Compressive and Shear Behavior of Masonry Reinforced with Ultra-Rapid-Hardening Fiber-Reinforced Mortar (URH-FRM)
Abstract
1. Introduction
2. Experimental Program
2.1. Materials
2.2. Test Specimens
2.3. Test Method
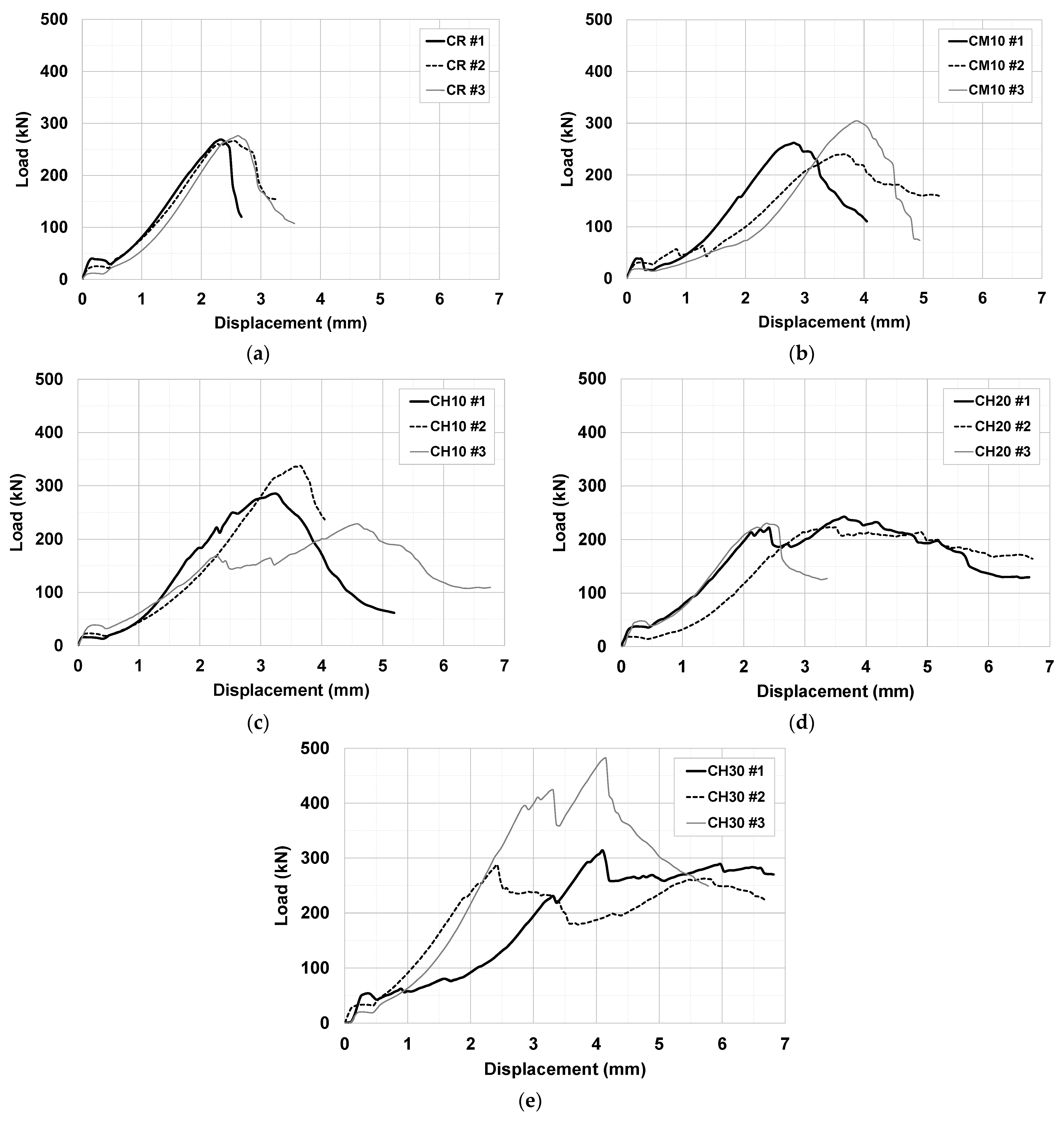
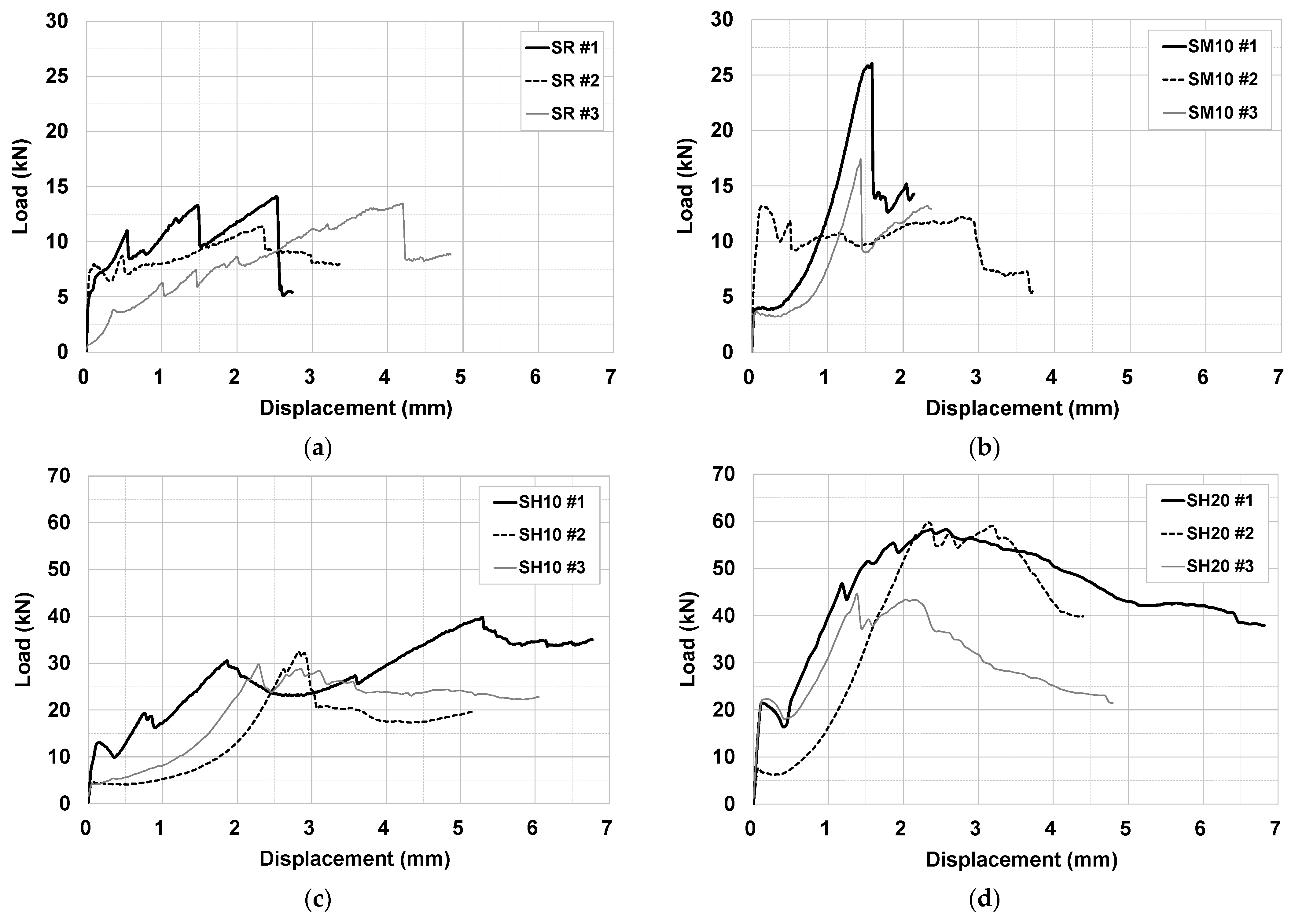
3. Experimental Results and Discussions
3.1. Compressive Strength of Masonry Prism
3.2. Initial Shear Strength of Masonry Prism
4. Conclusions
Funding
Institutional Review Board Statement
Informed Consent Statement
Data Availability Statement
Conflicts of Interest
References
- Hong, T.-K.; Lee, J.; Park, S.; Kim, W. Time-advanced occurrence of moderate-size earthquakes in a stable intraplate region after a megathrust earthquake and their seismic properties. Sci. Rep. 2018, 8, 13331. [Google Scholar] [CrossRef] [PubMed]
- Choi, W.; Park, J.-W.; Kim, J. Loss assessment of building and contents damage from the potential earthquake risk in Seoul, South Korea. Nat. Hazards Earth Syst. Sci. 2019, 19, 985–997. [Google Scholar] [CrossRef]
- Lee, Y.; Hong, W.; Lee, J.; Jang, K.S.; Chang, C.H. Research on measures for improving the seismic resistance rate of private buildings through surveys. J. Korean Soc. Hazard Mitig. 2020, 20, 239–249. [Google Scholar] [CrossRef]
- Sandoli, A.; Pacella, G.; Lignola, G.P.; Calderoni, B.; Prota, A. Masonry spandrels reinforced by thin-steel stripes: Experimental program on reduced-scale specimens. Constr. Build. Mater. 2021, 306, 124922. [Google Scholar] [CrossRef]
- Borri, A.; Corradi, M.; Castori, G.; Molinari, A. Stainless steel strip—A proposed shear reinforcement for masonry wall panels. Constr. Build. Mater. 2019, 211, 594–604. [Google Scholar] [CrossRef]
- Hwang, S.-H.; Kim, S.; Mun, J.-H.; Yang, K.-H. In-plane seismic performance of open masonry walls retrofitted with steel-bar truss units. Constr. Build. Mater. 2022, 320, 126278. [Google Scholar] [CrossRef]
- Hou, Y.; Duan, K.; Cao, S.; Liu, J.; Jing, D.; Zhang, Z. Experimental research on the behavior of masonry walls reinforced with dry-connected steel plate frames under axial compression. J. Build. Eng. 2022, 46, 103732. [Google Scholar] [CrossRef]
- Babatunde, S.A. Review of strengthening techniques for masonry using fiber reinforced polymers. Compos. Struct. 2017, 161, 246–255. [Google Scholar] [CrossRef]
- Almeida, F.P.A.; Cecchi, A. Mechanics of structure genome applied in the homogenization of masonry reinforced by FRP repointing technique. Comput. Struct. 2021, 253, 106576. [Google Scholar] [CrossRef]
- Shrive, N.G. The use of fibre reinforced polymers to improve seismic resistance of masonry. Constr. Build. Mater. 2006, 20, 269–277. [Google Scholar] [CrossRef]
- Kouris, L.A.S.; Triantafillou, T.C. State-of-the-art on strengthening of masonry structures with textile reinforced mortar (TRM). Constr. Build. Mater. 2018, 188, 1221–1233. [Google Scholar] [CrossRef]
- Ibrahim, M.; Galal, M.; Kohail, M.; Rashad, A.; ElShafie, H. Behaviour of unreinforced masonry walls retrofitted by using basalt textile reinforced mortar. Eng. Struct. 2022, 260, 114201. [Google Scholar] [CrossRef]
- Dong, Z.; Deng, M.; Dai, J.; Ma, P. Diagonal compressive behavior of unreinforced masonry walls strengthened with textile reinforced mortar added with short PVA fibers. Eng. Struct. 2021, 246, 113034. [Google Scholar] [CrossRef]
- Boem, I. Masonry elements strengthened through Textile-Reinforced Mortar: Application of detailed level modelling with a free open-source Finite-Element code. Constr. Build. Mater. 2022, 357, 129333. [Google Scholar] [CrossRef]
- Raji, A.; Mostofinejad, D.; Eftekhar, M.R. A novel parallel wire steel-reinforced mortar (PW-SRM) method versus textile reinforced mortar (TRM) for out-of-plane strengthening of masonry walls. J. Build. Eng. 2022, 57, 104806. [Google Scholar] [CrossRef]
- Kariou, F.A.; Triantafyllou, S.P.; Bournas, D.A.; Koutas, L.N. Out-of-plane response of masonry walls strengthened using textile-mortar system. Constr. Build. Mater. 2018, 165, 769–781. [Google Scholar] [CrossRef]
- Lignola, G.P.; Caggegi, C.; Ceroni, F.; Santis, S.D.; Krajewski, P.; Lourenço, P.B.; Morganti, M.; Papanicolaou, C.; Pellegrino, C.; Prota, A.; et al. Performance assessment of basalt FRCM for retrofit applications on masonry. Compos. B Eng. 2017, 128, 1–18. [Google Scholar] [CrossRef]
- Garcia-Ramonda, L.; Pelà, L.; Roca, P.; Camata, G. Cyclic shear-compression testing of brick masonry walls repaired and retrofitted with basalt textile reinforced mortar. Compos. Struct. 2022, 283, 115068. [Google Scholar] [CrossRef]
- Maalej, M.; Lin, V.W.J.; Nguyen, M.P.; Quek, S.T. Engineered cementitious composites for effective strengthening of unreinforced masonry walls. Eng. Struct. 2010, 32, 2432–2439. [Google Scholar] [CrossRef]
- Pourfalah, S.; Suryanto, B.; Cotsovos, D.M. Enhancing the out-of-plane performance of masonry walls using engineered cementitious composite. Compos. B Eng. 2018, 140, 108–122. [Google Scholar] [CrossRef]
- Dehghani, A.; Nateghi-Alahi, F.; Fischer, G. Engineered cementitious composites for strengthening masonry infilled reinforced concrete frames. Eng. Struct. 2015, 105, 197–208. [Google Scholar] [CrossRef]
- Sharbatdar, M.K.; Tajari, A. Experimental in-plane seismic strengthening of masonry infilled reinforced concrete frames by engineered cementitious composites (ECC). Constr. Build. Mater. 2021, 293, 123529. [Google Scholar] [CrossRef]
- Dong, F.; Wang, H.; Jiang, F.; Xing, Q.; Yu, J. In-plane shear behavior of masonry panels strengthened with ultra-high ductile concrete (UHDC). Eng. Struct. 2022, 252, 113609. [Google Scholar] [CrossRef]
- Chen, X.; Zhang, Y.; Wang, Z.; Yu, J.; Skalomenos, K.; Xu, Q. Shaking table tests on a 5-storey unreinforced masonry structure strengthened by ultra-high ductile cementitious composites. J. Build. Eng. 2022, 54, 104635. [Google Scholar] [CrossRef]
- Elmorsy, M.; Hassan, W.M. Seismic behavior of ultra-high performance concrete elements: State-of-the-art review and test database and trends. J. Build. Eng. 2021, 40, 102572. [Google Scholar] [CrossRef]
- Zhu, Y.; Zhang, Y.; Hussein, H.H.; Chen, G. Flexural strengthening of reinforced concrete beams or slabs using ultra-high performance concrete (UHPC): A state of the art review. Eng. Struct. 2020, 205, 110035. [Google Scholar] [CrossRef]
- Soleimani-Dashtaki, S. Seismic Strengthening of Unreinforced Masonry Walls Using Sprayable Ecofriendly Ductile Cementitious Composite (EDCC). Ph.D. Thesis, University of British Columbia, Vancouver, BC, Canada, April 2018. [Google Scholar]
- KS L 4201; Clay Brick. Korean Standards Association: Seoul, Republic of Korea, 2020.
- KS L ISO679; Methods of Testing Cements—Determination of Strength. Korean Standards Association: Seoul, Republic of Korea, 2021.
- Chun, B.; Shin, W.; Jang, Y.S.; Yoo, D.Y. Developing strain-hardening ultra-rapid-hardening mortar containing high-volume supplementary cementitious materials and polyethylene fibers. J. Mater. Res. Technol. 2021, 13, 1934–1945. [Google Scholar] [CrossRef]
- Chun, B.; Oh, T.; Jang, Y.S.; Lee, S.K.; Lee, J.H.; Yoo, D.Y. Strengthening effect of concrete beams using ultra-rapid-hardening fiber-reinforced mortar under flexure. Constr. Build. Mater. 2022, 352, 129064. [Google Scholar] [CrossRef]
- JSCE. Recommendations for Design and Construction of High Performance Fiber Reinforced Cement Composites with Multiple Fine Cracks (HPFRCC); Japan Society of Civil Engineers: Tokyo, Japan, 2008. [Google Scholar]
- ASTM C1314-21; Standard Test Method for Compressive Strength of Masonry Prisms. ASTM International: West Conshohocken, PA, USA, 2021.
- BS EN 1052-3:2002; Methods of Test for Masonry—Part 3: Determination of Initial Shear Strength. BSI: London, UK, 2002.
- Cheng, S.; Yin, S.; Jing, L. Comparative experimental analysis on the in-plane shear performance of brick masonry walls strengthened with different fiber reinforced materials. Constr. Build. Mater. 2020, 259, 120387. [Google Scholar] [CrossRef]
- Ismail, N.; El-Maaddawy, T.; Khattak, N.; Najmal, A. In-plane shear strength improvement of hollow concrete masonry panels using a fabric-reinforced cementitious matrix. J. Compos. Constr. 2018, 22, 04018004. [Google Scholar] [CrossRef]
- Babaeidarabad, S.; De Caso, F.; Nanni, A. URM Walls Strengthened with fabric-reinforced cementitious matrix composite subjected to diagonal compression. J. Compos. Constr. 2014, 18, 04013045. [Google Scholar] [CrossRef]
- Lin, Y.W.; Wotherspoon, L.; Scott, A.; Ingham, J.M. In-plane strengthening of clay brick unreinforced masonry wallettes using ECC shotcrete. Eng. Struct. 2014, 66, 57–65. [Google Scholar] [CrossRef]












| Water (kg/m3) | Binder (kg/m3) | Silica Sand (kg/m3) | Set Retarder (kg/m3) | VMA (kg/m3) | HRWRA (B%) | PE (V%) | ||||
|---|---|---|---|---|---|---|---|---|---|---|
| URHC | GGBFS | LSP | CKD | SF | ||||||
| 314 | 709.4 | 354.7 | 177.4 | 106.4 | 141.9 | 496.6 | 7.09 | 3.89 | 1–2% | 1.5 |
| Diameter (µm) | Length (mm) | Density (g/m3) | Tensile Strength (MPa) | Elastic Modulus (GPa) |
|---|---|---|---|---|
| 30 | 18 | 0.97 | 3000 | 100 |
| Test | Specimens | Size (mm) (W D H) | Reinforcing Material and Thickness |
|---|---|---|---|
| Compressive strength | CR | 190 90 191 | Reference (Unreinforced) |
| CM10 | General mortar 10 mm | ||
| CH10 | URH-FRM 10 mm | ||
| CH20 | URH-FRM 20 mm | ||
| CH30 | URH-FRM 30 mm | ||
| Initial shear strength | SR | 190 90 191 | Reference (Unreinforced) |
| SM10 | General mortar 10 mm | ||
| SH10 | URH-FRM 10 mm | ||
| SH20 | URH-FRM 20 mm | ||
| SH30 | URH-FRM 30 mm |
| Specimen | #1 | #2 | #3 | Average | SD | CV |
|---|---|---|---|---|---|---|
| CR | 33.4 | 33.0 | 34.3 | 33.6 | 0.7 | 0.02 |
| CM10 | 32.5 | 37.8 | 29.8 | 33.4 | 4.1 | 0.12 |
| CH10 | 35.4 | 41.9 | 28.4 | 35.2 | 6.8 | 0.19 |
| CH20 | 30.1 | 28.6 | 27.7 | 28.8 | 1.2 | 0.04 |
| CH30 | 38.9 | 35.6 | 59.8 | 44.8 | 13.1 | 0.29 |
Publisher’s Note: MDPI stays neutral with regard to jurisdictional claims in published maps and institutional affiliations. |
© 2022 by the author. Licensee MDPI, Basel, Switzerland. This article is an open access article distributed under the terms and conditions of the Creative Commons Attribution (CC BY) license (https://creativecommons.org/licenses/by/4.0/).
Share and Cite
Lee, J.H. Compressive and Shear Behavior of Masonry Reinforced with Ultra-Rapid-Hardening Fiber-Reinforced Mortar (URH-FRM). Materials 2022, 15, 8825. https://doi.org/10.3390/ma15248825
Lee JH. Compressive and Shear Behavior of Masonry Reinforced with Ultra-Rapid-Hardening Fiber-Reinforced Mortar (URH-FRM). Materials. 2022; 15(24):8825. https://doi.org/10.3390/ma15248825
Chicago/Turabian StyleLee, Joo Ha. 2022. "Compressive and Shear Behavior of Masonry Reinforced with Ultra-Rapid-Hardening Fiber-Reinforced Mortar (URH-FRM)" Materials 15, no. 24: 8825. https://doi.org/10.3390/ma15248825
APA StyleLee, J. H. (2022). Compressive and Shear Behavior of Masonry Reinforced with Ultra-Rapid-Hardening Fiber-Reinforced Mortar (URH-FRM). Materials, 15(24), 8825. https://doi.org/10.3390/ma15248825

