Investigation and Application of Magnetic Properties of Ultra-Thin Grain-Oriented Silicon Steel Sheets under Multi-Physical Field Coupling
Abstract
1. Introduction
2. Materials and Methods
2.1. Non-Standard Ring Sample Method
2.2. Epstein Frame Method
2.3. Segmented Modeling of Grain-Oriented Silicon Steel Electrical Machine
3. Results
3.1. Test Results of Non-Standard Ring Sample Method
3.1.1. Magnetic Characteristics of Grain-Oriented Silicon Steel under Temperature Field
3.1.2. Magnetic Characteristics of Grain-Oriented Silicon Steel under Stress Field
3.1.3. Magnetic Properties of Grain-Oriented Silicon Steels at High Frequencies
3.1.4. Magnetic Characteristics of Grain-Oriented Silicon Steel under Multi-Physical Field Coupling
3.2. Experimental Results of Epstein Frame Method
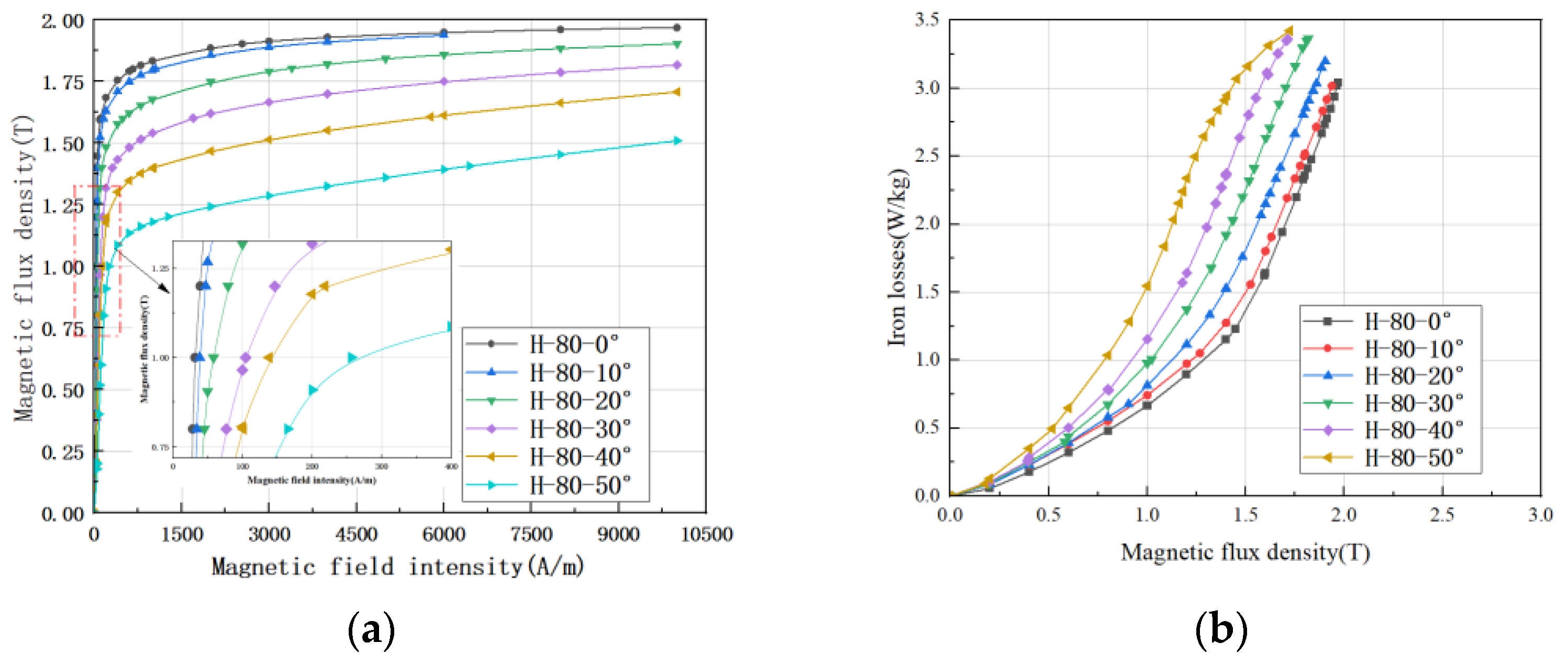
3.2.1. Magnetic Characteristics of Grain-Oriented Silicon Steel at Different Angles
3.2.2. Magnetic Flux Density Variation Diagram of Two Materials at Different Angles
3.3. Drive Electrical Machine Based on Grain-Oriented Silicon Steel
4. Conclusions
Author Contributions
Funding
Institutional Review Board Statement
Informed Consent Statement
Data Availability Statement
Conflicts of Interest
References
- Krings, A.; Boglietti, A.; Cavagnino, A.; Sprague, S. Soft magnetic material status and trends in electric machines. IEEE Trans. Ind. Electron. 2016, 64, 2405–2414. [Google Scholar] [CrossRef]
- Taghavi, S.; Pillay, P. A novel grain-oriented lamination rotor core assembly for a synchronous reluctance traction motor with a reduced torque ripple algorithm. IEEE Trans. Ind. Appl. 2016, 52, 3729–3738. [Google Scholar] [CrossRef]
- Wang, S.; Ma, J.; Liu, C.; Wang, Y.; Lei, G.; Guo, Y.; Zhu, J. Design and performance analysis of a novel PM assisted synchronous reluctance machine. Int. J. Appl. Electromagn. Mech. 2021, 67, 131–140. [Google Scholar] [CrossRef]
- Taghavi, S.; Pillay, P. A sizing methodology of the synchronous reluctance motor for traction applications. IEEE J. Emerg. Sel. Top. Power Electron. 2014, 2, 329–340. [Google Scholar] [CrossRef]
- Taghavi, S. Design of Synchronous Reluctance Machines for Automotive Applications. Ph.D. Thesis, Concordia University, Montréal, QC, Canada, 2015. [Google Scholar]
- Talebi, D.; Gardner, M.C.; Sankarraman, S.V.; Daniar, A.; Toliyat, H.A. Electromagnetic design characterization of a dual rotor axial flux motor for electric aircraft. In Proceedings of the 2021 IEEE International Electric Machines & Drives Conference (IEMDC), Hartford, CT, USA, 17–20 May 2021. [Google Scholar]
- Wang, T.; Liu, C.; Xu, W.; Lei, G.; Jafari, M.; Guo, Y.; Zhu, J. Fabrication and experimental analysis of an axially laminated flux-switching permanent-magnet electrical machine. IEEE Trans. Ind. Electron. 2016, 64, 1081–1091. [Google Scholar] [CrossRef]
- Ma, J.; Li, J.; Fang, H.; Li, Z.; Liang, Z.; Fu, Z.; Qu, R.; Xiao, R. Optimal design of an axial-flux switched reluctance electrical machine with grain-oriented electrical steel. IEEE Trans. Ind. Appl. 2017, 53, 5327–5337. [Google Scholar] [CrossRef]
- Geng, W.; Wang, Y.; Wang, J.; Hou, J.; Guo, J.; Zhang, Z. Electromagnetic Analysis and Efficiency Improvement of Axial-Flux Permanent Magnet Electrical machine with Yokeless Stator by Using Grain-oriented Silicon Steel. IEEE Trans. Magn. 2021, 58, 1–5. [Google Scholar] [CrossRef]
- Mallard, V.; Demian, C.; Brudny, J.F.; Parent, G. The use of segmented-shifted grain-oriented sheets in magnetic circuits of small AC electrical machines. Open Phys. 2019, 17, 617–622. [Google Scholar] [CrossRef]
- Ozdincer, B.; Aydin, M. Design of Innovative Radial Flux Permanent Magnet Electrical Machine Alternatives with Non-Oriented and Grain-Oriented Electrical Steel for Servo Applications. IEEE Trans. Magn. 2021, 58, 1–4. [Google Scholar] [CrossRef]
- Son, J.C.; Lim, D.K. Novel Stator Core of the Permanent Magnet Assisted Synchronous Reluctance Electrical machine for Electric Bicycle Traction Electrical Machine Using Grain-Oriented Electrical Steel. In Proceedings of the 2021 24th International Conference on Electrical Electrical Machines and Systems (ICEMS), Gyeongju, Korea, 31 October–3 November 2021; pp. 1215–1218. [Google Scholar]
- Maraví-Nieto, J.; Azar, Z.; Thomas, A.S.; Zhu, Z.Q. Utilisation of grain oriented electrical steel in permanent magnet fractional slot-Modular electrical machines. J. Eng. 2019, 2019, 3682–3686. [Google Scholar] [CrossRef]
- Munteanu, A.; Nastas, I.; Simion, A.; Livadaru, L.; Virlan, B.; Nacu, I. A New Topology of Fractional-Slot Concentrated Wound Permanent Magnet Synchronous Electrical machine with Grain-Oriented Electric Steel for Stator Laminations. In Proceedings of the 2021 International Conference on Electromechanical and Energy Systems (SIELMEN), Iasi, Romania, 6 October 2021; pp. 349–352. [Google Scholar]
- Hayslett, S.; Strangas, E. Analytical design of sculpted rotor interior permanent magnet machines. Energies 2021, 14, 5109. [Google Scholar] [CrossRef]
- Gao, L.; Zeng, L.; Yang, J.; Pei, R. Application of grain-oriented electrical steel used in super-high speed electric electrical machines. AIP Adv. 2020, 10, 015127. [Google Scholar] [CrossRef]
- Pei, R.; Zeng, L.; Li, S.; Coombs, T. Studies on grain-oriented silicon steel used in traction electrical machines. In Proceedings of the 2017 20th International Conference on Electrical Electrical Machines and Systems (ICEMS), Sydney, Australia, 11–14 August 2017; pp. 1–5. [Google Scholar]
- Pei, R.; Xu, J.; Gao, L.; Zheng, H.; Zhou, X.; Yuan, Y.; Zeng, L. Studies of magnetic and thermodynamic characteristics iron core under high frequencies for traction electrical machines. AIP Adv. 2020, 10, 035107. [Google Scholar] [CrossRef]
- Hu, A.; Zhang, X.; Wang, L.; Zhang, H.; Xu, S.; Pei, R. Research on New Design and Analysis of Stator Tooth Splicing Structure Using Anisotropic Electrical Steel in an Electric Electrical machine. In Proceedings of the 2022 IEEE 5th International Electrical and Energy Conference (CIEEC), Nanjing, China, 27–29 May 2022; pp. 4341–4346. [Google Scholar]
- Rebhaoui, A.; Randi, S.A.; Demian, C.; Lecointe, J.P. Analyse of Flux Density and Iron Loss Distributions in Segmented Magnetic Circuits Made with Mixed Electrical Steel Grades. IEEE Trans. Magn. 2021, 58, 2000711. [Google Scholar] [CrossRef]
- Elsherbiny, H.; Szamel, L.; Ahmed, M.K.; Elwany, M.A. High Accuracy Modeling of Permanent Magnet Synchronous Motors Using Finite Element Analysis. Mathematics 2022, 10, 3880. [Google Scholar] [CrossRef]
- Nakata, T.; Fujiwara, K.; Takahashi, N.; Nakano, M.; Okamoto, N. An improved numerical analysis of flux distributions in anisotropic materials. IEEE Trans. Magn. 1994, 30, 3395–3398. [Google Scholar] [CrossRef]
- Liu, J.; Basak, A.; Moses, A.J.; Shirkoohi, G.H. A method of anisotropic steel modelling using finite element method with confirmation by experimental results. IEEE Trans. Magn. 1994, 30, 3391–3394. [Google Scholar] [CrossRef]
- Aggarwal, A.; Meier, M.; Strangas, E.; Agapiou, J. Analysis of Modular Stator PMSM Manufactured Using Oriented Steel. Energies 2021, 14, 6583. [Google Scholar] [CrossRef]
- He, Z. Current situation and prospect of electrical steel (continued). China Metall. 2001, 15–17. [Google Scholar]
- Krings, A.; Soulard, J. Overview and comparison of iron loss models for electrical machines. J. Electr. Eng. 2010, 10, 8. [Google Scholar]
- Wang, A.; Tian, B.; Li, Y.; Xu, S.; Zeng, L.; Pei, R. Transient Magnetic Properties of Non-Grain Oriented Silicon Steel under Multi-Physics Field. Materials 2022, 15, 8305. [Google Scholar] [CrossRef]















| Performance | Parameters |
|---|---|
| The rated line voltage | 350 VDC |
| Rated current | 260 A |
| Peak power | ≥145 kW |
| Speed | 4500 rpm |
| Peak torque | 340 Nm |
| The efficiency of | 96% |
| NGO-IPM | GO-IPM | |
|---|---|---|
| Total number of elements | 3668 | 3578 |
| Solver Time Step | 0.00011 s | 0.00011 s |
| Solver Boundaries | Vector Potential (Value: 0) | Vector Potential (Value: 0) |
| Independent | Independent | |
| Dependent (Bdep = −Bind) | Dependent (Bdep = −Bind) |
Publisher’s Note: MDPI stays neutral with regard to jurisdictional claims in published maps and institutional affiliations. |
© 2022 by the authors. Licensee MDPI, Basel, Switzerland. This article is an open access article distributed under the terms and conditions of the Creative Commons Attribution (CC BY) license (https://creativecommons.org/licenses/by/4.0/).
Share and Cite
Li, Z.; Ma, Y.; Hu, A.; Zeng, L.; Xu, S.; Pei, R. Investigation and Application of Magnetic Properties of Ultra-Thin Grain-Oriented Silicon Steel Sheets under Multi-Physical Field Coupling. Materials 2022, 15, 8522. https://doi.org/10.3390/ma15238522
Li Z, Ma Y, Hu A, Zeng L, Xu S, Pei R. Investigation and Application of Magnetic Properties of Ultra-Thin Grain-Oriented Silicon Steel Sheets under Multi-Physical Field Coupling. Materials. 2022; 15(23):8522. https://doi.org/10.3390/ma15238522
Chicago/Turabian StyleLi, Zhiye, Yuechao Ma, Anrui Hu, Lubin Zeng, Shibo Xu, and Ruilin Pei. 2022. "Investigation and Application of Magnetic Properties of Ultra-Thin Grain-Oriented Silicon Steel Sheets under Multi-Physical Field Coupling" Materials 15, no. 23: 8522. https://doi.org/10.3390/ma15238522
APA StyleLi, Z., Ma, Y., Hu, A., Zeng, L., Xu, S., & Pei, R. (2022). Investigation and Application of Magnetic Properties of Ultra-Thin Grain-Oriented Silicon Steel Sheets under Multi-Physical Field Coupling. Materials, 15(23), 8522. https://doi.org/10.3390/ma15238522

