Nonlinear Analytical Procedure for Predicting Debonding of Laminate from Substrate Subjected to Monotonic or Cyclic Load
Abstract
1. Introduction
2. Governing Equations
The SRP-Concrete Interface and the Pertinent Materials Constitutive Laws
3. Proposed Analytical Model
3.1. Monotonic Load Case
3.1.1. Elastic or Ascending Stage
3.1.2. Softening or Descending Stage
3.1.3. Debonding with the SRP Remaining Elastic
3.1.4. Debonding after the SRP Entering the Plastic State
3.1.5. Effective Bond Length
3.2. Cyclic Load Case
4. FEM Model
5. Comparison with Experimental Results
5.1. Monotonic Loading Tests
5.2. Cyclic Load Case
Nigro et al. [27] Tests
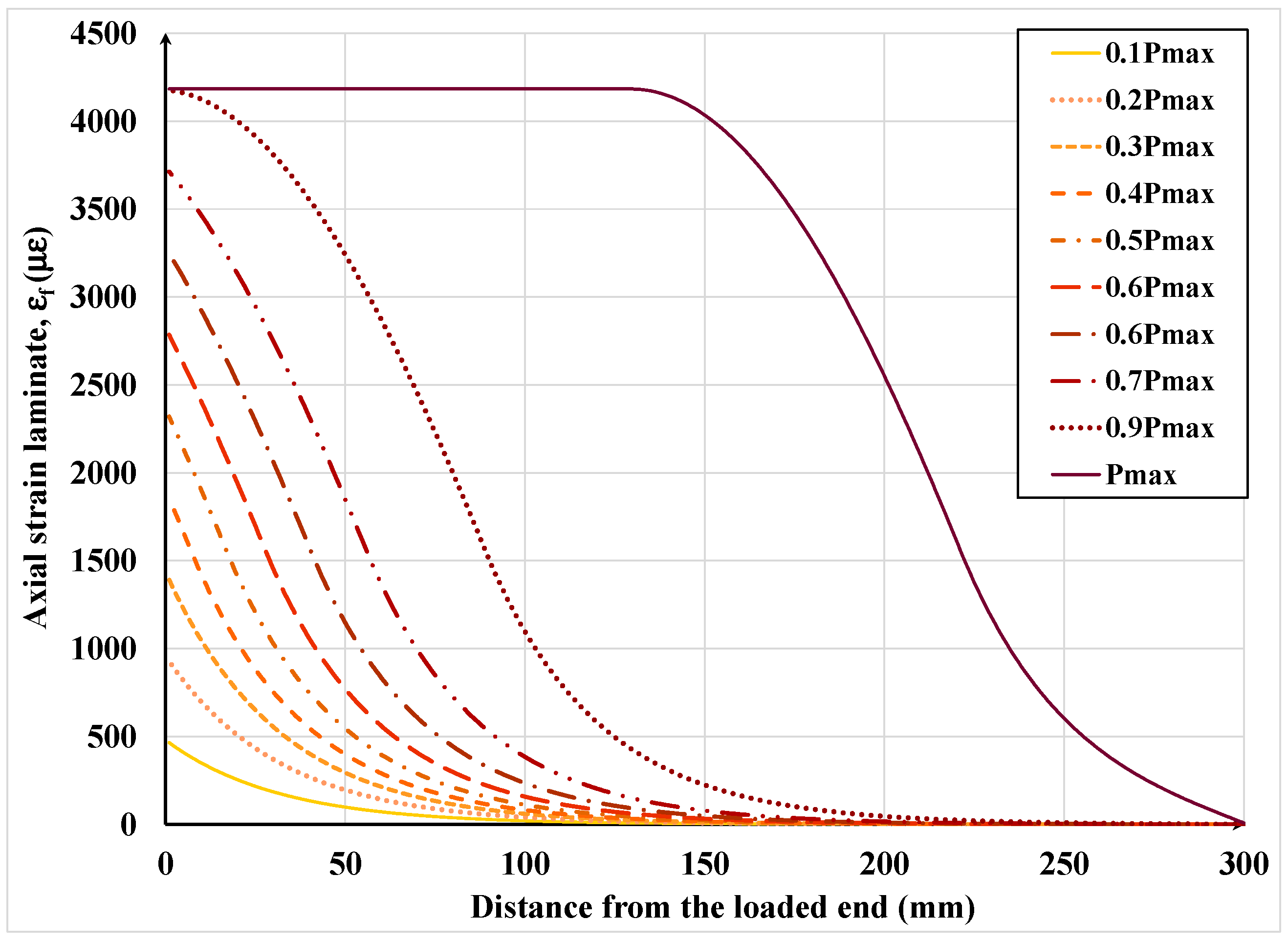
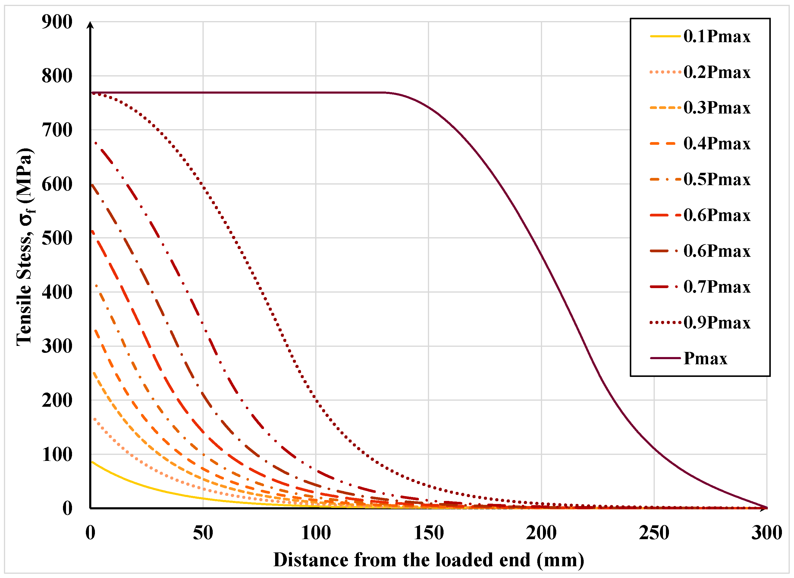
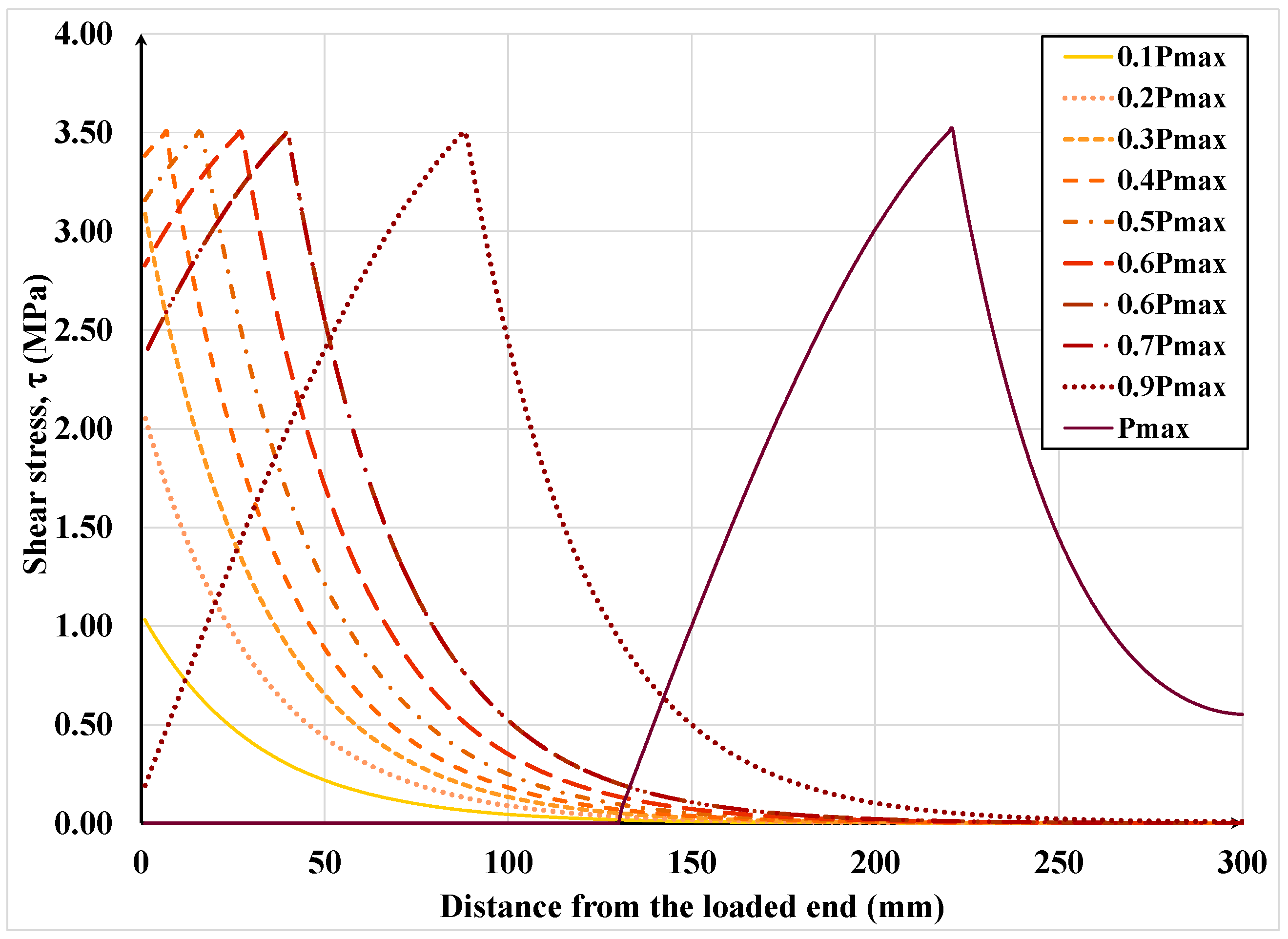
6. Parametric Analysis Using the Proposed Model
6.1. Static Load Case
6.2. Cyclic Load Case
7. Conclusions
Author Contributions
Funding
Institutional Review Board Statement
Informed Consent Statement
Data Availability Statement
Acknowledgments
Conflicts of Interest
References
- Ascione, F.; Lamberti, M.; Napoli, A.; Razaqpur, A.G.; Realfonzo, R. An experimental investigation on the bond behavior of steel reinforced polymers on concrete substrate. Compos. Struct. 2017, 181, 58–72. [Google Scholar] [CrossRef]
- Ascione, F.; Lamberti, M.; Napoli, A.; Realfonzo, R. SRP/SRG Strips Bonded to Concrete Substrate: Experimental Characterization; American Concrete Institute, ACI Special Publication: Farmington Hills, MI, USA, 2018; p. 326. [Google Scholar]
- Carloni, C.; Ascione, F.; Camata, G.; de Felice, G.; De Santis, S.; Lamberti, M.; Napoli, A.; Realfonzo, R.; Santandrea, M.; Stievanin, E.; et al. An Overview of the Design Approach to Strengthen Existing Reinforced Concrete Structures with SRG; American Concrete Institute, ACI Special Publication: Farmington Hills, MI, USA, 2018; p. 326. [Google Scholar]
- De Santis, S.; de Felice, G.; Napoli, A.; Realfonzo, R. Strengthening of structures with Steel Reinforced Polymers: A state-of-the-art review. Compos. Part B Eng. 2016, 104, 87–110. [Google Scholar] [CrossRef]
- De Santis, S.; Ceroni, F.; de Felice, G.; Fagone, M.; Ghiassi, B.; Kwiecień, A.; Lignola, G.P.; Morganti, M.; Santandrea, M.; Valluzzi, M.R.; et al. Round Robin Test on tensile and bond behaviour of Steel Reinforced Grout systems. Compos. Part B Eng. 2017, 127, 100–120. [Google Scholar] [CrossRef]
- Yao, J.; Teng, J.G.; Chen, J.F. Experimental study on FRP-to-concrete bonded joints. Compos. Part B Eng. 2004, 36, 99–113. [Google Scholar] [CrossRef]
- Teng, J.; Yuan, H.; Chen, J. Frp-to-concrete interfaces between two adjacent crack: Theoretical model for debonding faiulure. Int. J. Solids Struct. 2006, 43, 5750–5778. [Google Scholar] [CrossRef]
- Chen, J.F.; Yuan, H.; Teng, J.G. Debonding failure along a softening FRP-to-concrete interface between two adjacent cracks in concrete members. Eng. Struct. 2006, 29, 259–270. [Google Scholar] [CrossRef]
- Qiao, P.; Chen, F. An improved adhesively bonded bi-material beam model for plated beams. Eng. Struct. 2008, 30, 1949–1957. [Google Scholar] [CrossRef]
- Franco, A.; Royer-Carfagni, G. Cohesive debonding of a stiffener from an elastic substrate. Compos. Struct. 2014, 111, 401–414. [Google Scholar] [CrossRef]
- Cornetti, P.; Carpinteri, A. Modelling the FRP-concrete delamination by means of an exponential softening law. Eng. Struct. 2011, 33, 1988–2001. [Google Scholar] [CrossRef]
- Caggiano, A.; Martinelli, E.; Faella, C. A fully-analytical approach for modelling the response of FRP plates bonded to a brittle substrate. Int. J. Solids Struct. 2012, 49, 2291–2300. [Google Scholar] [CrossRef]
- Liu, S.; Yuan, H.; Jiayu, W. Full-range mechanical behaviour of FRP-to-concrete interface for pull-pull bonded joints. Compos. Part B Eng. 2019, 164, 333–334. [Google Scholar] [CrossRef]
- Jinlong, P.; Wu, Y.F. Analytic modeling of bond behavior between FRP plate and concrete. Compos. Part B Eng. 2014, 61, 17–25. [Google Scholar]
- Harries, K.A.; Aidoo, J. Debonding- and Fatigue-Related Strain Limits for Externally Bonded FRP. J. Compos. Constr. 2006, 10, 87–90. [Google Scholar] [CrossRef]
- Ferrier, E.; Bigaud, D.; Hamelin, P.; Bizindavyi, L.; Neale, K.W. Fatigue of CFRPs externally bonded to concrete. Mater. Struct. 2005, 38, 39–46. [Google Scholar] [CrossRef]
- Diab, H.M.; Wu, Z.; Iwashita, K. Theoretical Solution for Fatigue Debonding Growth and Fatigue Life Prediction of FRP-Concrete Interfaces. Adv. Struct. Eng. 2009, 12, 781–792. [Google Scholar] [CrossRef]
- Zheng, X.H.; Huang, P.Y.; Chen, H.M.; Tan, X.M. Fatigue behavior of FRP–concrete bond under hygrothermal environment. Constr. Build. Mater. 2015, 95, 898–909. [Google Scholar] [CrossRef]
- Kim, Y.J.; Heffernan, P.J. Fatigue behavior of externally strengthened concrete beams with fiber-reinforced polymers: State of the SRT. J. Compos. Constr. 2008, 12, 246–256. [Google Scholar] [CrossRef]
- Dong, J.F.; Wang, Q.Y.; Guan, Z.W. Structural behaviour of RC beams externally strengthened with FRP sheets under fatigue and monotonic loading. Eng. Struct. 2012, 41, 24–33. [Google Scholar] [CrossRef]
- Yun, Y.; Wu, Y.-F.; Tang, W.C. Performance of FRP bonding systems under fatigue loading. Eng. Struct. 2008, 30, 3129–3140. [Google Scholar] [CrossRef]
- Ferrier, E.; Bigaud, D.; Clément, J.C.; Hamelin, P. Fatigue-loading effect on RC beams strengthened with externally bonded FRP. Constr. Build. Mater. 2011, 25, 539–546. [Google Scholar] [CrossRef]
- Bizindavyi, L.; Neale, K.W.; Erki, M.A. Experimental Investigation of Bonded Fiber Reinforced Polymer-Concrete Joints under Cyclic Loading. J. Compos. Constr. 2003, 7, 127–134. [Google Scholar] [CrossRef]
- Peng, H.; Wang, B.; Zhang, J.; Li, S. Test study on fatigue behavior of bonded FRP–concrete joint. J. Exp. Mech. 2014, 29, 189–199. [Google Scholar]
- Zheng, X.H.; Huang, P.Y.; Han, Q.; Chen, G.M. Bond behavior of interface between CFL and concrete under static and fatigue load. Constr. Build. Mater. 2014, 52, 33–41. [Google Scholar] [CrossRef]
- Mazzotti, C.; Savoia, M. FRP-Concrete Bond Behaviour under Cyclic Debonding Force. Adv. Struct. Eng. 2009, 12, 771–780. [Google Scholar] [CrossRef]
- Nigro, E.; Di Ludovico, M.; Bilotta, A. Experimental Investigation of FRP-Concrete Debonding under Cyclic Actions. J. Mater. Civ. Eng. 2011, 23, 360–371. [Google Scholar] [CrossRef]
- Carloni, C.; Subramaniam, K.V.; Savoia, M.; Mazzotti, C. Experimental determination of FRP–concrete cohesive interface properties under fatigue loading. Compos. Struct. 2012, 94, 1288–1296. [Google Scholar] [CrossRef]
- Ko, H.; Sato, Y. Bond Stress–Slip Relationship between FRP Sheet and Concrete under Cyclic Load. J. Compos. Constr. 2007, 11, 419–426. [Google Scholar] [CrossRef]
- Martinelli, E.; Caggiano, A. A Unified Theoretical Model for the Monotonic and Cyclic Response of FRP Strips Glued to Concrete. Polymers 2014, 6, 370–381. [Google Scholar] [CrossRef]
- Dai, J.G.; Sato, Y.; Ueda, T.; Sato, Y. Static and fatigue bond characteristics of interfaces between CFRP sheets and frost damage experienced concrete. In Proceedings of the 7th International Symposium on Fiber Reinforced Polymer Reinforcement for Reinforced Concrete Structures, Kansas City, MO, USA, 6–9 November 2005; ACI: Farmington Hills, MI, USA, 2005; pp. 1515–1530. [Google Scholar]
- Monti, M.; Renzelli, M.; Luciani, P. FRP adhesion in uncracked and cracked concrete zones. In Proceedings of the 6th International Symposium on FRP Reinforcement for Concrete Structures, Singapore, 8–10 July 2003; World Scientific Publications: Singapore, 2003; pp. 183–192. [Google Scholar]
- Lu, X.Z.; Teng, J.G.; Ye, L.P.; Jiang, J.J. Bond–slip models for FRP sheets/plates bonded to concrete. Eng. Struct. 2005, 27, 920–937. [Google Scholar] [CrossRef]
- Faella, C.; Martinelli, E.; Nigro, E. Direct versus Indirect Method for Identifying FRP-to-Concrete Interface Relationships. J. Compos. Constr. 2009, 13, 226–233. [Google Scholar] [CrossRef]
- García-Collado, A.; Vasco Olmo, J.M.; Díaz, F.A. Numerical analysis of plasticity induced crack closure based on a irreversible cohesive zone model. Theor. Appl. Fract. Mech. 2017, 89, 56–62. [Google Scholar] [CrossRef]
- Ritchie, R.O. Mechanisms of fatigue-crack propagation in ductile and brittle solids. Int. J. Fract. 1999, 100, 55–83. [Google Scholar] [CrossRef]
- Smith, M. ABAQUS/Standard User’s Manual, version 6.9; Dassault Systèmes Simulia Corp.: Providence, RI, USA, 2009. [Google Scholar]
- Chajes, M.; Finch, W.; Januska, T.; Thomson, T. Bond and force transfer of composite material plates bonded to concrete. ACI Struct. J. 1996, 93, 208–217. [Google Scholar]
- Napoli, A.; de Felice, G.; De Santis, S.; Realfonzo, R. Bond behaviour of Steel Reinforced Polymer strengthening systems. Compos. Struct. 2016, 152, 499–515. [Google Scholar] [CrossRef]
- Ascione, F.; Lamberti, M.; Napoli, A.; Razaqpur, A.G.; Realfonzo, R. Modeling SRP-concrete interfacial bond behaviour and strength. Eng. Struct. 2019, 187, 220–230. [Google Scholar] [CrossRef]
- Advisory Committee on Technical Recommendations for Constructions, Italian National Research Council CNR DT200 R1/2013. Istruzioni per la Progettazione, l’Esecuzione ed il Controllo di Interventi di Consolidamento Statico Mediante l’utilizzo di Compositi Fibrorinforzati; Consiglio Nazionale Delle Ricerche: Napoli, Italy, 2013.


























| Trial | Element Size | Concrete | FRP Sheets | Force |
|---|---|---|---|---|
| [mm] | Number of Finite Elements | [kN] | ||
| 1 | 25 | 6000 | 600 | 28.210 |
| 2 | 20 | 7500 | 750 | 27.124 |
| 3 | 15 | 100,000 | 1000 | 26.900 |
| 4 | 10 | 150,000 | 1500 | 26.794 |
| 5 | 5 | 300,000 | 3000 | 26.785 |
| (a) | |||
| Unit | Value | ||
| Concrete Young’s Modulus | Ec | MPa | 34,000 |
| FRP Young’s Modulus | Ef | MPa | 216,000 |
| (b) | |||
| Unit | Value | ||
| Elastic Stiffness | kS | N/mm | 100.0 |
| Tensile Strength | τII | MPa | 5.0 |
| Fracture Energy | GII | MPa∙mm | 1.0 |
| Ultimate displacement | su | mm | 0.4 |
| Property | Unit | Specimen | ||
|---|---|---|---|---|
| Case (a) [38] | Case (b) [1] | Case (c) [39] | ||
| Specimen width, | mm | 100 | 200 | 120 |
| Specimen height, | mm | 100 | 150 | 120 |
| Specimen strength, | MPa | 15 - | 22.5 - | 4.4 14.8 |
| Specimen elastic modulus, | GPa | 25 - | 28 - | 7.8 19.5 |
| FRP laminate thickness, | mm | 1.016 - - | 0.084 0.254 0.381 | 0.254 - - |
| FRP laminate length, | mm | 203.2 | 300 | 200 |
| FRP laminate width, | mm | 25.4 | 100 | 50 |
| FRP laminate elastic modulus | GPa | 110.4 | - | - |
| Steel textile yield stress, | MPa | - | 2410 | 2410 |
| Steel textile ultimate stress, | MPa | - | 3191 | 3191 |
| Steel yield strain, | - | - | 0.013 | 0.013 |
| Steel strain corresponding to its ultimate strength, | - | - | 0.021 | 0.021 |
| Maximum shear stress, | MPa | 5.75 | 2.6 | 3.5 |
| Slip corresponding to , | mm | 0.05 | 0.05 | 0.04 |
| Ultimate slip, | mm | 0.32 | 0.40 | 0.13 |
Publisher’s Note: MDPI stays neutral with regard to jurisdictional claims in published maps and institutional affiliations. |
© 2022 by the authors. Licensee MDPI, Basel, Switzerland. This article is an open access article distributed under the terms and conditions of the Creative Commons Attribution (CC BY) license (https://creativecommons.org/licenses/by/4.0/).
Share and Cite
Lamberti, M.; Ascione, F.; Napoli, A.; Razaqpur, G.; Realfonzo, R. Nonlinear Analytical Procedure for Predicting Debonding of Laminate from Substrate Subjected to Monotonic or Cyclic Load. Materials 2022, 15, 8690. https://doi.org/10.3390/ma15238690
Lamberti M, Ascione F, Napoli A, Razaqpur G, Realfonzo R. Nonlinear Analytical Procedure for Predicting Debonding of Laminate from Substrate Subjected to Monotonic or Cyclic Load. Materials. 2022; 15(23):8690. https://doi.org/10.3390/ma15238690
Chicago/Turabian StyleLamberti, Marco, Francesco Ascione, Annalisa Napoli, Ghani Razaqpur, and Roberto Realfonzo. 2022. "Nonlinear Analytical Procedure for Predicting Debonding of Laminate from Substrate Subjected to Monotonic or Cyclic Load" Materials 15, no. 23: 8690. https://doi.org/10.3390/ma15238690
APA StyleLamberti, M., Ascione, F., Napoli, A., Razaqpur, G., & Realfonzo, R. (2022). Nonlinear Analytical Procedure for Predicting Debonding of Laminate from Substrate Subjected to Monotonic or Cyclic Load. Materials, 15(23), 8690. https://doi.org/10.3390/ma15238690

