Transfer Parameter Analysis of Chloride Ingress into Concrete Based on Long-Term Exposure Tests in China’s Coastal Region
Abstract
:1. Introduction
2. Materials and Experiments
2.1. Test Materials and Compositions
2.2. Non-Steady-State Rapid Chloride Migration Tests
2.3. Exposure Test
2.4. Concrete Pore Structure Test (MIP)
3. Transfer Parameter Analysis
3.1. Age Effect of Chloride Diffusion Coefficients
3.2. Diffusion and Migration Coefficients at Same Ages
3.3. Concrete Pore Structure at Different Ages
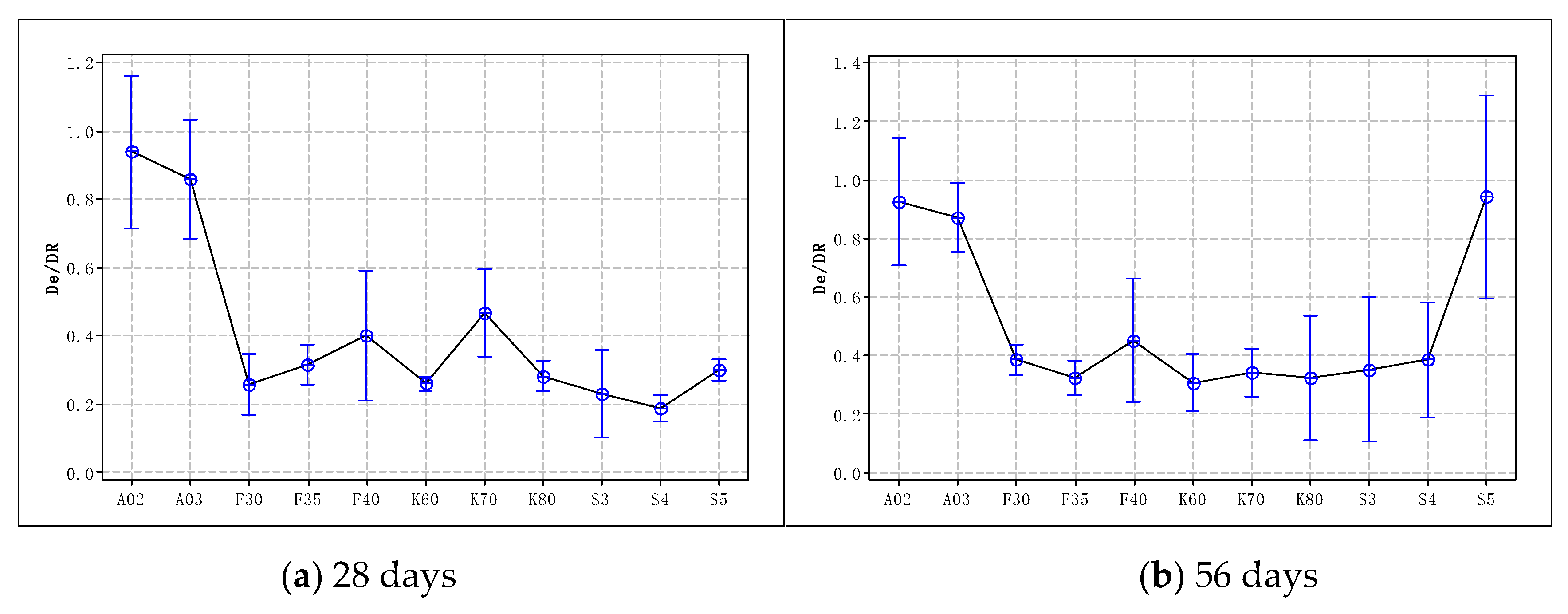
3.4. Relationship between RCM Diffusion and Long-Term Durability
4. Conclusions
- (1)
- The age factor m of the chloride diffusion coefficient is calculated based on the 10 years of data from marine exposure tests in South China.
- (2)
- With the extension of age, the pore diameter distribution of the concrete shifts to the direction of small size. Moreover, using FA or GGBS refines the pore diameter of concrete. At 12-years-old, the gel hole of concrete with FA or GGBS is more than 50% of the total pores.
- (3)
- Chloride diffusion coefficients measured by the electric field accelerated method (RCM) are significantly greater than the natural diffusion coefficients at the same age, being calculated from the long-term exposure test results in South China. Since short-time accelerated test results do not reflect the effect of secondary hydration caused by active admixtures on concrete pore structure and chloride ion adsorption improvement, there is a difference between the two diffusion coefficients, which are more obvious for concrete using FA and GGBS.
- (4)
- The durability rapid test results should be converted to an effective chloride diffusion coefficient in the service lifetime prediction of reinforced concrete structures. The transfer parameter kt is related to the engineering environment conditions, test method, test age, and binder system. When the concrete structures are situated in a high-temperature and high-humidity environment, which is similar to South China, the transfer parameter kt can take the values of 0.9 for Portland cement concrete, 0.25~0.31 (28 d), and 0.32~0.43 (56 d) for FA concrete, and 0.26~0.48 (28 d) and 0.30~0.35 (56 d) for GGBS concrete.
Author Contributions
Funding
Institutional Review Board Statement
Informed Consent Statement
Data Availability Statement
Conflicts of Interest
References
- Zainasallehen, S.; Duraman, S.B. Properties of PFA Concrete at Different Curing Conditions. IOP Conf. Ser. Mater. Sci. Eng. 2018, 431, 052007. [Google Scholar] [CrossRef]
- Runci, A.; Provis, J.; Serdar, M. Microstructure as a key parameter for understanding chloride ingress in alkali-activated mortars. Cem. Concr. Compos. 2022, 134, 104818. [Google Scholar] [CrossRef]
- Cheewaket, T.; Jaturapitakkul, C.; Chalee, W. Concrete durability presented by acceptable chloride level and chloride diffusion coefficient in concrete: 10-year results in marine site. Mater. Struct. 2014, 47, 1501–1511. [Google Scholar] [CrossRef]
- Wang, Y.; Liu, C.; Tan, Y.; Wang, Y.; Li, Q. Chloride binding capacity of green concrete mixed with fly ash or coal gangue in the marine environment. Constr. Build. Mater. 2020, 242, 118006. [Google Scholar] [CrossRef]
- Alexander, M.; Beushausen, H. Durability, service life prediction, and modelling for reinforced concrete structures–review and critique. Cem. Concr. Res. 2019, 122, 17–29. [Google Scholar] [CrossRef]
- Tang, H.; Yang, Y.; Peng, J.; Liu, P.; Zhang, J. Test and Mesoscopic Analysis of Chloride Ion Diffusion of High-Performance-Concrete with Fly Ash and Silica Fume. Coatings 2022, 12, 1095. [Google Scholar] [CrossRef]
- Wang, Y.; Fu, K. Comparisons of instantaneous chloride diffusion coefficients determined by RCM method and chloride natural diffusion test. Const. Build. Mater. 2019, 223, 595–604. [Google Scholar] [CrossRef]
- Bao, J.; Wei, J.; Zhang, P.; Zhuang, Z.; Zhao, T. Experimental and theoretical investigation of chloride ingress into concrete exposed to real marine environment. Cem. Concr. Compos. 2022, 130, 104511. [Google Scholar] [CrossRef]
- Thomas, M.; Bremner, T. Performance of lightweight aggregate concrete containing slag after 25 years in a harsh marine environment. Cem. Concr. Res. 2012, 42, 358–364. [Google Scholar] [CrossRef]
- Moffatt, E.G.; Thomas, M.; Fahim, A. Performance of high-volume fly ash concrete in marine environment. Cem. Concr. Res. 2017, 102, 127–135. [Google Scholar] [CrossRef]
- Zhang, J.; Zhao, J.; Zhang, Y.; Gao, Y.; Zheng, Y. Instantaneous chloride diffusion coefficient and its time dependency of concrete exposed to a marine tidal environment. Constr. Build. Mater. 2018, 167, 225–234. [Google Scholar] [CrossRef]
- Wang, Y.; Wu, L.; Wang, Y.; Li, Q.; Xiao, Z. Prediction model of long-term chloride diffusion into plain concrete considering the effect of the heterogeneity of materials exposed to marine tidal zone. Constr. Build. Mater. 2018, 159, 297–315. [Google Scholar] [CrossRef]
- Wang, J.; Ng, P.; Su, H.; Du, J. Influence of the coupled time and concrete stress effects on instantaneous chloride diffusion coefficient. Const. Build. Mater. 2020, 237, 117645. [Google Scholar] [CrossRef]
- Xu, S.; Li, Q.; Wu, Y.; Dong, L.; Lyu, Y.; Reinhardt, H.W.; Leung, C.K.Y.; Ruiz, G.; Kumar, S.; Hu, S. Results of round-robin testing for determining the double-K fracture parameters for crack propagation in concrete: Technicalreport of the RILEM TC265-TDK. Mater. Struct. 2021, 54, 221. [Google Scholar] [CrossRef]
- Su, L.; Niu, D.; Huang, D.; Luo, Y.; Qiao, H.; Zhang, Y. Chloride diffusion behavior and microstructure of basalt-polypropylene hybrid fiber reinforced concrete in salt spray environment. Constr. Build. Mater. 2022, 324, 126716. [Google Scholar] [CrossRef]
- Wang, R.; He, F.; Chen, C.; Dai, L. Coupling effect of the connected pores and pore solution on chloride ion migration in cement-based materials. Constr. Build. Mater. 2021, 297, 123773. [Google Scholar] [CrossRef]
- Spiesz, P.; Brouwers, H. The apparent and effective chloride migration coefficients obtained in migration tests. Cem. Concr. Res. 2013, 48, 116–127. [Google Scholar] [CrossRef]
- Konečný, P.; Lehner, P.; Ponikiewski, T.; Miera, P. Comparison of Chloride Diffusion Coefficient Evaluation Based on Electrochemical Methods. Procedia Eng. 2017, 190, 193–198. [Google Scholar] [CrossRef]
- Takewaka, K.; Mastumoto, S. Quality and cover thickness of concrete based on the estimation of chloride penetration in marine environments. Spec. Publ. 1988, 109, 381–400. [Google Scholar]
- Thomas, M.D.A.; Bentz, E.C. Life-365: Computer program for predicting the service life and life-cycle costs of reinforced concrete exposed to chlorides. Am. Concr. Inst. Comm. 2001, 365, 1–87. [Google Scholar]
- Wu, L.; Li, W.; Yu, X. Time-dependent chloride penetration in concrete in marine environments. Constr. Build. Mater. 2017, 152, 406–413. [Google Scholar] [CrossRef]
- Ding, Y.; Qin, X.; Zhou, Y.; Liu, J.; Shi, L.; Mu, S. Durability life prediction of reinforced concrete structures under chloride ion erosion--comparison and analysis of classical models. Concrete 2020, 15–20. [Google Scholar] [CrossRef]
- Structural Concrete; New Structural Concrete Findings from University of Natural Resources and Applied Life Science Reported (Fib Models for Modeling of Chloride Ion Ingress and Concrete Carbonation: Levels of Assessment of Input Parameters). J. Technol. 2020, 21, 1377–1384. [CrossRef]
- Zhong, W.; Lu, Z.; Su, Y. Application of Life-365 in the durability design of concrete for seaports. Water Transp. Eng. 2014, 64–68. [Google Scholar] [CrossRef]
- Han, Y.; Xie, D.; Zhang, W.; Wu, W.; Ma, L. Durability design of concrete materials in chloride environment based on software Life-365. Ocean Lake Bull. 2022, 44, 90–96. [Google Scholar] [CrossRef]
- Zhu, Y.; Lin, M.; Meng, F.; Liu, X.; Lin, W. The Hong Kong–Zhuhai–Macao Bridge. Engineering 2019, 5, 10–14. [Google Scholar] [CrossRef]
- Wang, S.; Li, K.; Fan, Z.; Su, Q.; Xiong, J. Countermeasures for 120a service life durability of main concrete structure of Hong Kong-Zhuhai-Macau Bridge. Water Transp. Eng. 2015, 78–84. [Google Scholar] [CrossRef]
- Model Code for Service Life Design; International Federation for Structural Concrete: Lausanne, Switzerland, 2006.





| Chemical Composition (%) | Flexural Strength (MPa) | Compressive Strength (MPa) | ||||||||||
|---|---|---|---|---|---|---|---|---|---|---|---|---|
| SiO2 | Fe2O3 | Al2O3 | CaO | MgO | f-CaO | SO3 | Loss on Ignition | 3 d | 7 d | 3 d | 28 d | |
| A | 21.3 | 3.42 | 5.01 | 65.49 | 2.42 | 1.01 | 1.04 | 2.2 | 6.9 | 9 | 25.1 | 58.5 |
| B | 20.9 | 4.6 | 6.02 | 59.07 | 1.46 | 0.78 | 2.98 | 2.4 | 5.7 | 9.1 | 24.4 | 59.1 |
| Chemical Composition (%) | Density (g/cm3) | Fineness (%) | Water Requirement Ratio | Strength Activity Index | ||||||||
|---|---|---|---|---|---|---|---|---|---|---|---|---|
| SiO2 | Fe2O3 | Al2O3 | CaO | MgO | f-CaO | SO3 | Loss on Ignition | |||||
| A | 60.8 | 5.76 | 24.12 | 3.03 | 0.55 | 0.32 | 0.63 | 3.6 | 2.1 | 6.8 * | 98 | 75 |
| B | 56.3 | 4.92 | 25.78 | 6.91 | 0.76 | 0.31 | 0.3 | 2.9 | 2.2 | 4.9 * | 97 | 72 |
| Chemical Composition (%) | Density (g/cm3) | Specific Surface (m2/kg) | Activity Index (%) | ||||
|---|---|---|---|---|---|---|---|
| SO3 | Cl | Loss on Ignition | 7 d | 28 d | |||
| A | 0.25 | 0.02 | 0.41 | 2.9 | 467 | 87.7 | 96.5 |
| B | 0.19 | 0.06 | 0.49 | 2.8 | 410 | 88 | 98 |
| Mix No. | W/B | Binder (kg/m3) | FA (%) | GGBS (%) | Slump (mm) | 28 Days Strength (MPa) |
|---|---|---|---|---|---|---|
| A02 | 0.40 | 438 | 0 | 0 | 186 | 60.5 |
| A03 | 0.35 | 460 | 0 | 0 | 183 | 66.2 |
| F30 | 0.35 | 457 | 30 | 0 | 188 | 55.7 |
| F35 | 0.35 | 454 | 35 | 0 | 198 | 50.7 |
| F40 | 0.35 | 454 | 40 | 0 | 200 | 51.6 |
| K60 | 0.35 | 434 | 0 | 60 | 200 | 55.5 |
| K70 | 0.35 | 434 | 0 | 70 | 210 | 53.3 |
| K80 | 0.35 | 436 | 0 | 80 | 205 | 42.6 |
| Binder | Cement | Cement + FA | Cement + GGBS |
|---|---|---|---|
| m | 0.32 | 0.38 | 0.50 |
| Binder | Cement | Cement + FA | Cement + GGBS | |
|---|---|---|---|---|
| Model | ||||
| Duracrete [21,22] | 0.37 | 0.93 | 0.60 | |
| Fib [23] | Beta (m a = 0.30,s b = 0.12) | Beta (m a = 0.60, s b = 0.15) | Beta (m a = 0.45, s b = 0.20) | |
| Life365 [24,25] | 0.2 | 0.44–0.52 | 0.54–0.66 | |
| Types of Binder | Concrete Age | 28 Days (10−12 m2/s) | 56 Days (10−12 m2/s) | ||
|---|---|---|---|---|---|
| Mix No. | DR | De | DR | De | |
| Cement | A02 | 9.24 | 8.65 | 7.52 | 6.92 |
| A03 | 7.38 | 6.31 | 5.79 | 5.04 | |
| Cement + FA | F30 | 7.28 | 1.85 | 3.69 | 1.42 |
| F35 | 5.24 | 1.65 | 3.90 | 1.26 | |
| F40 | 6.68 | 1.91 | 3.42 | 1.47 | |
| Cement + GGBS | K60 | 4.46 | 1.16 | 2.92 | 0.89 |
| K70 | 3.56 | 1.65 | 3.36 | 1.14 | |
| K80 | 5.39 | 1.52 | 3.78 | 1.18 | |
| Number | Age | Mean Pore Size (nm) | Total Porosity (%) | Pore Size Distribution (%) | ||||
|---|---|---|---|---|---|---|---|---|
| <10 nm | 10~50 nm | 50~100 nm | 100~1000 nm | >1000 nm | ||||
| A03 | 28d | 47.0 | 12.7 | 8.6 | 25.4 | 14.5 | 16.6 | 28.0 |
| A03 | 0.5a | 21.9 | 13.1 | 15.1 | 33.5 | 5.9 | 11.9 | 33.7 |
| A03 | 12a | 24.3 | 6.0 | 15.4 | 42.5 | 6.0 | 9.0 | 27.1 |
| F30 | 28d | 16.6 | 13.0 | 23.2 | 29.5 | 9.4 | 8.0 | 29.9 |
| F30 | 0.5a | 16.7 | 11.3 | 25.1 | 32.3 | 5.3 | 10.4 | 26.8 |
| F30 | 12a | 8.9 | 6.3 | 60.8 | 10.3 | 2.6 | 7.7 | 8.5 |
| K60 | 28d | 27.8 | 17.8 | 16.0 | 20.1 | 11.8 | 16.1 | 36.0 |
| K60 | 0.5a | 10.4 | 11.1 | 42.5 | 15.7 | 2.7 | 8.7 | 30.4 |
| K60 | 12a | 6.8 | 7.9 | 58.4 | 18.0 | 4.8 | 8.7 | 10.1 |
Publisher’s Note: MDPI stays neutral with regard to jurisdictional claims in published maps and institutional affiliations. |
© 2022 by the authors. Licensee MDPI, Basel, Switzerland. This article is an open access article distributed under the terms and conditions of the Creative Commons Attribution (CC BY) license (https://creativecommons.org/licenses/by/4.0/).
Share and Cite
Fan, Z.; Su, D.; Zhang, Z.; Zhong, M.; Zhang, X.; Xiong, J.; Li, P. Transfer Parameter Analysis of Chloride Ingress into Concrete Based on Long-Term Exposure Tests in China’s Coastal Region. Materials 2022, 15, 8517. https://doi.org/10.3390/ma15238517
Fan Z, Su D, Zhang Z, Zhong M, Zhang X, Xiong J, Li P. Transfer Parameter Analysis of Chloride Ingress into Concrete Based on Long-Term Exposure Tests in China’s Coastal Region. Materials. 2022; 15(23):8517. https://doi.org/10.3390/ma15238517
Chicago/Turabian StyleFan, Zhihong, Dagen Su, Zhijie Zhang, Mingfeng Zhong, Xinxing Zhang, Jianbo Xiong, and Pengping Li. 2022. "Transfer Parameter Analysis of Chloride Ingress into Concrete Based on Long-Term Exposure Tests in China’s Coastal Region" Materials 15, no. 23: 8517. https://doi.org/10.3390/ma15238517
APA StyleFan, Z., Su, D., Zhang, Z., Zhong, M., Zhang, X., Xiong, J., & Li, P. (2022). Transfer Parameter Analysis of Chloride Ingress into Concrete Based on Long-Term Exposure Tests in China’s Coastal Region. Materials, 15(23), 8517. https://doi.org/10.3390/ma15238517

