Crystal Structure and Electrical Properties of Ruthenium-Substituted Calcium Copper Titanate
Abstract
1. Introduction
2. Materials and Methods
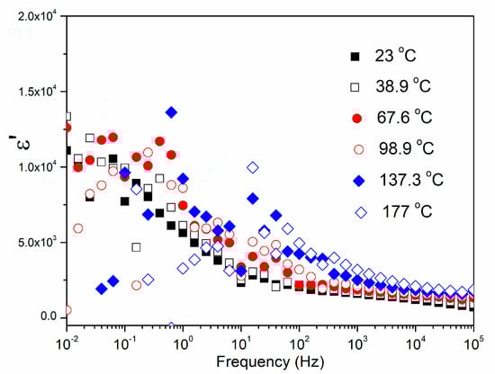
3. Results and Discussion
4. Conclusions
Author Contributions
Funding
Institutional Review Board Statement
Informed Consent Statement
Data Availability Statement
Conflicts of Interest
References
- Kumar, R.; Zulfequar, M.; Sharma, L.; Singh, V.N.; Senguttuvan, T.D. Growth of Nanocrystalline CaCu3Ti4O12 Ceramic by the Microwave Flash Combustion Method: Structural and Impedance Spectroscopic Studies. Cryst. Growth Des. 2015, 15, 1374–1379. [Google Scholar] [CrossRef]
- Pal, K.; Dey, A.; Jana, R.; Ray, P.P.; Bera, P.; Kumar, L.; Mandal, T.K.; Mohanty, P.; Seikh, M.M.; Gayen, A. Citrate Combustion Synthesized Al-Doped CaCu3Ti4O12 Quadruple Perovskite: Synthesis, Characterization and Multifunctional Properties. Phys. Chem. Chem. Phys. 2020, 22, 3499–3511. [Google Scholar] [CrossRef] [PubMed]
- Zhuk, N.A.; Sekushin, N.A.; Krzhizhanovskaya, M.G.; Belyy, V.A.; Korolev, R.I. Electrical Properties of Ni-Doped CaCu3Ti4O12 Ceramics. Solid State Ion. 2021, 364, 115633. [Google Scholar] [CrossRef]
- Thongbai, P.; Jumpatam, J.; Putasaeng, B.; Yamwong, T.; Maensiri, S. The Origin of Giant Dielectric Relaxation and Electrical Responses of Grains and Grain Boundaries of W-Doped CaCu3Ti4O12 Ceramics. J. Appl. Phys. 2012, 112, 114115. [Google Scholar] [CrossRef]
- Marković, S.; Lukić, M.; Jovalekić, Č.; Škapin, S.D.; Suvorov, D.; Uskoković, D. Sintering Effect on Microstructure and Electrical Properties of CaCu3Ti4O12 ceramics. Ceram. Trans. 2013, 240, 337–348. [Google Scholar] [CrossRef]
- Fernández, J.F.; Leret, P.; Romero, J.J.; De Frutos, J.; De La Rubia, M.Á.; Martín-González, M.S.; Costa-Krämer, J.L.; Fierro, J.L.G.; Quesada, A.; García, M.Á. Proofs of the Coexistence of Two Magnetic Contributions in Pure and Doped CaCu3Ti4O12 Giant Dielectric Constant Ceramics. J. Am. Ceram. Soc. 2009, 92, 2311–2318. [Google Scholar] [CrossRef]
- Brizé, V.; Autret-Lambert, C.; Wolfman, J.; Gervais, M.; Gervais, F. Synthesis and Microstructural TEM Investigation of CaCu3Ru4O12 Ceramic and Thin Film. J. Solid State Chem. 2011, 184, 2719–2723. [Google Scholar] [CrossRef]
- Ebbinghaus, S.G.; Weidenkaff, A.; Cava, R.J. Structural Investigations of ACu3Ru4O12 (A = Na, Ca, Sr, La, Nd)—A Comparison between XRD-Rietveld and EXAFS Results. J. Solid State Chem. 2002, 167, 126–136. [Google Scholar] [CrossRef]
- Subramanian, M.A.; Sleight, A.W. ACu3Ti4O12 and ACu3Ru4O12 Perovskites: High Dielectric Constants and Valence Degeneracy. Solid State Sci. 2002, 4, 347–351. [Google Scholar] [CrossRef]
- Shimakawa, Y. A-Site-Ordered Perovskites with Intriguing Physical Properties. Inorg. Chem. 2008, 47, 8562–8570. [Google Scholar] [CrossRef]
- Yanchevskii, O.Z.; V’yunov, O.I.; Belous, A.G.; Kovalenko, L.L. Dielectric Properties of CaCu3Ti4O12 Ceramics Doped with Aluminium and Fluorine. J. Alloys Compd. 2021, 874, 159861. [Google Scholar] [CrossRef]
- Tran, T.T.; Takubo, K.; Mizokawa, T.; Kobayashi, W.; Terasaki, I. Electronic Structure of CaCu3Ru4O12 Studied by X-Ray Photoemission Spectroscopy. Phys. Rev. B-Condens. Matter Mater. Phys. 2006, 73, 8–11. [Google Scholar] [CrossRef]
- Boonlakhorn, J.; Chanlek, N.; Manyam, J.; Srepusharawoot, P.; Krongsuk, S.; Thongbai, P. Enhanced Giant Dielectric Properties and Improved Nonlinear Electrical Response in Acceptor-Donor (Al3+, Ta5+)-Substituted CaCu3Ti4O12 Ceramics. J. Adv. Ceram. 2021, 10, 1243–1255. [Google Scholar] [CrossRef]
- Kobayashi, W.; Terasaki, I.; Takeya, J.I.; Tsukada, I.; Ando, Y. A Novel Heavy-Fermion State in CaCu3Ru4O12. J. Phys. Soc. Jpn. 2004, 73, 2373–2376. [Google Scholar] [CrossRef]
- Manik, S.K.; Pradhan, S.K. Microstructure Characterization of Ball-Mill-Prepared Nanocrystalline CaCu3Ti4O12 by Rietveld Method. Phys. E Low-Dimens. Syst. Nanostruct. 2006, 33, 160–168. [Google Scholar] [CrossRef]
- Miao, X.; Zhang, L.; Wu, L.; Hu, Z.; Shi, L.; Zhou, S. Quadruple Perovskite Ruthenate as a Highly Efficient Catalyst for Acidic Water Oxidation. Nat. Commun. 2019, 10, 1–7. [Google Scholar] [CrossRef]
- Deng, J.; Han, F.; Schwarz, B.; Knapp, M.; Ehrenberg, H.; Hua, W.; Hinterstein, M.; Li, G.; He, Y.; Wang, J.; et al. Dielectric Relaxation and Magnetic Structure of A-Site-Ordered Perovskite Oxide Semiconductor CaCu3Fe2Ta2O12. Inorg. Chem. 2021, 60, 6999–7007. [Google Scholar] [CrossRef]
- Yu, Y.; Wang, Q.; Li, Y.; Rehman, M.U.; Khan, W.Q. Sr and Zr Co-Doped CaCu3Ti4O12 Ceramics with Improved Dielectric Properties. Materials 2022, 15, 4243. [Google Scholar] [CrossRef]
- Li, M.; Cai, G.; Zhang, D.F.; Wang, W.Y.; Wang, W.J.; Chen, X.L. Enhanced dielectric responses in Mg-doped CaCu3Ti4O12. J. Appl. Phys. 2008, 104, 074107. [Google Scholar] [CrossRef]
- Boonlakhorn, J.; Chanlek, N.; Srepusharawoot, P.; Thongbai, P. Improved dielectric properties of CaCu3-xSnxTi4O12 ceramics with high permittivity and reduced loss tangent. J. Mater. Sci. Mater. Electron. 2020, 31, 15599–15607. [Google Scholar] [CrossRef]
- Boonlakhorn, J.; Thongbai, P.; Putasaeng, B.; Kidkhunthod, P.; Maensiri, S.; Chindaprasirt, P. Microstructural evolution, non-Ohmic properties, and giant dielectric response in CaCu3Ti4-xGexO12 ceramics. J. Am. Ceram. Soc. 2017, 100, 3478–3487. [Google Scholar] [CrossRef]
- Xu, D.; Zhu, Y.; Zhang, B.; Yue, X.; Jiao, L.; Song, J.; Zhong, S.; Ma, J.; Bao, L.; Zhang, L. Excellent dielectric performance and nonlinear electrical behaviors of Zr-doped CaCu3Ti4O12 thin films. J. Mater. Sci. Mater. Electron. 2018, 29, 5116–5123. [Google Scholar] [CrossRef]
- Xu, Z.; Qiang, H. Enhanced dielectric properties of Zn and Mn co-doped CaCu3Ti4O12 ceramics. J. Mater. Sci. Mater. Electron. 2017, 28, 376–380. [Google Scholar] [CrossRef]
- Xu, Z.; Qiang, H.; Chen, Y.; Chen, Z. Microstructure and enhanced dielectric properties of yttrium and zirconium co-doped CaCu3Ti4O12 ceramics. Mater. Chem. Phys. 2017, 191, 1–5. [Google Scholar] [CrossRef]
- Boonlakhorn, J.; Chanlek, N.; Manyam, J.; Srepusharawoot, P.; Thongbai, P. Simultaneous two-step enhanced permittivity and reduced loss tangent in Mg/Ge-Doped CaCu3Ti4O12 ceramics. J. Alloys Compd. 2021, 877, 160322. [Google Scholar] [CrossRef]
- Young, R.A. Rietveld Refinement; Oxford University Press: Oxford, UK, 1993. [Google Scholar]
- Rodriguez-Carvajal, J. FullProf2k, Version 2.40-May 2005; LLB JRC Laboratory, Léon Brillouin (CEA–CNRS), CEA–Sarclay: Gif-sur-Yvette, France, 2005.
- Rodríguez-Carvajal, J. FULLPROF: A Program for Rietveld Refinement and Pattern Matching Analysis. In Proceedings of the Satellite Meeting on Powder Diffraction of the XV Congress of the IUCr, Toulouse, France, 16–19 July 1990; p. 127. [Google Scholar] [CrossRef]
- Roisnel, T.; Rodríquez-Carvajal, J. WinPLOTR: A Windows Tool for Powder Diffraction Pattern Analysis. Mater. Sci. Forum 2001, 378–381, 118–123. [Google Scholar] [CrossRef]
- Garvey, R.G. LSUCRI Least Squares Unit Cell Refinement for the Personal Computer. Powder Diffr. 1986, 1, 114–116. [Google Scholar]
- Wang, Y.; Klenk, M.; Page, K.; Lai, W. Local Structure and Dynamics of Lithium Garnet Ionic Conductors: A Model Material Li5La3Ta2O12. Chem. Mater. 2014, 26, 5613–5624. [Google Scholar] [CrossRef]
- Takegami, D.; Kuo, C.Y.; Kasebayashi, K.; Kim, J.G.; Chang, C.F.; Liu, C.E.; Wu, C.N.; Kasinathan, D.; Altendorf, S.G.; Hoefer, K.; et al. CaCu3Ru4O12: A High-Kondo-Temperature Transition-Metal Oxide. Phys. Rev. X 2022, 12, 11017. [Google Scholar] [CrossRef]
- Liu, H.; Cao, Y.; Xu, Y.; Gawryluk, D.J.; Pomjakushina, E.; Gao, S.Y.; Dudin, P.; Shi, M.; Yan, L.; Yang, Y.F.; et al. Observation of Flat Bands Due to Band Hybridization in the 3d -Electron Heavy-Fermion Compound CaCu3Ru4O12. Phys. Rev. B 2020, 102, 1–7. [Google Scholar] [CrossRef]
- Sangwong, N.; Somphan, W.; Thongbai, P.; Yamwong, T.; Meansiri, S. Electrical Responses and Dielectric Relaxations in Giant Permittivity NaCu3Ti3TaO12 Ceramics. Appl. Phys. A Mater. Sci. Process. 2012, 108, 385–392. [Google Scholar] [CrossRef]
- Dulian, P.; Bąk, W.; Piz, M.; Garbarz-Glos, B.; Sachuk, O.V.; Wieczorek-Ciurowa, K.; Lisińska-Czekaj, A.; Czekaj, D. Mg2+ Doping Effects on the Structural and Dielectric Properties of CaCu3Ti4O12 Ceramics Obtained by Mech anochemical Synthesis. Materials 2021, 14, 1187. [Google Scholar] [CrossRef] [PubMed]
- Gunther, A.; Riegg, S.; Kraetschmer, W.; Wehrmeister, S.; Buttgen, N.; Scheidt, E.W.; Von Nidda, H.A.K.; Eremin, M.V.; Arkhipova, E.A.; Eremina, R.M.; et al. Electronic Correlations and Crystal-Field Effects in RCu3Ru4O12 (R=La, Pr, Nd) electronic correlations and crystal-field. Phys. Rev. B 2020, 102, 1–18. [Google Scholar] [CrossRef]
- Krohns, S.; Lu, J.; Lunkenheimer, P.; Brizé, V.; Autret-Lambert, C.; Gervais, M.; Gervais, F.; Bourée, F.; Porcher, F.; Loidl, A. Correlations of Structural, Magnetic, and Dielectric Properties of Undoped and Doped CaCu3Ti4O12. Eur. Phys. J. B 2009, 72, 173–182. [Google Scholar] [CrossRef]
- Marković, S.; Jovalekić, C.; Veselinović, L.; Mentus, S.; Uskoković, D. Electrical Properties of Barium Titanate Stannate Functionally Graded Materials. J. Eur. Ceram. Soc. 2010, 30, 1427–1435. [Google Scholar] [CrossRef]











| Refined Parameters | Investigated Powders Space Group | ||
|---|---|---|---|
| CaCu3Ti4O12 | CaCu3Ti3RuO12 | CaCu3Ru4O12 | |
| Lattice parameters | |||
| a (Å) | 7.3954(2) | 7.4016(5) | 7.4209(6) |
| V (Å3) | 404.46(8) | 405.50(5) | 408.66(5) |
| Refined fractional coordinates and isotropic displacement parameters B (Å2) | |||
| x | 0.0 | 0.0 | 0.0 |
| y | 0.0 | 0.0 | 0.0 |
| z | 0.0 | 0.0 | 0.0 |
| B | 1.082(8) | 1.36(3) | 0.76(9) |
| Cu | |||
| x | 0.5 | 0.5 | 0.5 |
| y | 0.5 | 0.5 | 0.5 |
| z | 0.0 | 0.0 | 0.0 |
| B | 1.974(3) | 0.974(3) | 0.76(6) |
| Ti/Ru | |||
| x | 0.25 | 0.25 | 0.25 |
| y | 0.25 | 0.25 | 0.25 |
| z | 0.25 | 0.25 | 0.25 |
| B | 0.657(5) | 0.657(5) | 0.76 |
| O | |||
| x | 0.3043(8) | 0.3044(4) | 0.3063(7) |
| y | 0.1805(8) | 0.1817(5) | 0.1839(7) |
| z | 0.0 | 0.0 | 0.0 |
| B | 0.775(3) | 0.942(5) | 0.76(3) |
| Refined Parameters | Investigated Powders Space Group | ||
|---|---|---|---|
| CaCu3Ti4O12 | CaCu3Ti3RuO12 | CaCu3Ru4O12 | |
| Interatomic distances (Å) | |||
| Ca―O | 2.618(5) | 2.623(7) | 2.649(5) |
| Cu―O | 1.960(4) | 1.985(4) | 1.985(4) |
| Ti/Ru―O | 1.953(5) | 1.957(5) | 1.965(5) |
| Agreement factors (%) | |||
| Rwp | 16.0 | 13.7 | 14.50 |
| RB | 10.9 | 12.6 | 9.75 |
| Χ2 | 0.9 | 2.72 | 3.55 |
| Frequency (kHz) | σ (S·cm−1) | ||
|---|---|---|---|
| CCTO | CCT3RO | CCRO | |
| 100 | 1.1 × 10−4 | 6.0 | 7.1 |
| 10 | 2.6 × 10−5 | 11.6 | 21.0 |
| 1 | 5.0 × 10−6 | 11.3 | 19.0 |
| 0.1 | 4.0 × 10−7 | 11.2 | 18.6 |
| Temperature (°C) | Specific Electrical Resistivity (Ω·cm) | Specific Electrical Conductivity (S·cm−1) |
|---|---|---|
| 177.0 | 4.85 × 105 | 0.22 × 10−3 |
| 137.3 | 2.17 × 104 | 0.48 × 10−4 |
| 98.9 | 9.39 × 104 | 0.11 × 10−4 |
| 67.6 | 2.72 × 105 | 0.35 × 10−5 |
| 38.9 | 8.96 × 105 | 0.12 × 10−5 |
| 23.0 | 1.47 × 106 | 0.72 × 10−6 |
| Frequency (kHz) | Temperature (°C) | |||||
|---|---|---|---|---|---|---|
| 23.0 | 38.9 | 67.6 | 98.9 | 137.3 | 177.0 | |
| ε’ | ||||||
| 100 | 712.7 | 916.4 | 1330.2 | 1569.2 | 1753.9 | 1867.9 |
| 10 | 1295.9 | 1344.3 | 1507.3 | 1698.5 | 1849.9 | 2093.9 |
| 1 | 1597.9 | 1687.0 | 1875.2 | 2868.6 | 2519.8 | 3178.8 |
| 0.1 | 2050.9 | 2170.0 | 2140.3 | 3195.5 | 4249.7 | 4950.5 |
| tgδ | ||||||
| 100 | 0.413 | 0.343 | 0.220 | 0.153 | 0.115 | 0.134 |
| 10 | 0.267 | 0.219 | 0.169 | 0.167 | 0.237 | 0.406 |
| 1 | 0.184 | 0.183 | 0.230 | 0.332 | 0.643 | 1.484 |
| 0.1 | 0.310 | 0.402 | 0.750 | 0.978 | 2.296 | 7.681 |
Publisher’s Note: MDPI stays neutral with regard to jurisdictional claims in published maps and institutional affiliations. |
© 2022 by the authors. Licensee MDPI, Basel, Switzerland. This article is an open access article distributed under the terms and conditions of the Creative Commons Attribution (CC BY) license (https://creativecommons.org/licenses/by/4.0/).
Share and Cite
Veselinović, L.; Mitrić, M.; Mančić, L.; Jardim, P.M.; Škapin, S.D.; Cvjetićanin, N.; Milović, M.D.; Marković, S. Crystal Structure and Electrical Properties of Ruthenium-Substituted Calcium Copper Titanate. Materials 2022, 15, 8500. https://doi.org/10.3390/ma15238500
Veselinović L, Mitrić M, Mančić L, Jardim PM, Škapin SD, Cvjetićanin N, Milović MD, Marković S. Crystal Structure and Electrical Properties of Ruthenium-Substituted Calcium Copper Titanate. Materials. 2022; 15(23):8500. https://doi.org/10.3390/ma15238500
Chicago/Turabian StyleVeselinović, Ljiljana, Miodrag Mitrić, Lidija Mančić, Paula M. Jardim, Srečo Davor Škapin, Nikola Cvjetićanin, Miloš D. Milović, and Smilja Marković. 2022. "Crystal Structure and Electrical Properties of Ruthenium-Substituted Calcium Copper Titanate" Materials 15, no. 23: 8500. https://doi.org/10.3390/ma15238500
APA StyleVeselinović, L., Mitrić, M., Mančić, L., Jardim, P. M., Škapin, S. D., Cvjetićanin, N., Milović, M. D., & Marković, S. (2022). Crystal Structure and Electrical Properties of Ruthenium-Substituted Calcium Copper Titanate. Materials, 15(23), 8500. https://doi.org/10.3390/ma15238500

