chassaing, E.; Renou, G.; Lincot, D.; Donsanti, F. Optimization of molybdenum thin films for electrodeposited CIGS solar cells. Sol. Energy Mater. Sol. Cells 2011, 95, S26–S31. [Google Scholar] [CrossRef]
- Li, Z.-H.; Cho, E.-S.; Kwon, S.J. Molybdenum thin film deposited by in-line DC magnetron sputtering as a back contact for Cu (In, Ga) Se2 solar cells. Appl. Surf. Sci. 2011, 257, 9682–9688. [Google Scholar] [CrossRef]
- Battu, A.; Zade, V.; Deemer, E.; Ramana, C.V. Microstructure-Mechanical Property Correlation in Size Controlled Nanocrystalline Molybdenum Films. Adv. Eng. Mater. 2018, 20, 18004962018. [Google Scholar] [CrossRef]
- Battu, A.; Manandhar, S.; Ramana, C.V. Molybdenum incorporation induced enhancement in the mechanical properties of gallium oxide films. Adv. Mater. Interfaces 2017, 4, 17003782017. [Google Scholar] [CrossRef]
- Huang, L.; Lu, J.; Troyon, M. Nanomechanical properties of nanostructured titanium prepared by SMAT. Surf. Coat. Technol. 2006, 201, 2082006. [Google Scholar] [CrossRef]
- Lowry, M.B.; Kiener, D.; LeBlanc, M.M.; Chisholm, C.J.; Florando, N.; Morris, J.W.; Minor, A.M. Achieving the ideal strength in annealed molybdenum nanopillars. Acta Mater. 2010, 58, 51602010. [Google Scholar] [CrossRef]
- Pharr, G.M.; Oliver, W.C. Measurement of hardness and elastic modulus by instrumented indentation: Advances in understanding and refinements to methodology. J. Mater. Res. 2004, 19, 3–20. [Google Scholar]
- Nix, W.D. Mechanical properties of thin films. Metall. Trans. A 1989, 20, 2217–2245. [Google Scholar] [CrossRef]
- Tjong, S.C.; Chen, H. Nanocrystalline materials and coatings. Mater. Sci. Eng. R 2004, 45, 1–88. [Google Scholar] [CrossRef]
- Meyers, M.A.; Mishra, A.; Benson, D.J. Mechanical properties of nanocrystalline materials. Prog. Mater. Sci. 2006, 51, 427. [Google Scholar] [CrossRef]
- Frederiksen, S.L.; Jacobsen, K.W.; Schiøtz, J. Simulations of intergranular fracture in nanocrystalline molybdenum. J. Acta Mater. 2004, 52, 5019. [Google Scholar] [CrossRef]
- Eliash, T.; Kazakevich, M.; Semenov, V.N.; Rabkin, E. Nanohardness of molybdenum in the vicinity of grain boundaries and triple junctions. Acta Mater. 2008, 56, 5640–5652. [Google Scholar] [CrossRef]
- Hall, E. The deformation and ageing of mild steel: III discussion of results. Proc. Phys. Soc. B 1951, 64, 747. [Google Scholar] [CrossRef]
- Moutinho, H.R.; Johnston, S.; To, B.; Jiang, C.-S.; Xiao, C.; Hacke, P.; Moseley, J.; Tynan, J.; Dhere, N.; Al-Jassim, M. Development of coring procedures applied to Si, CdTe, and CIGS solar panels. Sol. Energy 2018, 161, 235–241. [Google Scholar] [CrossRef]
- Scofield, J.H.; Duda, A.; Albin, D.; Ballard, B.; Predecki, P. Sputtered molybdenum bilayer back contact for copper indium diselenide-based polycrystalline thin-film solar cells. Thin Solid Film. 1995, 260, 26–31. [Google Scholar] [CrossRef]
- Yoon, J.-H.; Cho, S.; Kim, W.M.; Park, J.-K.; Baik, Y.-J.; Lee, T.S.; Seong, T.-Y.; Jeong, J.-h. Optical analysis of the microstructure of a Mo back contact for Cu (In, Ga) Se2 solar cells and its effects on Mo film properties and Na diffusivity. Sol. Energy Mater. Sol. Cells 2011, 95, 2959–2964. [Google Scholar] [CrossRef]
- Yoon, J.-H.; Yoon, K.-H.; Kim, W.M.; Park, J.-K.; Baik, Y.-J.; Seong, T.-Y.; Jeong, J.-h. High-temperature stability of molybdenum (Mo) back contacts for CIGS solar cells: A route towards more robust back contacts. J. Phys. D Appl. Phys. 2011, 44, 425302. [Google Scholar] [CrossRef]
- Hoffman, D.W.; Thornton, J.A. Internal stresses in Cr, Mo, Ta, and Pt films deposited by sputtering from a planar magnetron source. J. Vac. Sci. Technol. 1982, 20, 355–358. [Google Scholar] [CrossRef]
- Khatri, H.; Marsillac, S. The effect of deposition parameters on radiofrequency sputtered molybdenum thin films. J. Phys. Condens. Matter 2008, 20, 055206. [Google Scholar] [CrossRef]
- Scragg, J.J.; Watjen, J.T.; Edoff, M.; Ericson, T.; Kubart, T.; Platzer-Björkman, C. A Detrimental Reaction at the Molybdenum Back Contact in Cu2ZnSn(S,Se)4 Thin-Film Solar Cells. Thin-Film Sol. Cells 2012, 134, 19330–19333. [Google Scholar] [CrossRef] [PubMed]
- Zoppi, G.; Beattie, N.S.; Major, J.D.; Miles, R.W.; Forbes, I. Electrical, morphological and structural properties of RF magnetron sputtered Mo thin films for application in thin film photovoltaic solar cells. J. Mater. Sci. 2011, 46, 4913–4921. [Google Scholar] [CrossRef]
- Bartolome, J.; Dıaz, M.; Requena, J.; Moya, J.; Tomsia, A. Mullite/molybdenum ceramic–metal composites. Acta Mater. 1999, 47, 3891–3899. [Google Scholar] [CrossRef]
- Cha, J.-H.; Ashok, K.; Kissinger, N.J.S.; Ra, Y.-H.; Sim, J.-K.; Kim, J.-S.; Lee, C.-R. Effect of Thermal Annealing on the Structure, Morphology, and Electrical Properties of Mo Bottom Electrodes for Solar Cell Applications. J. Korean Phys. Soc. 2011, 59, 2280–2285. [Google Scholar] [CrossRef]
- Dubey, P.G.; Gomez, J.; Manandhar, S.; Shutthanandan, V.; Ramana, C.V. Microstructure tuning facilitated photo-efficiency enhancement and environmental benign nature of HfO2/Mo/HfO2 multilayer films. Sol. Energy 2018, 166, 146–158. [Google Scholar] [CrossRef]
- Harsha, K.S. Principles of Vapor Ddeposition of Thin Films, 1st ed.; Elsevier: San Diego, CA, USA, 2006. [Google Scholar]
- Martinez, G.; Ramana, C.V. Microstructure, mechanical and electrical properties of nanocrystalline W-Mo thin films. AIP Adv. 2017, 7, 125201. [Google Scholar] [CrossRef] [Green Version]
- Tran, R.; Xu, Z.; Zhou, N.; Radhakrishnan, B.; Luo, J.; Ong, S.P. Computational study of metallic dopant segregation and embrittlement at molybdenum grain boundaries. Acta Mater. 2016, 117, 91–99. [Google Scholar] [CrossRef] [Green Version]
- Wada, T.; Kohara, N.; Nishiwaki, S.; Negami, T. Characterization of the Cu (In, Ga) Se2/Mo interface in CIGS solar cells. Thin Solid Film. 2001, 387, 118–122. [Google Scholar] [CrossRef]
- Bommersbach, P.; Arzel, L.; Tomassini, M.; Gautron, E.; Leyder, C.; Urien, M.; Dupuy, D.; Barreau, N. Influence of Mo back contact porosity on co-evaporated Cu(In,Ga)Se2 thin film properties and related solar cell. Prog. Photovolt. Res. Appl. 2013, 21, 332–343. [Google Scholar] [CrossRef]
- Fernández-González, D.; Ruiz-Bustinza, Í.; González-Gasca, C.; Noval, J.P.; Sancho-Gorostiaga, J.; Mochón-Castaños, J.; Verdeja, L.F. Concentrated solar energy applications in materials science and metallurgy. Sol. Energy 2018, 170, 520–540. [Google Scholar]
- Li, W.; Yan, X.; Xu, W.-L.; Long, J.; Aberle, A.G.; Venkatara, S. Efficiency improvement of CIGS solar cells by a modified rear contact. Sol. Energy 2017, 157, 486–495. [Google Scholar] [CrossRef]
- Theelen, M.; Daume, F. Stability of Cu (In, Ga) Se2 solar cells: A literature review. Sol. Energy 2016, 133, 586–627. [Google Scholar] [CrossRef]
- Miyoshi, K. Solid Lubrication Fundamentals and Applications; CRC Press: Boca Raton, FL, USA, 2019. [Google Scholar]
- Dresel, W. Lubricants and Lubrication; John Wiley & Sons: Seiten, Germany, 2007. [Google Scholar]
- Donnet, C.; Erdemir, A. Solid lubricant coatings: Recent developments and future trends. Tribol. Lett. 2004, 17, 389. [Google Scholar] [CrossRef]
- Wang, S.; Hsu, C.; Shiou, F.; Huang, P.; Wen, D. Properties of the Mo back contact for the formation of a thin-film photovoltaic absorber. J. Electron. Mater. 2013, 42, 71. [Google Scholar] [CrossRef]
- Dai, X.; Zhou, A.; Feng, L.; Wang, Y.; Xu, J.; Li, J. Molybdenum thin films with low resistivity and superior adhesion deposited by radio-frequency magnetron sputtering at elevated temperature. Thin Solid Film. 2014, 567, 64. [Google Scholar] [CrossRef]
- Woollam, J. Guide to Using WVASE32 Spectroscopic Ellipsomtry Data Acquisition and Analysis Software; JA Woollam Co.: Linkon, NE, USA, 2005. [Google Scholar]
- Battu, A.K.; Makeswaran, N.; Ramana, C.V. Fabrication, characterization and optimization of high conductivity and high quality nanocrystalline molybdenum thin films. J. Mater. Sci. Tech. 2018, 35, 2734–2741. [Google Scholar] [CrossRef]
- Langereis, E.; Heil, S.B.S.; van de Sanden, M.C.M.; Kessels, W.M.M. In situ spectroscopic ellipsometry study on the growth of ultrathin TiN films by plasma-assisted atomic layer deposition. J. App. Phys 2006, 100, 2. [Google Scholar] [CrossRef] [Green Version]
- Cullity, B. Elements of X-ray Diffraction; Addison-Wesley Publishing: Boston, MA, USA, 1956. [Google Scholar]
- De Oliveira, R.; Albuquerque, D.; Cruz, T.; Yamaji, F.; Leite, F. Atomic Force Microscopy; Bellito, V., Ed.; InTech Open Book Series: Rijeka, Croatia, 2012. [Google Scholar]
- Oliver, W.C.; Pharr, G.M. An improved technique for determining hardness and elastic modulus using load and displacement sensing indentation experiments. J. Mater. Res. 1992, 7, 156. [Google Scholar] [CrossRef]
- Bushan, B. 2 Surface Roughness Analysis and Measurement Techniques; CRC press: Boca Raton, FL, USA, 2001. [Google Scholar]
- Zhao, H.; Xie, J.; Mao, A.; Wang, A.; Chen, Y.; Liang, T.; Ma, D. Effects of heating mode and temperature on the microstructures, electrical and optical properties of molybdenum thin Films. Materials 2018, 11, 1634. [Google Scholar] [CrossRef] [PubMed] [Green Version]
- Tompkins, H.G.; Tasic, S.; Baker, J.; Convey, D. Spectroscopic ellipsometry measurements of thin metal films. Surf. Interface Anal. 2000, 29, 179–187. [Google Scholar] [CrossRef]
- Liu, C.; Erdmann, J.; Maj, J.; Macrander, A. Thickness determination of metal thin films with spectroscopic ellipsometry for X-ray mirror and multilayer applications. J. Vac. Sci. Technol. A 1999, 17, 2741–2748. [Google Scholar] [CrossRef]
- Walker, J.D.; Khatri, H.; Ranjan, V.; Li, J.; Collins, R.W.; Marsillac, S. Electronic and structural properties of molybdenum thin films as determined by real-time spectroscopic ellipsometry. Appl. Phys. Lett. 2009, 94, 141908. [Google Scholar] [CrossRef] [Green Version]
- Vargas, M.; Murphy, N.R.; Ramana, C.V. Structure and optical properties of nanocrystalline hafnium oxide thin films. Opt. Mater. 2014, 37, 621–628. [Google Scholar] [CrossRef]
- Makeswaran, N.; Battu, A.K.; Deemer, E.; Ramana, C.V. Crystal growth and structure-property optimization of thermally annealed nanocrystalline Ga2O3 films. Cryst. Growth Des. 2020, 20, 2893–2903. [Google Scholar] [CrossRef]
- Leyland, A.; Matthews, A. On the significance of the H/E ratio in wear control: A nanocomposite coating approach to optimised tribological behaviour. Wear 2000, 246, 1. [Google Scholar] [CrossRef]
- Rosenkranz, A.; Reinert, L.; Gachot, C.; Aboufadl, H.; Grandthyll, S.; Jacobs, K.; Müller, F.; Mücklich, F. Oxide formation, morphology, and nanohardness of laser-patterned steel surfaces. Adv. Eng. Mater. 2015, 17, 1234. [Google Scholar] [CrossRef]
- Jönsson, B.; Hogmark, S. Hardness measurements of thin films. Thin Solid Film. 1984, 114, 257. [Google Scholar] [CrossRef]
- Leyland, A.; Matthews, A. Design criteria for wear-resistant nanostructured and glassy-metal coatings. Surf. Coat. Technol. 2004, 317, 177–178. [Google Scholar] [CrossRef]
- Pande, C.S.; Cooper, K.P. Nanomechanics of Hall–Petch relationship in nanocrystalline materials. Prog. Mat. Sci. 2009, 54, 689–706. [Google Scholar] [CrossRef]
- Huang, Y.; Zhang, F.; Hwang, K.; Nix, W.; Pharr, G.; Feng, G. A model of size effects in nano-indentation. J. Mech. Phys. Solids 2006, 54, 1668. [Google Scholar] [CrossRef]
- Tang, Y.; Bringa, E.M.; Meyers, A. Inverse Hall–Petch relationship in nanocrystalline tantalum. Sci. Eng. A 2013, 580, 414. [Google Scholar] [CrossRef]
- Schuh, C.; Nieh, T.; Yamasaki, T. Hall–Petch breakdown manifested in abrasive wear resistance of nanocrystalline nickel. Scr. Mater. 2002, 46, 735. [Google Scholar] [CrossRef]
- Chang, S.-Y.; Chang, T.-K. Grain size effect on nanomechanical properties and deformation behavior of copper under nanoindentation test. J. Appl. Phys. 2007, 101, 033507. [Google Scholar] [CrossRef]
- Schuh, C.; Nieh, T.; Iwasaki, H. The effect of solid solution W additions on the mechanical properties of nanocrystalline Ni. Acta Mater. 2003, 51, 431. [Google Scholar] [CrossRef]











Publisher’s Note: MDPI stays neutral with regard to jurisdictional claims in published maps and institutional affiliations. |
© 2022 by the authors. Licensee MDPI, Basel, Switzerland. This article is an open access article distributed under the terms and conditions of the Creative Commons Attribution (CC BY) license (https://creativecommons.org/licenses/by/4.0/).
Share and Cite
Makeswaran, N.; Orozco, C.; Battu, A.K.; Deemer, E.; Ramana, C.V. Structural, Optical and Mechanical Properties of Nanocrystalline Molybdenum Thin Films Deposited under Variable Substrate Temperature. Materials 2022, 15, 754. https://doi.org/10.3390/ma15030754
Makeswaran N, Orozco C, Battu AK, Deemer E, Ramana CV. Structural, Optical and Mechanical Properties of Nanocrystalline Molybdenum Thin Films Deposited under Variable Substrate Temperature. Materials. 2022; 15(3):754. https://doi.org/10.3390/ma15030754
Chicago/Turabian StyleMakeswaran, Nanthakishore, Cristian Orozco, Anil K. Battu, Eva Deemer, and C. V. Ramana. 2022. "Structural, Optical and Mechanical Properties of Nanocrystalline Molybdenum Thin Films Deposited under Variable Substrate Temperature" Materials 15, no. 3: 754. https://doi.org/10.3390/ma15030754
APA StyleMakeswaran, N., Orozco, C., Battu, A. K., Deemer, E., & Ramana, C. V. (2022). Structural, Optical and Mechanical Properties of Nanocrystalline Molybdenum Thin Films Deposited under Variable Substrate Temperature. Materials, 15(3), 754. https://doi.org/10.3390/ma15030754

