Abstract
Semiconductor-based composites are potential anodes for Li-ion batteries, owing to their high theoretical capacity and low cost. However, low stability induced by large volumetric change in cycling restricts the applications of such composites. Here, a hierarchical SnO2@Ni6MnO8 composite comprising Ni6MnO8 nanoflakes growing on the surface of a three-dimensional (3D) SnO2 is developed by a hydrothermal synthesis method, achieving good electrochemical performance as a Li-ion battery anode. The composite provides spaces to buffer volume expansion, its hierarchical profile benefits the fast transport of Li+ ions and electrons, and the Ni6MnO8 coating on SnO2 improves conductivity. Compared to SnO2, the Ni6MnO8 coating significantly enhances the discharge capacity and stability. The SnO2@Ni6MnO8 anode displays 1030 mAh g−1 at 0.1 A g−1 and exhibits 800 mAh g−1 under 0.5 A g−1, along with high Coulombic efficiency of 95%. Furthermore, stable rate performance can be achieved, indicating promising applications.
1. Introduction
Given the numerous applications of lithium-ion (Li-ion) batteries in our daily lives, the development of high-performance Li-ion batteries has attracted increasing attention, as they are important sources of clean and renewable energy. The demands of next-generation Li-ion batteries include sufficient energy density and improved safety and cycle life. However, at present, graphite anodes with a low theoretical capacity are dominant, restricting the development of emerging Li-ion batteries [1,2,3,4]. In addition, lithium dendrite formed under high current density is associated with safety problems. Therefore, commercial graphite anodes cannot satisfy current demands. In recent years, researchers have developed several promising anode materials with increased capacity and safety with potential to replace graphite to improve performance [5,6]. Many nanostructured anodes have been reported, such as metal oxides (e.g., MnO2, GeO2, Co3O4, Fe2O3, SnO2, etc.) [7,8,9,10] and alloying–dealloying mechanism-based anodes (e.g., Si, Si/SiC, Si/C/SiC, Si/Ge, etc.) [11,12,13], many of which exhibit satisfactory capacity and rate performance compared to graphite-based anodes, given their high theoretical capacities. The application of such anodes is still limited by defects, such as large volume change and poor conductivity [14,15,16,17,18,19,20,21].
SnO2 has been widely considered one of the most promising anodes among metal dioxides in recent years, owing to its abundance, environmental friendliness, and Li-ion storage performance. Nevertheless, its theoretical capacity (782 mAh g−1) and the volume change of SnO2 in lithiation/delithiation lead to a rapid decrease in capacity. The low conductivity of SnO2 also leads to poor rate performance and low capacity retention. Furthermore, large volume change leads to electrode pulverization [22,23,24]. Liu et al. reported a carbon-coating-layered SnO2 hollow sphere, which evenly coated SnO2 with a carbon nanolayer [25]. The hollow structure and carbon buffer layer improved the capacity significantly. Zhou et al. synthesized a hollow SnO2@C combining SnO2 with carbon. The hollow sphere ensured structural stability during long-term charge and discharge, exhibiting stability of 1628 mAh g−1 under 0.1 A g−1 [26]. Liu and colleagues reported a graphene-mesoporous SnO2 combining SnO2 with conductive graphene, which exhibited improved conductivity [27].
In addition, bimetal oxides such as CuCo2O4, ZnFe2O4, CoMn2O4, ZnCo2O4, and ZnMn2O4 exhibit satisfactory electronic conductivity and reversible capacity, which may be caused by the heterovalent cations and corresponding general redox reactions [28,29]. Zhang et al. prepared a yolk–shell CoMn2O4 microsphere using a carbon template with a solvothermal method [30]. The yolk–shell structures of CoMn2O4 microspheres buffered the volumetric change in Li+ insertion/extraction, thereby reducing electrochemical pulverization. CoMn2O4-based anode exhibited 1643 mAh g−1 at 0.1 A g−1. Ren et al. presented ZnCo2O4@reduced graphene oxide nanocomposites; ZnCo2O4 nanoparticles were anchored uniformly and compactly on reduced graphene oxide. High specific surface area and mesoporous structure provided a large contact area with an electrolyte and shortened the transferring pathway of the Li+ ions [31]. Chen et al. prepared a hollow panpipe-like ZnMn2O4 nanocomposite, which was conducive to the penetration of the electrolyte during the charge/discharge process [32]. However, the intercalation/deintercalation of Li+ in those composites would cause considerable volume change during cycling, resulting in serious agglomeration of the materials and the exfoliation of the electrode materials from the collector, rapidly reducing the performance. Engineering optimal structures to efficiently accommodate the volume change has become an important strategy to improve Li storage properties [33,34].
Here, we developed a hierarchical SnO2@Ni6MnO8 composite comprising Ni6MnO8 nanoflakes growing on the surface of a three-dimensional (3D) SnO2, as illustrated in Figure 1. The SnO2@Ni6MnO8 composite was prepared through a two-step hydrothermal method. After calcination, hollow SnO2 was formed, providing space for the penetration of electrolytes, benefitting Li+ ion diffusion and accommodating the volumetric change during cycling. The special structure and composition of composites have rarely been reported. Composite-based anodes achieve positive electrochemical performance. The capacity remains 1030 mAh g−1 after cycling 50 times under 0.1 A g−1 and 800 mAh g−1 under 0.5 A g−1, in addition to high Coulombic efficiency exceeding 95% and recoverable rate performance.
Figure 1.
Preparation of a hierarchical SnO2@Ni6MnO8 composite.
2. Experimental
2.1. Preparation of 3D SnO2/C Precursor
First, 20 mmol sucrose was dissolved in 40 mL of deionized water. Then, 10 mmol SnCl4·5H2O (Aladdin Co. Ltd., Beijing, China) was added to the solution with continuous stirring. After complete dissolution, it was transferred into a PTFE-lined stainless-steel reactor and reacted at 180 °C for 6 h. Then, the obtained precipitate was washed with water and ethanol alternately by centrifugation, then dried in an oven.
2.2. Preparation of SnO2@Ni6MnO8 Composite
An amount of 0.1 g of the SnO2/C precursor was ultrasonically dispersed in 40 mL of deionized water. Then, 300 mg of Ni(NO3)2·6H2O, 530 mg of Mn(NO3)2·4H2O, 140 mg of hexamethylenetetramine, and 29 mg of trisodium citrate dihydrate were subsequently added into the above solution under ultrasonic treatment. The solution was placed in the reactor at 140 °C for 6 h. Then, it was taken out and cooled. The sample was washed and dried at 60 °C and annealed at 500 °C for 1 h in air with a heating rate of 5 °C per min.
2.3. Characterization
The samples were characterized on a Bruker D8 X-ray diffractometer (XRD), a Hitachi HT-7700 transmission electron microscope (TEM), an S-8100 scanning electron microscope (SEM), a MICROMERITICS ASAP 2460 Brunauer–Emmett–Teller (BET) instrument, and an ESCALAB 250 X-ray photoelectron spectroscope (XPS).
2.4. Electrochemical Measurement
A coin cell system was used to measure electrochemical performance. First, 3D SnO2@Ni6MnO8, carbon black, and carboxymethyl cellulose were mixed (mass ratio = 8:1:1) and coated on Cu foil. After drying at 60 °C in a vacuum overnight, the sample was cut into small discs. 2032-typed cells were assembled by using a glove box (Mikrouna, Super 1220/750/900). Li foil was used as the counter electrode, and the Celgard polypropylene film was used as a separator. Electrolytes contained 1 M LiPF6 in ethyl carbonate and diethyl carbonate (volume ratio = 1:1). Galvanostatic charge–discharge was tested on a measuring system (Netware, CT-4008).
3. Results and Discussion
Figure 2a,b displays the SEM images of the 3D SnO2/C precursor, which exhibits a coral-like structure with a diameter of 400–500 nm. The XRD pattern of SnO2/C precursor is presented in Figure 2c. Four diffraction peaks were detected at 26.6°, 33.9°, 51.8°, and 65.9°, corresponding to the (110), (101), (211), and (301) planes of tetragonal SnO2 (JCPDS card #41–1445), respectively [35,36]. Figure 2d,e show the SnO2@Ni6MnO8 after in situ growth of Ni6MnO8 on SnO2/C precursor. The surface of SnO2/C is completely coated by dense Ni6MnO8 nanoflakes. The 3D profile is well-maintained, indicating a robust structure.

Figure 2.
(a,b) SEM images and (c) XRD pattern of SnO2/C precursor. SEM images of SnO2@Ni6MnO8 precursor (d,e) before and (f,g) after annealing. (h) TEM image of the Ni6MnO8 nanoflakes on the surface of SnO2. (i) XRD pattern of the SnO2@Ni6MnO8 composite.
Figure 2f,g are SEM images of SnO2@Ni6MnO8 calcined at 500 °C. The morphology remains unchanged compared to that before heat treatment. Dense nanoflakes are coated on the surface without breaking. Figure 2h shows a TEM image of the composite. Because the tubular structure is covered by thick and dense nanoflakes, it is difficult to observe the SnO2 inside. The TEM image shows thin nanoflakes, which are beneficial in terms of providing large active sites for reaction with Li+ ions in Li-ion batteries. The XRD pattern of SnO2@Ni6MnO8 is displayed in Figure 2i. Compared with the diffraction profile shown in Figure 2c, diffraction peaks at 37.3°, 43.4°, and 63.1° are observed, corresponding to the (222), (004), and (044) planes of Ni6MnO8 (JCPDS card #49–1295), respectively, which verify a secondary growth. The BET measurements of SnO2@C and SnO2@Ni6MnO8 are shown in Figure 3. Owing to the coating of dense Ni6MnO8 nanoflakes, the BET surface area of SnO2@Ni6MnO8 is as high as 69.6 cm2 g−1 compared to SnO2@C (10.3 m2 g−1). The inserts show that pore distributions of SnO2@C and SnO2@Ni6MnO8 dominate at about 3 nm and 15 nm. The increased surface area and large pore volume promotes electrolyte penetration.
Figure 3.
N2 adsorption–desorption isothermal curves of (a) SnO2@C and (b) SnO2@Ni6MnO8. Insert shows each pore distribution.
An SEM image of SnO2@Ni6MnO8 and the elemental distribution are displayed in Figure 4. Sn, Ni, Mn, and O elements are evenly distributed throughout the composite. The EDS spectrum shown in Figure 4f confirms the presence of Sn, O, Mn, and Ni. The signal of Si is ascribed to the substrate used for measurement [37]. The profiles of Mn and Sn do not match well with the profile, which could be caused by the covering of signals by Ni and O, as has previously been reported in some surface-coated composites [38].
Figure 4.
(a) SEM and corresponding mapping images of (b) Ni, (c) Mn, (d) Sn, and (e) O. (f) EDS spectrum.
The XPS spectra of SnO2@Ni6MnO8 were measured. The coexistence of Mn, Ni, C, O, and Sn is verified by the XPS survey spectrum (Figure 5a). The XPS spectrum of C 1s (Figure 5b) is characterized by three peaks located at 284.4, 286.2, and 288.4 eV and indexed to C—C, O—C, and C═O groups, respectively [39]. The Ni 2p spectrum shows four peaks at 853.4, 861.5, 870.4, and 879.9 eV, corresponding to Ni2+ (Figure 5c). Figure 5d displays the Mn 2p peaks centered at 637.7 and 653.7eV, which are ascribed to Mn 2p3/2 and Mn 2p1/2, respectively. The Sn 3d spectrum (Figure 5e) verifies the existence of Sn 3d3/2 and Sn 3d5/2, confirming Sn4+ of SnO2 [27]. Some shifts of Sn elements occurred, which may be ascribed to the impact of the Ni6MnO8 coating on the surface of SnO2 [40]. In the O 1s spectrum (Figure 5f), 529.4 eV is associated with metal–oxygen bonds, whereas the other peaks are attributed to the lattice oxygen of Ni6MnO8 (530.9 eV) and surface-adsorbed oxygen (531.8 eV) [33,41,42]. Furthermore, the atomic percentages of Sn, Ni, Mn, and O are 1.46%, 0.99%, 1.72%, and 71.49%, respectively.
Figure 5.
XPS spectra of SnO2@Ni6MnO8 composite: (a) survey spectrum; (b) C 1s; (c) Ni 2p; (d) Mn 2p; (e) Sn 3d; and (f) O 1s.
The electrochemical properties of 3D SnO2@Ni6MnO8 nanocomposite and SnO2 were measured from 0.01 to 3.0 V. The cycling performance at a current density of 0.1 A g−1 is presented in Figure 6a. The SnO2@Ni6MnO8 anode shows a high specific capacity of 914 mAh g−1. After 50 cycles, the SnO2@Ni6MnO8 anode maintains a reversible capacity of 1030 mAh g−1, and its Coulombic efficiency exceeds 96%. The first-cycle capacity of SnO2 is 876 mAh g−1. However, the capacity decreases rapidly to 509 mAh g−1 after the 50th cycle, indicating that the Ni6MnO8 coating considerably enhances the capacity and stability. The slight increase in capacity is ascribed to the activation of the nanoscale composite. Figure 6b shows corresponding charge–discharge profiles of the SnO2@Ni6MnO8 anode. There are two plateaus on the discharge curves, which correspond to Li+ ion insertion in SnO2@Ni6MnO8. In the charging process, there are three plateaus at around 0.5–1.0 V, 1.2–2.0 V, and 2.0–3.0 V, which are assigned to Li+ ion extraction. Figure 6c shows the cycling performance at 0.5 A g−1. After cycling 50 times, the SnO2 anode shows a low capacity of 437 mAh g−1. In contrast, the capacity of SnO2@Ni6MnO8 is maintains as high as 800 mAh g−1, with a Coulombic efficiency of about 95%, indicating a sufficient reversibility. Figure 6d shows the cycling curves with a similar shape to those presented in Figure 6b, representing the same electrochemical behaviors at a relatively high current density. Compared to some other reported anodes, the SnO2@Ni6MnO8 anode exhibits a competitive performance, as shown in Table 1.
Figure 6.
(a) Cycling performance of 3D SnO2@Ni6MnO8 and SnO2 anodes under 0.1 A g−1. (b) Corresponding charge–discharge profiles of SnO2@Ni6MnO8. (c) Capacity and (d) charge–discharge profiles under 0.5 A g−1.
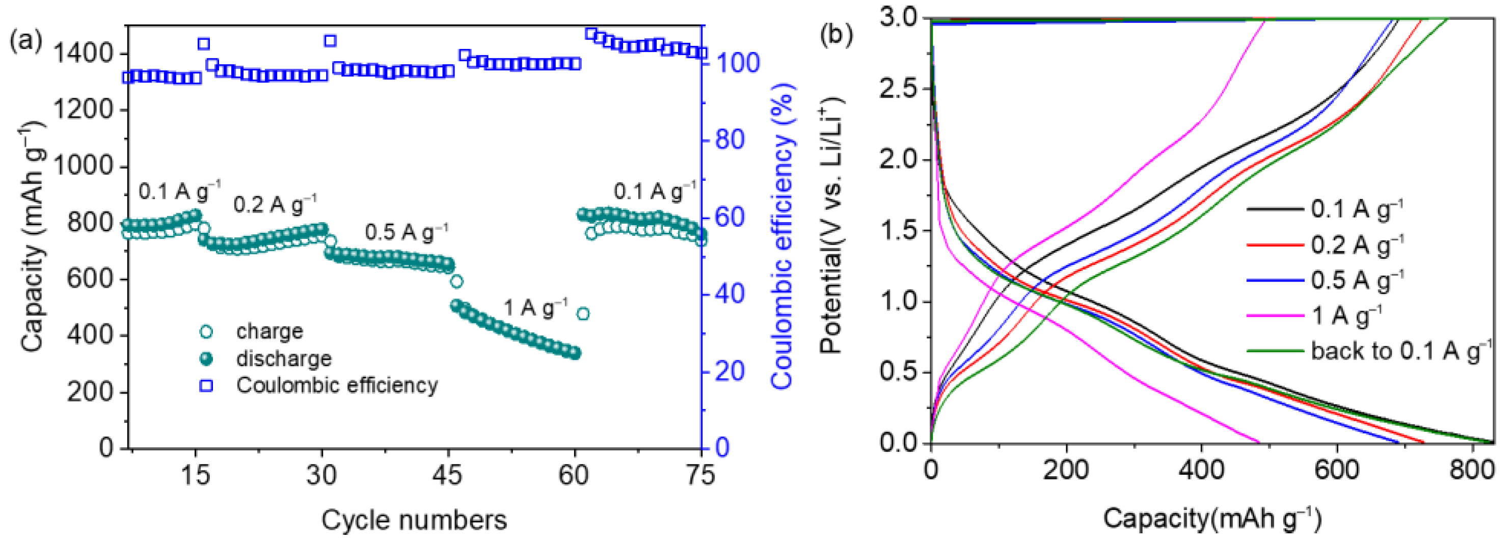
Figure 7a,b show the rate performance of the 3D SnO2@Ni6MnO8 nanocomposite. Figure 7a shows that the capacities are 819, 775, 655, and 339 mAh g−1 at 0.1, 0.2, 0.5, and 1.0 A g−1, respectively. Once the rate returns to 0.1 A g−1, the capacity recovers to 760 mAh g−1. The galvanostatic charge–discharge curve for each current density with a similar profile is shown in Figure 7b, indicating satisfactory reversibility. The excellent rate performance and cyclic reversibility of the SnO2@Ni6MnO8 composite are attributed to the hierarchical morphology with nanoflakes growing in situ on a 3D structure, which provides efficient space to alleviate the volumetric expansion and enable rapid transport of electrons and ions.
Figure 7.
(a) Rate performance of the SnO2@Ni6MnO8 anode. (b) Corresponding charge–discharge curves.
CV curves are shown in Figure 8. There are three peaks in the cathodic process at 0.34, 0.96, and 1.39 V, indicating Li+ ion insertion in the SnO2/Ni6MnO8 anode. In contrast, the peaks at 0.61, 1.38, and 2.31 V are assigned to the extraction of Li+, in accordance with the charge–discharge curves shown in Figure 6 and Figure 7. The Nyquist plots presented in Figure 9 show the charge transfer resistances for SnO2/Ni6MnO8 and SnO2/C anodes. The fitting values before and after cycling are about 130 and 200 Ω, respectively, indicating an improved conductivity after coating with Ni6MnO8. An interesting line of future research would be to obtain the diffusion coefficient through EIS spectra [43].
Figure 8.
Cyclic voltammetry (CV) curves for Na6MnO8 at a scanning rate of 0.1 mV g−1.
Figure 9.
Nyquist plots for the (a) SnO2/Ni6MnO8 and (b) SnO2/C anodes.
Table 1.
Comparison of electrochemical performance of SnO2 anodes.
Table 1.
Comparison of electrochemical performance of SnO2 anodes.
| Composite | Preparation Method | Cycling Rate (A g−1) | Cycle Number | Capacity (mAh g−1) | Ref. |
|---|---|---|---|---|---|
| SnO2@PANI | Electrochemical deposition | 0.1 | 50 | 440 | [44] |
| C@Sn–SnO2/CNT | Hydrothermal method and chemical vapor deposition | 0.5 | 100 | 733 | [45] |
| NiMoO4/SnO2/rGO | Hydrothermal method | 0.5 | 100 | 634 | [46] |
| SnO2@C-F | Balling method | 0.2 | 100 | 821 | [47] |
| RHPC/SnO2 | Melt–impregnation method | 0.1 | 50 | 550 | [48] |
| SnO2/EG | Solvothermal method | 0.5 | 500 | 262 | [49] |
| SnO2@C | Acid etching method | 0.1 | 150 | 745 | [50] |
| SnO2@C/MWCNTs-LiF | Spray-drying method | 0.1 | 100 | 483 | [51] |
| SnO2/GNP | Microwave irradiation | 0.1 | 100 | 745 | [52] |
| SnO2@C | Templated method | 0.2 | 100 | 786 | [53] |
| SnO2@SnS2 | Hydrothermal method | 0.1 | 50 | 328 | [54] |
| SnO2/TiO2 | Spray drying and calcination | 0.5 | 40 | 483 | [55] |
| SnO2@Ni6MnO8 | Hydrothermal method | 0.1 | 50 | 1030 | Thiswork |
| 0.5 | 50 | 800 |
4. Conclusions
In summary, a hierarchical SnO2@Ni6MnO8 composite was developed for a secondary battery anode with satisfactory Li-storage performance by the hydrothermal method. The presented approach is controllable and simple; however, we expect that a higher-yield preparation can be achieved in the future. The 3D structure provides a large space to buffer volumetric change during charge and discharge. The hierarchical surface shortens the transferring distance of Li+ ions and electrons, and the Ni6MnO8 coating on SnO2 improves conductivity. Compared to SnO2, the coating of Ni6MnO8 considerably enhances the discharge capacity and stability of the anode. The capacities of SnO2@Ni6MnO8 anodes remain 1030 and 800 mAh g−1 after 50 cycles at 0.1 and 0.5 A g−1, respectively, and the Coulombic efficiency continues to exceed 95%. Moreover, a high and reversible rate performance is also achieved. We believe that the 3D structure presented here and the high electrochemical performance opportunities to engineer emerging composites for secondary battery systems. However, potential challenges should also be considered in future investigations, such as extending the applicable materials, reducing the cost of reagents and steps during synthesis, avoiding the toxicity, etc.
Author Contributions
Conceptualization, J.L. (Jinyun Liu); methodology, J.L. (Jiying Li), J.L. (Jiawei Long), X.L. and B.S.; validation, J.L. (Jiying Li) and J.L. (Jiawei Long); formal analysis, J.L. (Jiying Li), J.L. (Jiawei Long), T.H., X.L., B.S., S.Z., J.L. (Jinjin Li) and J.L. (Jinyun Liu); writing—original draft preparation, J.L. (Jiying Li) and J.L. (Jiawei Long); writing—review and editing, T.H., S.Z., J.L. (Jinjin Li) and J.L. (Jinyun Liu); supervision, T.H., J.L. (Jinjin Li) and J.L. (Jinyun Liu). All authors have read and agreed to the published version of the manuscript.
Funding
This research was funded by the National Key Research and Development Program of China (2021YFC2100100), the Key Research and Development Program of Wuhu (2022YF53), and the Foundation of the Anhui Laboratory of Molecule-Based Materials (FZJ21012).
Institutional Review Board Statement
Not applicable.
Informed Consent Statement
Not applicable.
Data Availability Statement
Not applicable.
Conflicts of Interest
The authors declare no conflict of interest.
References
- Hu, Z.; Wang, M.; Yang, H.; Liang, C.; Yu, K. SnO2 nanosheets grow on sunflower shell carbon sphere used as anode material for high performance lithium-ion and potassium-ion batteries. Diam. Relat. Mater. 2022, 126, 109090. [Google Scholar] [CrossRef]
- Liu, Y.; Liu, X.; Zhang, X.; Miao, X.; Wang, Y.; Wang, P. A novel carbon microspheres@SnO2/reduced graphene composite as anode for lithium-ion batteries with superior cycle stability. Ceram. Int. 2022, 48, 18625–18634. [Google Scholar] [CrossRef]
- Lee, K.; Yoon, S.; Hong, S.; Kim, H.; Oh, K.; Moon, J. Al2O3-coated Si-alloy prepared by atomic layer deposition as anodes for lithium-ion batteries. Materials 2022, 15, 4189. [Google Scholar] [CrossRef]
- Shen, Z.; Zhou, Q.; Yu, H.; Tian, J.; Shi, M.; Hu, C.; Zhang, H. CoSe2/MoS2 heterostructures to couple polysulfide adsorption and catalysis in lithium-sulfur batteries. Chin. J. Chem. 2021, 39, 1138–1144. [Google Scholar] [CrossRef]
- Hou, Y.; Ma, S.; Xu, Y.; Zhang, S.; Hao, X.; Xu, B. Electrochemical performance of graphene oxide/black arsenic phosphorus/carbon nanotubes as anode material for LIBs. Materials 2022, 15, 4576. [Google Scholar] [CrossRef] [PubMed]
- Liang, T.; Hu, R.; Zhang, H.; Zhang, H.; Wang, H.; Ouyang, Y.; Liu, J.; Yang, L.; Zhuet, M. A scalable ternary SnO2–Co–C composite as a high initial coulombic efficiency, large capacity and long lifetime anode for Lithium ion batteries. J. Mater. Chem. A 2018, 6, 7206–7220. [Google Scholar] [CrossRef]
- Ji, C.; Wang, P.; Niu, X.; Li, Y.; Li, J. Cellulosic filter paper derived MoO3/TiO2 composites with variable micromorphologies as anode materials for Lithium storage. Colloids Surf. A 2022, 651, 129731. [Google Scholar] [CrossRef]
- Guo, Z.; Wu, S.; Xiong, D.; Ke, Y.; Ke, J.; Wu, K.; Sun, Y.; He, M.; Feng, Z. Preparation of SnO2-Nb-C composite by hydrothermal and ball milling processes for high-performance lithium-ion batteries. Chem. Phys. Lett. 2022, 796, 139292. [Google Scholar] [CrossRef]
- Du, F.; Li, S.; Yan, Y.; Lu, X.; Guo, C.; Ji, Z.; Hu, P.; Shen, X. Facile fabrication of Fe0.8Mn1.2O3 with various nanostructures for high-performance lithium-ion batteries. Chem. Eng. J. 2022, 427, 131697. [Google Scholar] [CrossRef]
- Han, Y.; Zheng, G.; Xu, Y.; Zhang, D. Hollow core–shell SnO2/C fibers as highly stable anodes for lithium-ion batteries. J. Electroanal. Chem. 2021, 898, 115652. [Google Scholar]
- Liang, J.; Fan, Z.; Chen, S.; Zheng, S.; Wang, Z. A novel three-dimensional cross-linked net structure of submicron Si as high-performance anode for LIBs. J. Alloys Compd. 2021, 860, 158433. [Google Scholar] [CrossRef]
- Huang, W.; Zhao, S.; Wang, J.; Xian, X. Fabrication of Si/TiC-SiC/C composites as high-performance anode materials for Li-ion batteries. J. Phys. Chem. Solids 2022, 171, 111019. [Google Scholar] [CrossRef]
- Chen, H.; Zheng, Y.; Wu, Q.; Zhou, W.; Wei, Q.; Wei, M. Dual-carbon materials coated Ge/Si composite for high performance lithium-ion batteries. Electrochim. Acta 2022, 417, 140337. [Google Scholar] [CrossRef]
- Tian, Q.; Zhang, F.; Zhang, W.; Li, Y. Non-smooth Carbon coating porous SnO2 quasi-nanocubes towards high Lithium storage. Electrochim. Acta 2019, 307, 393–402. [Google Scholar] [CrossRef]
- Yan, L.; Liu, J.; Wang, Q.; Sun, M.; Jiang, Z.; Liang, C.; Pan, F.; Lin, Z. In situ wrapping Si nanoparticles with 2D carbon nanosheets as high-areal-capacity anode for lithium-ion batteries. ACS Appl. Mater. Interfaces 2017, 44, 38159–38164. [Google Scholar] [CrossRef] [PubMed]
- Chan, C.; Zhang, X.; Cui, Y. High capacity Li ion battery anodes using Ge nanowires. Nano Lett. 2008, 1, 307–309. [Google Scholar] [CrossRef]
- Jiang, T.; Bu, F.; Feng, X.; Shakir, I.; Hao, G.; Xu, Y. Porous Fe2O3 nano frameworks encapsulated within three-dimensional graphene as high performance flflexible anode for lithium-ion battery. ACS Nano 2017, 5, 5140–5147. [Google Scholar] [CrossRef]
- Sarkar, S.; Borah, R.; Santhosha, A.; Dhanya, R.; Narayana, C.; Bhattacharyya, A.; Peter, S. Heterostructure composites of rGO/GeO2/PANI with enhanced performance for Li ion battery anode material. J. Power Sources 2016, 306, 791–800. [Google Scholar] [CrossRef]
- Ma, Z.; Zhao, T. Reduced graphene oxide anchored with MnO2 nanorods as anode for high rate and long cycle lithium ion batteries. Electrochim. Acta 2016, 201, 165–171. [Google Scholar] [CrossRef]
- Li, Z.; Liu, Q.; Liu, Y.; Yang, F.; Xin, L.; Zhou, Y.; Zhang, H.; Stanciu, L.; Xie, J. Facile preparation of graphene/SnO2 xerogel hybrids as the anode material in Li-ion batteries. ACS Appl. Mater. Interfaces 2015, 7, 27087–27095. [Google Scholar] [CrossRef]
- Huang, G.; Xu, S.; Lu, S.; Li, L.; Sun, H. Micro-/nanostructured Co3O4 anode with enhanced rate capability for lithium-ion batteries. ACS Appl. Mater. Interfaces 2014, 6, 723–7243. [Google Scholar] [CrossRef] [PubMed]
- Tian, F.; Cheng, Y.; Zhang, Y.; Zhao, Q.; Qian, S.; Zhang, Y. SnO2@C nanowires as high-performance anodic materials for lithium-ion batteries. Mater. Lett. 2021, 284, 129019. [Google Scholar] [CrossRef]
- Idota, Y.; Kubota, T.; Matsufuji, A.; Maekawa, Y.; Miyasaka, T. Tin-Based amorphous oxide: A High-Capacity Lithium-Ion-Storage material. Science 1997, 276, 1395–1397. [Google Scholar] [CrossRef]
- Noh, Y.; Kim, Y.; Han, H.; Jung, W.; Kim, J.; Kim, Y.; Kim, H.; Kim, B.; Kim, W. Enrichment of microbial community generating electricity using a fuel-cell-type electrochemical cell. ChemElectroChem 2019, 6, 2503–2509. [Google Scholar] [CrossRef]
- Liu, Q.; Dou, Y.; Ruan, B.; Sun, Z.; Chou, S.; Dou, S. Carbon-Coated hierarchical SnO2 hollow spheres for Lithium ion batteries. Chem. Eur. J. 2016, 22, 5853–5857. [Google Scholar] [CrossRef]
- Zhou, Y.; Ming, X.; Ren, L.; Liu, H.; Yi, X. Preparation and superior electrochemical performance of hollow SnO2@C composites as anode materials for high-performance Lithium ion batteries. Ionics 2020, 26, 5319–5324. [Google Scholar] [CrossRef]
- Liu, X.; Zhong, X.; Yang, Z.; Pan, F.; Gu, L.; Yu, Y. Gram-scale synthesis of graphene-mesoporous SnO2 composite as anode for lithium-ion batteries. Electrochim. Acta 2015, 152, 178–186. [Google Scholar] [CrossRef]
- Li, L.; Yao, Q.; Liu, J.; Ye, K.; Liu, B.; Liu, Z.; Yang, H.; Chen, Z.; Duan, J.; Zhang, B. Porous hollow superlattice NiMn2O4/NiCo2O4 mesocrystals as a highly reversible anode material for Lithium-Ion batteries. Front. Chem. 2018, 6, 153. [Google Scholar] [CrossRef]
- Kang, W.; Tang, Y.; Li, W.; Xue, H.; Yang, Q.; Lee, C. High interfacial storage capability of porous NiMn2O4/C hierarchical tremellalike nanostructures as the lithium ion battery anode. Nanoscale 2015, 7, 225–231. [Google Scholar] [CrossRef]
- Zhang, L.; Wang, Y.; Jiu, H.; Zheng, W.; Chang, J.; He, G. Controllable synthesis of spinel nano-CoMn2O4 via a solvothermal carbon templating method and its application in lithium ion batteries. Electrochim. Acta 2015, 182, 550–558. [Google Scholar] [CrossRef]
- Ren, H.; Wang, W.; Joo, S.; Sun, Y.; Gu, C. Preparation of ZnCo2O4@reduced graphene oxide nanocomposite for high-capacity Li-ion battery anodes. Mater. Res. Bull. 2019, 111, 34–42. [Google Scholar] [CrossRef]
- Chen, J.; Zuo, H.; Wang, C.; Zhang, Y.; Gao, W.; Zhao, N.; Huang, Y.; Xiao, S. Synthesis and electrochemical properties of ZnMn2O4 with hollow porous panpipe-like structure as anode material for Li-ion battery. Electrochim. Acta 2022, 426, 140780. [Google Scholar] [CrossRef]
- Zhao, S.; Li, H.; Jian, Z.; Xing, Y.; Zhang, S. Self-assembled hierarchical porous NiMn2O4 microspheres as high performance Li-ion battery anodes. RSC Adv. 2018, 8, 41749–41755. [Google Scholar] [CrossRef]
- Gu, Y.; Zhang, L.; Li, D.; Sheng, R.; Li, F.; Wang, L. A rapid in situ electrochemical transformation of the biphase Zn3(OH)2V2O7·2H2O/NH4V4O10 composite for high capacity and long cycling Life aqueous rechargeable Zinc ion batteries. CrystEngComm 2022, 24, 1285–1291. [Google Scholar] [CrossRef]
- Long, J.; Han, T.; Ding, Y.; Hu, C.; Liu, J. Co-coating ZnCo2O4 and carbon on a biomimetic sea anemone-shaped SnO2 mesostructure for high-performance lithium-ion batteries and semi-solid lithium slurry batteries. Appl. Surf. Sci. 2022, 591, 153220. [Google Scholar] [CrossRef]
- Guo, W.; Yang, T.; Huang, L.; Wang, S.; Li, J. Hydrothermal preparation of MnNiO3/Ni6MnO8 nanospheres on nickel foam as a high stability electrode material for supercapacitor. J. Alloys Compd. 2022, 924, 166490. [Google Scholar] [CrossRef]
- Thomas, R.; Gurgul, M.; Xavier, B.; Thalluri, S.; Amorim, I.; Zhang, N.; Zaraska, L.; Sulka, G.; Liu, L. Lithium and sodium storage performance of tin oxyphosphate anode materials. Appl. Surf. Sci. 2022, 579, 152126. [Google Scholar] [CrossRef]
- Liu, H.; Ding, C.; Dong, Y. Self-sacrificing template synthesis of micro/nano spheres Ni6MnO8 as electrode for high-performance lithium-ion batteries. J. Electrochem. Soc. 2020, 167, 110524. [Google Scholar] [CrossRef]
- He, M.; Yuan, L.; Hu, X.; Zhang, W.; Shu, J.; Huang, Y. A SnO2@carbon nanocluster anode material with superior cyclability and rate capability for lithium-ion batteries. Nanoscale 2013, 5, 3298–3305. [Google Scholar] [CrossRef]
- Zhou, Q.; Chen, W.; Xu, L.; Kumar, R.; Gui, Y.; Zhao, Z.; Tang, C.; Zhu, S. Highly sensitive carbon monoxide (CO) gas sensors based on Ni and Zn doped SnO2 nanomaterials. Ceram. Int. 2018, 44, 4392–4399. [Google Scholar] [CrossRef]
- Kim, J.; Lee, S.; Kim, Y.; Kim, W. Fabrication of free-standing ZnMn2O4 mesoscale tubular arrays for lithium-ion anodes with highly reversible lithium storage properties. ACS Appl. Mater. Interfaces 2013, 5, 11321–11328. [Google Scholar] [CrossRef] [PubMed]
- Sun, H.; Xin, G.; Hu, T.; Yu, M.; Shao, D.; Sun, X.; Lian, J. High-rate lithiation-induced reactivation of mesoporous hollow spheres for long-lived lithium-ion batteries. Nat. Commun. 2014, 5, 4526. [Google Scholar] [CrossRef] [PubMed]
- Wang, X.; Hao, H.; Liu, J.; Huang, T.; Yu, A. A novel method for preparation of macroposous lithium nickel manganese oxygen as cathode material for lithium ion batteries. Electrochim. Acta 2011, 56, 4065–4069. [Google Scholar] [CrossRef]
- Shin, N.; Kim, M.; Ha, J.; Kim, Y.; Choi, J. Flexible anodic SnO2 nanoporous structures uniformly coated with polyaniline as a binder-free anode for Lithium ion batteries. Electroanal. Chem. 2022, 914, 116296. [Google Scholar] [CrossRef]
- Wang, M.; Tao, Z.; He, X.; Zhu, B.; Zhang, X.; Liao, T.; Tang, H.; Wei, Z.; Tang, W. In-situ synthesized carbon-coated Sn–SnO2 nanoparticles embedded in carbon nanotubes on Cu foam as anode material for lithium-ion batteries. J. Phys. Chem. Solids 2022, 165, 110693. [Google Scholar] [CrossRef]
- Naresh, N.; Jayasubramaniyuan, S.; Jena, P.; Kanimozhi, G.; Muralidharan, P.; Satyanarayana, N. Microwave hydrothermal synthesis and electrochemical characterization of NiMoO4 nanosheets/SnO2 nanospheres/rGO nanocomposite as high-performance anode for lithium-ion batteries. Inorg. Chem. Commun. 2021, 133, 108916. [Google Scholar] [CrossRef]
- Feng, Y.; Bai, C.; Wu, K.; Dong, H.; Ke, J.; Huang, X.; Xiong, D.; He, M. Fluorine-doped porous SnO2@C nanosheets as a high performance anode material for Lithium ion batteries. J. Alloys Compd. 2020, 843, 156085. [Google Scholar] [CrossRef]
- Shi, J.; Lin, N.; Liu, D.; Wang, Y.; Lin, H. Preparation of C/SnO2 composite with rice husk-based porous carbon carrier loading ultrasmall SnO2 nanoparticles for anode in lithium-ion batteries. J. Electroanal. Chem. 2020, 857, 113634. [Google Scholar] [CrossRef]
- Chen, X.; Lu, H.; Lei, Y.; Zhang, J.; Xiao, F.; Wang, R.; Xie, P.; Xu, J. Expanded graphite confined SnO2 as anode for Lithium ion batteries with low average working potential and enhanced rate capability. J. Mater. Sci. Technol. 2022, 107, 165–171. [Google Scholar] [CrossRef]
- Zhang, Y.; Wang, C. Environment-friendly synthesis of carbon-encapsulated SnO2 core-shell nanocubes as high-performance anode materials for Lithium ion batteries. Mater. Today Energy 2020, 16, 100406. [Google Scholar] [CrossRef]
- Liang, G.; Sun, X.; Lai, J.; Wei, C.; Huang, Y.; Hu, H. Adding Lithium fluoride to improve the electrochemical properties SnO2@C/MWCNTs composite anode for lithium-ion batteries. J. Electroanal. Chem. 2019, 853, 113401. [Google Scholar] [CrossRef]
- Palanisamy, M.; Jamison, C.; Sun, X.; Qi, Z.; Wang, H.; Pol, V. Ultrafast anchored SnO2 nanoparticles revealed capacity fade and hysteresis abated stable cycling performance for high-rate lithium-ion batteries. Carbon 2021, 185, 608–618. [Google Scholar] [CrossRef]
- Dai, Q.; Gu, C.; Xu, Y.; Zhang, Y.; Hong, Y.; Joo, S.; Huang, J. Self-sacrificing template method to controllable synthesize hollow SnO2@C nanoboxes for lithium-ion battery anode. J. Electroanal. Chem. 2021, 898, 115653. [Google Scholar] [CrossRef]
- Li, R.; Miao, C.; Yu, L.; Zhang, M.; Xiao, W. Novel self-assembled SnO2@SnS2 hybrid microspheres as potential anode materials for lithium-ion batteries. Mater. Lett. 2022, 272, 127851. [Google Scholar] [CrossRef]
- Li, R.; Xiao, W.; Miao, C.; Fang, R.; Wang, Z.; Zhang, M. Sphere-like SnO2/TiO2 composites as high-performance anodes for lithium ion batteries. Ceram. Int. 2019, 45, 13530–13535. [Google Scholar] [CrossRef]
Publisher’s Note: MDPI stays neutral with regard to jurisdictional claims in published maps and institutional affiliations. |
© 2022 by the authors. Licensee MDPI, Basel, Switzerland. This article is an open access article distributed under the terms and conditions of the Creative Commons Attribution (CC BY) license (https://creativecommons.org/licenses/by/4.0/).