Reliability Analysis of Concrete Beam with High-Strength Steel Reinforcement
Abstract
1. Introduction
2. Flexural Capacity Analysis of RC Beam with HSSR
2.1. Experimental Analysis
2.1.1. Details of Test Specimens
2.1.2. Materials
2.1.3. Experimental Results
2.2. Numerical Model
2.3. Prediction Model
2.4. Model Error of Prediction Model
3. Reliability Analysis and Discussion
3.1. Limit State Function and Reliability Theory
3.2. Statistical Characteristics of Design Parameters
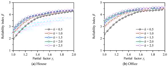
3.3. Reliability Analysis
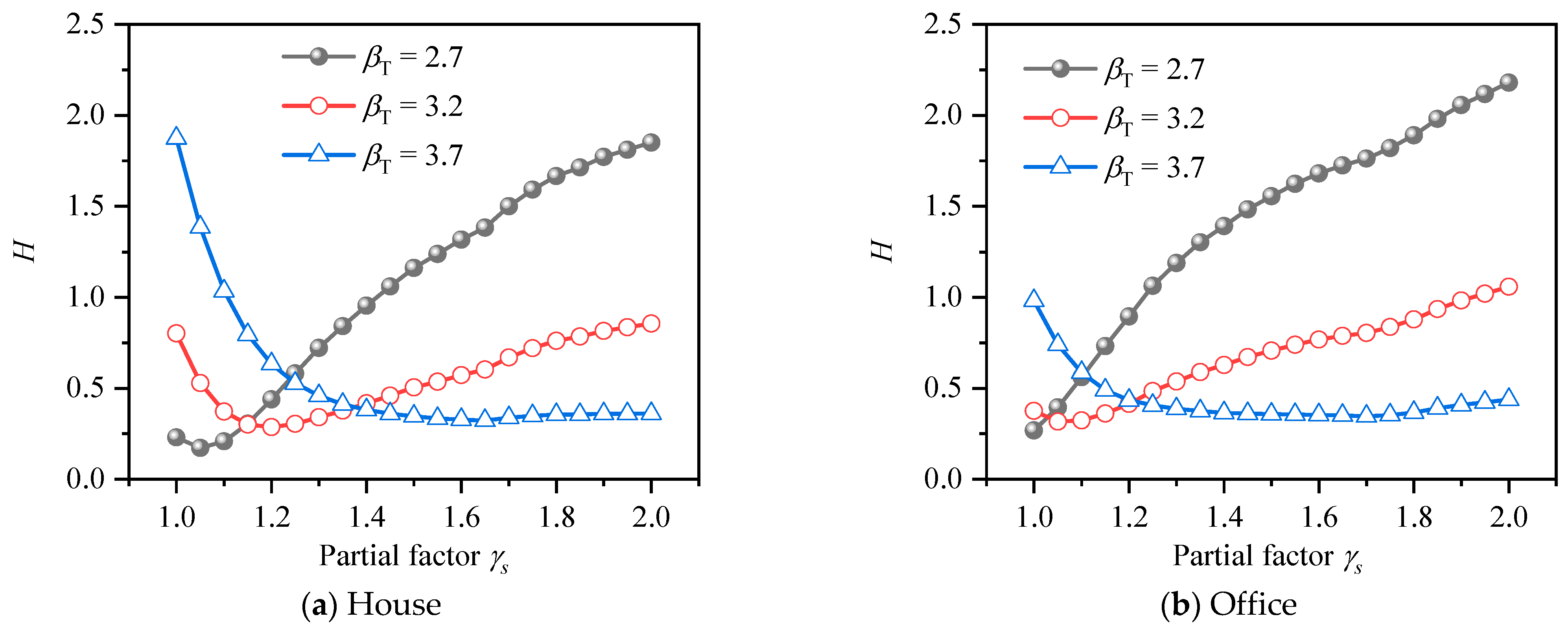
3.4. Optimal Value of Factor
3.4.1. Partial Safety Factor Format (PSFF)
3.4.2. Resistance Reduction Factor Format (RRFF)
4. Conclusions
- (1)
- The failure modes of proper HSSRCB were flexural ductility failure, and the existing bearing capacity strength design method in the specification could meet the bearing capacity calculation of HSSRCBs. Uncertainty existed in the prediction model, the discreteness of model error is not large, and model error does not obey the normal distribution.
- (2)
- The recommended values of partial safety factor of HRB500 material were less than the specification GB50010-2010 [19]. The recommended strength design value of HRB500 was 454 MPa, which is greater than that of 435 MPa in the specification, indicating that the specification value is conservative. The recommended strength design value of HRB600 was 545 MPa, which is not given in the specification.
- (3)
- The recommended value of bearing capacity resistance reduction factor was given, and the resistance reduction factors under different safety levels are different. Except for Level II, the resistance reduction factors of HSSRCB with HRB600 reinforcement are the same as those of HSSRCB with HRB500 reinforcement. The engineers can select the corresponding resistance reduction factor according to different structural safety levels.
- (4)
- The investigation can provide a reference for the design of HSSRCBs. However, because only the reliabilities of flexural bearing capacity of HSSRCB were calculated, resistance reduction factor of HSSRCB and strength design value of HSSR are only applicable to the design and verification of bending bearing capacity of HSSRCBs. Reliability research on more concrete members with HSSR will be carried out in the future.
Author Contributions
Funding
Institutional Review Board Statement
Informed Consent Statement
Data Availability Statement
Acknowledgments
Conflicts of Interest
Notations
| Symbol | Meaning |
| The constant coefficient | |
| The compression strength of concrete | |
| Width of section | |
| The height of compression zone | |
| The yield strength of reinforcement | |
| The area of reinforcement | |
| M | The flexural capacity of beam |
| ρs | Reinforcement ratio |
| Mu,exp | Experimental moment |
| Mu,pr | Prediction moment |
| The concrete stress | |
| The concrete strain | |
| The compressive strain when the stress just reaches fc | |
| The ultimate compressive strain | |
| The area of i-th steel reinforcement | |
| The stress of i-th steel reinforcement | |
| The location of i-th reinforcement | |
| ns | The number of steel reinforcement |
| The curvature of section | |
| L | The span of beam |
| The structural resistance | |
| The load effect | |
| Z | The limit state function |
| Model error | |
| The standard value of concrete strength | |
| The standard value of reinforcement strength | |
| The partial safety factor of concrete | |
| The partial safety factor of reinforcement | |
| The resistance reduction factor of bearing capacity | |
| The standard value of dead load | |
| The standard value of live load | |
| The partial safety factor of dead load | |
| The partial safety factor of live load | |
| The standard value resistance | |
| The failure probability | |
| The number of failure sample | |
| N | The number of MCS sample |
| β | Reliability index |
References
- Shahrooz, B.M.; Reis, J.M.; Wells, E.L.; Miller, R.A.; Harries, K.A.; Russell, H.G. Flexural Members with High-Strength Reinforcement: Behavior and Code Implications. J. Bridge Eng. 2014, 19, 04014003. [Google Scholar] [CrossRef]
- Harries, K.A.; Shahrooz, B.M.; Soltani, A. Flexural Crack Widths in Concrete Girders with High-Strength Reinforcement. J. Bridge Eng. 2012, 17, 804–812. [Google Scholar] [CrossRef]
- Li, Y.; Aoude, H. Influence of Steel Fibers on the Static and Blast Response of Beams Built with High-Strength Concrete and High-Strength Reinforcement. Eng. Struct. 2020, 221, 111031. [Google Scholar] [CrossRef]
- Liao, Z.; Tang, D.; Li, Z.; Xue, Y.; Shao, L. Study on Explosion Resistance Performance Experiment and Damage Assessment Model of High-Strength Reinforcement Concrete Beams. Int. J. Impact Eng. 2019, 133, 103362. [Google Scholar] [CrossRef]
- Zhao, J.; Liang, J.; Chu, L.; Shen, F. Experimental Study on Shear Behavior of Steel Fiber Reinforced Concrete Beams with High-Strength Reinforcement. Materials 2018, 11, 1682. [Google Scholar] [CrossRef]
- Deng, Z.; Huang, S.; Wang, Y.; Xue, H. Experimental Research on Fatigue Behavior of Prestressed Ultra-High Performance Concrete Beams with High-Strength Steel Bars. Structures 2022, 43, 1778–1789. [Google Scholar] [CrossRef]
- Zhang, P.; Xu, F.; Liu, Y.; Ahmed Sheikh, S. Shear Behaviour of Composite Beams with Permanent UHPC Formwork and High-Strength Steel Rebar. Constr. Build. Mater. 2022, 352, 128951. [Google Scholar] [CrossRef]
- Zhao, Y.-G.; Tong, M.-N.; Lu, Z.-H.; Xu, J. Monotonic Expression of Polynomial Normal Transformation Based on the First Four L-Moments. J. Eng. Mech. 2020, 146, 06020003. [Google Scholar] [CrossRef]
- Tong, M.-N.; Zhao, Y.-G.; Lu, Z.-H. Normal Transformation for Correlated Random Variables Based on L-Moments and Its Application in Reliability Engineering. Reliab. Eng. Syst. Saf. 2021, 207, 107334. [Google Scholar] [CrossRef]
- Zhang, X.-Y.; Lu, Z.-H.; Wu, S.-Y.; Zhao, Y.-G. An Efficient Method for Time-Variant Reliability Including Finite Element Analysis. Reliab. Eng. Syst. Saf. 2021, 210, 107534. [Google Scholar] [CrossRef]
- Chen, G.; Yang, D. Direct Probability Integral Method for Stochastic Response Analysis of Static and Dynamic Structural Systems. Comput. Methods Appl. Mech. Eng. 2019, 357, 112612. [Google Scholar] [CrossRef]
- Li, X.; Chen, G.; Cui, H.; Yang, D. Direct Probability Integral Method for Static and Dynamic Reliability Analysis of Structures with Complicated Performance Functions. Comput. Methods Appl. Mech. Eng. 2021, 374, 113583. [Google Scholar] [CrossRef]
- Chen, G.; Yang, D. A Unified Analysis Framework of Static and Dynamic Structural Reliabilities Based on Direct Probability Integral Method. Mech. Syst. Signal Process. 2021, 158, 107783. [Google Scholar] [CrossRef]
- Zhou, Y.; Zhang, J.; Li, W.; Hu, B.; Huang, X. Reliability-Based Design Analysis of FRP Shear Strengthened Reinforced Concrete Beams Considering Different FRP Configurations. Compos. Struct. 2020, 237, 111957. [Google Scholar] [CrossRef]
- Zhang, W.; Liu, X.; Huang, Y.; Tong, M.-N. Reliability-Based Analysis of the Flexural Strength of Concrete Beams Reinforced with Hybrid BFRP and Steel Rebars. Archiv. Civ. Mech. Eng. 2022, 22, 171. [Google Scholar] [CrossRef]
- Wakjira, T.G.; Ibrahim, M.; Ebead, U.; Alam, M.S. Explainable Machine Learning Model and Reliability Analysis for Flexural Capacity Prediction of RC Beams Strengthened in Flexure with FRCM. Eng. Struct. 2022, 255, 113903. [Google Scholar] [CrossRef]
- Wakjira, T.G.; Ebead, U.; Alam, M.S. Machine Learning-Based Shear Capacity Prediction and Reliability Analysis of Shear-Critical RC Beams Strengthened with Inorganic Composites. Case Stud. Constr. Mater. 2022, 16, e01008. [Google Scholar] [CrossRef]
- Shen, L.; Shen, Y.; Liang, S. Reliability Analysis of RC Slab-Column Joints under Punching Shear Load Using a Machine Learning-Based Surrogate Model. Buildings 2022, 12, 1750. [Google Scholar] [CrossRef]
- GB50010-2010; Code for Design of Concrete Structures. China Academy of Building Research. China Building Industry Press: Beijing, China, 2010. (In Chinese)
- Liu, Z.; Zeng, Z.; Liu, X.; Zhao, R. Analysis of Flexural Ductility of Reinforced Concrete Beams with 500 MPa Steel. J. Huaqiao Univ. (Nat. Sci.) 2020, 41, 434–438. (In Chinese) [Google Scholar]
- El-Sherif, H.; Wakjira, T.G.; Ebead, U. Flexural Strengthening of Reinforced Concrete Beams Using Hybrid Near-Surface Embedded/Externally Bonded Fabric-Reinforced Cementitious Matrix. Constr. Build. Mater. 2020, 238, 117748. [Google Scholar] [CrossRef]
- Melo, G.F.; de Torii, A.J.; Medeiros, E.M.; de Kzam, A.K.L. MATLAB Computational Routines for Moment-Curvature Relation of Reinforced Concrete Cross Sections. Rev. IBRACON Estrut. Mater. 2021, 14, e14202. [Google Scholar] [CrossRef]
- Fujikake, K.; Li, B.; Soeun, S. Impact Response of Reinforced Concrete Beam and Its Analytical Evaluation. J. Struct. Eng. 2009, 135, 938–950. [Google Scholar] [CrossRef]
- Liu, P. Experimental and Theoretical Research on Beams with HRB500 High Strength Steel Bars; Hebei University of Technology: Tianjing, China, 2012. (In Chinese) [Google Scholar]
- Li, Y. Experimental Research on Behaviors of Reinforced Concrete Beams with 500 mpa Steel Bars; Tianjing University: Tianjing, China, 2007. (In Chinese) [Google Scholar]
- Lu, R.; Luo, Y.; Conte, J.P. Reliability Evaluation of Reinforced Concrete Beams. Struct. Saf. 1994, 14, 277–298. [Google Scholar] [CrossRef]
- Ribeiro, S.E.C.; Diniz, S.M.C. Reliability-Based Design Recommendations for FRP-Reinforced Concrete Beams. Eng. Struct. 2013, 52, 273–283. [Google Scholar] [CrossRef]
- Galambos, T.; Ellingwood, B.; MacGregor, J.; Cornell, C. Probability Based Load Criteria: Assessment of Current Design Practice. J. Struct. Div. 1982, 108, 959–977. [Google Scholar] [CrossRef]
- GB 50068-2018; Unified Standard for Reliability Design of Building Structures. China Building Industry Press: Beijing, China, 2019. (In Chinese)
















| Specimen Number | Strength Grade of Concrete | Longitudinal Reinforcement | Reinforcement Ratio (%) |
|---|---|---|---|
| B1 | C50 | 2R25 | 0.982 |
| B2 | C50 | 3R25 | 1.473 |
| B3 | C70 | 2R25 | 0.982 |
| B4 | C70 | 3R25 | 1.473 |
| Diameter (mm) | Yield Strength (MPa) | Ultimate Strength (MPa) | |
|---|---|---|---|
| HRB500 | 25 | 540 | 675 |
| HRB400 | 10 | 446 | 586 |
| Cube Compressive Strength fcu,k (MPa) | Axial Compressive Strength fck (MPa) | |
|---|---|---|
| C50 | 53.81 | 34 |
| C70 | 72.73 | 46 |
| Specimen | Yield Moment (kN·m) | Yield Deflection (mm) | Ultimate Moment (kN·m) | Deflection Corresponding to Ultimate Load (mm) | Ultimate Deflection (mm) | Ductility Index | Failure Mode |
|---|---|---|---|---|---|---|---|
| B1 | 159 | 10.22 | 183 | 38 | 41.60 | 4.1 | Flexural ductile failure |
| B2 | 220 | 11.89 | 248 | 22 | 26.06 | 2.2 | Flexural ductile failure |
| B3 | 153 | 11.19 | 190 | 36 | 37.17 | 3.2 | Flexural ductile failure |
| B4 | 247 | 12.62 | 264 | 16 | 25.28 | 2.0 | Flexural ductile failure |
| No. | b (mm) | h (mm) | fck (MPa) | fy (MPa) | ρs (%) | Mu,exp (kN·m) | Mu,pre (kN·m) | Error (%) | Source |
|---|---|---|---|---|---|---|---|---|---|
| B1 | 250 | 400 | 34 | 540 | 0.98 | 183 | 176 | −3.8 | Experiment in paper |
| B2 | 250 | 400 | 34 | 540 | 1.47 | 248 | 256 | 3.2 | |
| B3 | 250 | 400 | 46 | 540 | 0.98 | 190 | 179 | −5.8 | |
| B4 | 250 | 400 | 46 | 540 | 1.47 | 264 | 263 | −0.4 | |
| L1 | 200 | 405 | 14.33 | 525 | 0.6 | 81.8 | 78.85 | −3.6 | Liu (2012) [24] |
| L2 | 204 | 400 | 14.33 | 550 | 0.8 | 122.08 | 102.5 | −16.0 | |
| L3 | 198 | 401 | 14.33 | 530 | 1.0 | 139.8 | 118.3 | −15.4 | |
| L4 | 201 | 402 | 14.33 | 505 | 1.3 | 160.76 | 137 | −14.8 | |
| LX1-A | 200 | 402 | 14.78 | 525 | 0.6 | 81.21 | 79 | −2.7 | |
| LX2-A | 199 | 401 | 14.78 | 550 | 0.8 | 116.33 | 103 | −11.5 | |
| LX3-A | 202 | 400 | 14.78 | 530 | 1.0 | 144 | 119 | −17.4 | |
| LX4-A | 201 | 403 | 14.78 | 505 | 1.3 | 167.55 | 138 | −17.6 | |
| LX1-B | 203 | 402 | 14.05 | 525 | 0.6 | 77.65 | 78 | 0.5 | |
| LX2-B | 200 | 401 | 14.05 | 550 | 0.8 | 112.67 | 102 | −9.5 | |
| LX3-B | 203 | 400 | 14.05 | 530 | 1.0 | 143.51 | 118 | −17.8 | |
| LX4-B | 202 | 401 | 14.05 | 505 | 1.3 | 162.33 | 136 | −16.2 | |
| LW1 | 204 | 400 | 27.3 | 567 | 0.8 | 109 | 114 | 4.6 | Li (2007) [25] |
| LW2 | 202 | 405 | 30 | 567 | 0.8 | 122 | 115 | −5.7 | |
| LW3 | 202 | 410 | 34.3 | 567 | 0.8 | 141 | 116 | −17.7 | |
| LW4 | 199 | 404 | 27.3 | 503 | 1.3 | 165 | 158 | −4.2 | |
| LW5 | 200 | 405 | 30 | 503 | 1.3 | 165 | 160 | −3.0 | |
| LW6 | 199 | 408 | 34.3 | 503 | 1.3 | 170 | 162 | −4.7 | |
| LW7 | 200 | 404 | 30 | 523 | 2.2 | 271 | 247 | −8.9 | |
| LW8 | 202 | 402 | 30 | 523 | 2.2 | 303 | 247 | −18.5 | |
| LW9 | 202 | 404 | 30 | 503 | 1.3 | 202 | 160 | −20.8 |
| Parameter | b (mm) | h (mm) | fck (MPa) | fy (MPa) | ρs (%) |
|---|---|---|---|---|---|
| Range of value | 200 to 250 | 400 to 500 | 20 to 35 | 500 and 600 | 0.4 to 1.0 |
| Item | Symbol | Value of PSFF | Value of RRFF |
|---|---|---|---|
| Dead load | 1.2 | 1.2 | |
| Live load | 1.6 | 1.4 |
| Random Variable | Bias | COV | Distribution | Source |
|---|---|---|---|---|
| Section width | 1 | 0.02 | Normal | Lu et al. [26] |
| Section height | 1 | 0.01 | Lognormal | Lu et al. [26] |
| Area of steel reinforcement | 1 | 0.03 | Normal | Lu et al. [26] |
| Strength of concrete | 1.15 | 0.15 | Lognormal | Ribeiro and Diniz [27] |
| Strength of HRB500 | 1.08 | 0.075 | Normal | Lu et al. [26] |
| Strength of HRB600 | 1.08 | 0.075 | Normal | Lu et al. [26] |
| Dead load (Equation (5)) | 1.05 | 0.10 | Normal | Galambos et al. [28] |
| Live load (Equation (5)) | 1.00 | 025 | Extreme type I | Galambos et al. [28] |
| Dead load (Equation (6)) | 1.06 | 0.075 | Normal | GB 50086 [29] |
| Live load (house) (Equation (6)) | 0.644 | 0.233 | Extreme type I | GB 50086 [29] |
| Live load (office) (Equation (6)) | 0.524 | 0.288 | Extreme type I | GB 50086 [29] |
| Variable | Unit | Range | Interval |
|---|---|---|---|
| b | mm | 150 to 300 | 50 mm |
| h | mm | 400 to 550 | 50 mm |
| ρs | % | 0.5 to 2.0 | 0.2% |
| fc | MPa | 16.7, 20.1, 23.4, 26.8 | - |
| fy | MPa | 500, 600 | - |
| b (mm) | h (mm) | ρs (%) | Grade of Concrete | Grade of Steel Reinforcement | k | ||
|---|---|---|---|---|---|---|---|
| Case I | 200 | 450 | 1.3 | C30 | HRB600 | 1.0 | 1.0 |
| Level I | Level II | Level III | |
|---|---|---|---|
| 3.7 | 3.2 | 2.7 |
| Type | Standard Value of Strength (MPa) | Partial Safety Factor (Design Value of Strength) | ||
|---|---|---|---|---|
| Level I | Level II | Level III | ||
| HRB500 | 500 | 1.55 (322 MPa) | 1.10 (454 MPa) | 1.05 (476 MPa) |
| HRB600 | 600 | 1.70 (353 MPa) | 1.10 (545 MPa) | 1.05 (571 MPa) |
| Type | Standard Value of Strength (MPa) | Recommendation for Design Strength (MPa) | Design Strength in GB50010-2010 [19] (MPa) |
|---|---|---|---|
| HRB500 | 500 | 454 | 435 |
| HRB600 | 600 | 545 | No value |
| Type | Standard Value of Strength (MPa) | Resistance Reduction Factor | ||
|---|---|---|---|---|
| Level I | Level II | Level III | ||
| HRB500 | 500 | 0.65 | 0.80 | 0.90 |
| HRB600 | 600 | 0.65 | 0.75 | 0.90 |
Publisher’s Note: MDPI stays neutral with regard to jurisdictional claims in published maps and institutional affiliations. |
© 2022 by the authors. Licensee MDPI, Basel, Switzerland. This article is an open access article distributed under the terms and conditions of the Creative Commons Attribution (CC BY) license (https://creativecommons.org/licenses/by/4.0/).
Share and Cite
Zhang, F.; Feng, F.; Liu, X. Reliability Analysis of Concrete Beam with High-Strength Steel Reinforcement. Materials 2022, 15, 8999. https://doi.org/10.3390/ma15248999
Zhang F, Feng F, Liu X. Reliability Analysis of Concrete Beam with High-Strength Steel Reinforcement. Materials. 2022; 15(24):8999. https://doi.org/10.3390/ma15248999
Chicago/Turabian StyleZhang, Feiyan, Fan Feng, and Xiang Liu. 2022. "Reliability Analysis of Concrete Beam with High-Strength Steel Reinforcement" Materials 15, no. 24: 8999. https://doi.org/10.3390/ma15248999
APA StyleZhang, F., Feng, F., & Liu, X. (2022). Reliability Analysis of Concrete Beam with High-Strength Steel Reinforcement. Materials, 15(24), 8999. https://doi.org/10.3390/ma15248999

