Electrical Resistivity and Joule Heating Characteristics of Cementitious Composites Incorporating Multi-Walled Carbon Nanotubes and Carbon Fibers
Abstract
1. Introduction
2. Materials and Methods
2.1. Materials
2.1.1. Cement
2.1.2. Electrically Conductive Media
2.2. Methods
2.2.1. Effect of CNT and CF Additions on the Electrical Resistivity
2.2.2. Effect of Apparent Crack Width on the Electrical Resistivity with CNT and CF Additions
2.2.3. Joule Heating Characteristics with CNT and CF Additions
2.2.4. Flexural and Compressive Strengths
3. Results
3.1. Effect of CNT and CF Additions on the Electrical Resistivity of Cementitious Composites
3.2. Effect of CNT and CF Additions on the Joule Heating Characteristics of Cementitious Composites
3.3. Effect of Apparent Crack Width on the Electrical Resistivity of Cementitious Composites with CNT and CF Additions
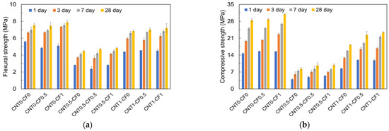
3.4. Effect of CNT and CF Additions on the Compressive and Flexural Strengths of Cementitious Composites
4. Conclusions
- The more CNTs added, the lower the electrical resistivity obtained. The addition of CF reduces the electrical resistivity further because CF helps create a more stable electrically conductive network in the matrix.
- In instances of similar levels of electrical potential, the temperature rise becomes quicker and greater as the electrical resistivity decreases. This observation is well described by Joule’s law of heating.
- Adding combinations of CF with CNT can be an effective means to improve the heating performance in contrast to adding either CNT or CF alone.
- Adding CF helps maintain continuous electrical pathways across cracks when the crack width is kept tighter than one millimeter.
- Adding up to 0.5% CNT—chemically dispersed using a surfactant—adversely affects both compressive and flexural strengths because, at such low dosage levels, the effect of the chemical surfactant (i.e., void formation) becomes more dominant than the filler effect offered by CNT particulates. As more CNT is added by up to 1%, however, the strengths can be mostly recovered. Adding CF alone rather improves the compressive and flexural strengths.
Author Contributions
Funding
Conflicts of Interest
References
- Winter Driving Statistics in 2021. Available online: https://www.thezebra.com/winter-driving-statistics/ (accessed on 20 April 2022).
- Icy Road Safety. Available online: https://icyroadsafety.com/ (accessed on 26 May 2022).
- Winter Driving. Available online: https://en.wikivoyage.org/wiki/Winter_driving/ (accessed on 10 May 2022).
- Shi, X.; Akin, M.; Pan, T.; Fay, L.; Liu, Y.; Yang, Z. Deicer Impacts on Pavement Materials: Introduction and Recent Developments. Open Civ. Eng. J. 2009, 3, 16–27. [Google Scholar] [CrossRef]
- Walker, S.E.; Robbins, G.; Helton, A.H.; Lawrence, B.A. Road Salt Inputs Alter Biogeochemistry but not Plant Community Composition in Exurban Forested Wetlands. Ecosphere 2021, 12, e03814. [Google Scholar] [CrossRef]
- Valenza, J.J., II; Scherer, G.W. A Review of Salt Scaling: I. Phenomenology. Cem. Concr. Res. 2007, 37, 1007–1021. [Google Scholar] [CrossRef]
- Jang, J.W.; Iwasaki, I.; Gillis, H.J.; Weiblen, P.W. Effect of Corrosion-Inhibitor-Added Deicing Salts and Salt Substitutes on Reinforcing Steel: I. Influence of Concentration. Adv. Cem. Based Mater. 1995, 2, 145–151. [Google Scholar] [CrossRef]
- Li, Y.; Fang, Y.; Seeley, N.; Jungwirth, S.; Jackson, E.; Shi, X. Corrosion by Chloride Deicers on Highway Maintenance Equipment: Renewed Perspective and Laboratory Investigation. Transp. Res. Rec. 2013, 2361, 106–113. [Google Scholar] [CrossRef]
- Wan, J.; Wu, S.; Xiao, Y.; Fang, M.; Song, W.; Pan, P.; Zhang, D. Enhanced Ice and Snow Melting Efficiency of Steel Slag Based Ultra-Thin Friction Courses with Steel Fiber. J. Clean. Prod. 2019, 236, 117613. [Google Scholar] [CrossRef]
- Liu, Z.; Yang, X.; Wang, Y.; Luo, S. Engineering Properties and Microwave Heating Induced Ice-melting Performance of Asphalt Mixture with Activated Carbon Powder Filler. Constr. Build. Mater. 2019, 197, 50–62. [Google Scholar] [CrossRef]
- Li, C.; Ge, H.; Sun, D.; Zhou, X. Novel Conductive Wearing Course Using a Graphite, Carbon Fiber, and Epoxy Resin Mixture for Active De-icing of Asphalt Concrete Pavement. Mater. Struct. 2021, 54, 48. [Google Scholar] [CrossRef]
- Kim, G.M.; Naeem, F.; Kim, H.K.; Lee, H.K. Heating and Heat-Dependent Mechanical Characteristics of CNT-embedded Cementitious Composites. Compos. Struct. 2016, 136, 162–170. [Google Scholar] [CrossRef]
- Wu, J.; Liu, J.; Yang, F. Three-Phase Composite Conductive Concrete for Pavement Deicing. Constr. Build. Mater. 2015, 75, 129–135. [Google Scholar] [CrossRef]
- García, Á.; Schlangen, E.; Van de Ven, M.; Liu, Q. Electrical Conductivity of Asphalt Mortar Containing Conductive Fibers and Fillers. Constr. Build. Mater. 2009, 23, 3175–3181. [Google Scholar] [CrossRef]
- Gomis, J.; Galao, O.; Gomis, V.; Zornoza, E.; Garcés, P. Self-Heating and Deicing Conductive Cement. Experimental Study and Modeling. Constr. Build. Mater. 2015, 75, 442–449. [Google Scholar] [CrossRef]
- Sassani, A.; Arabzadeh, A.; Ceylan, H.; Kim, S.; Sajed Sadati, S.M.; Gopalakrishnan, K.; Taylor, P.C.; Abdualla, H. Carbon Fiber-Based Electrically Conductive Concrete for Salt-free Deicing of Pavements. J. Clean. Prod. 2018, 203, 799–809. [Google Scholar] [CrossRef]
- Sassani, A.; Ceylan, H.; Kim, S.; Arabzadeh, A.; Taylor, P.C.; Gopalakrishnan, K. Development of Carbon Fiber-modified Electrically Conductive Concrete for Implementation in Des Moines International Airport. Case Stud. Constr. Mater. 2018, 8, 277–291. [Google Scholar] [CrossRef]
- Nahvi, A.; Sajed Sadati, S.M.; Cetin, K.; Ceylan, H.; Sassani, A.; Kim, S. Towards Resilient Infrastructure Systems for Winter Weather Events: Integrated Stochastic Economic Evaluation of Electrically Conductive Heated Airfield Pavements. Sustain. Cities Soc. 2018, 41, 195–204. [Google Scholar] [CrossRef]
- Wang, B.; Han, Y.; Liu, S. Effect of Highly Dispersed Carbon Nanotubes on the Flexural Toughness of Cement-based Composites. Constr Build Mater. 2013, 46, 8–12. [Google Scholar] [CrossRef]
- Baloch, W.L.; Khushnood, R.A.; Khaliq, W. Influence of Multi-walled Carbon Nanotubes on the Residual Performance of Concrete Exposed to High Temperatures. Constr. Build. Mater. 2018, 185, 44–56. [Google Scholar] [CrossRef]
- Saez de Ibarra, Y.; Gaitero, J.; Erkizia, E.; Campillo, I. Atomic Force Microscopy and Nanoindentation of Cement Pastes with Nanotube Dispersions. Phys. Status Solidi A 2006, 203, 1076–1081. [Google Scholar] [CrossRef]
- Ahmad, F.; Qureshi, M.I.; Ahmad, Z. Influence of Nano Graphite Platelets on the Behavior of Concrete with E-waste Plastic Coarse Aggregates. Constr. Build. Mater. 2022, 316, 125980. [Google Scholar] [CrossRef]
- Rahaman, M.S.A.; Ismail, A.F.; Mustafa, A. A Review of Heat Treatment on Polyacrylonitrile Fiber. Polym. Degrad. Stab. 2007, 92, 1421–1432. [Google Scholar] [CrossRef]
- Stynoski, P.; Mondal, P.; Marsh, C. Effects of Silica Additives on Fracture Properties of Carbon Nanotube and Carbon Fiber Reinforced Portland Cement Mortar. Cem. Concr. Compos. 2015, 55, 232–240. [Google Scholar] [CrossRef]
- Lu, D.; Wang, D.; Zhong, J. Highly Conductive and Sensitive Piezoresistive Cement Mortar with Graphene Coated Aggregates and Carbon Fiber. Cem. Concr. Compos. 2022, 134, 104731. [Google Scholar] [CrossRef]
- You, I.; Yoo, D.Y.; Kim, S.; Kim, M.J.; Zi, G. Electrical and Self-sensing Properties of Ultra-high-performance Fiber-reinforced Concrete with Carbon Nanotubes. Sensors 2017, 17, 2481. [Google Scholar] [CrossRef]
- Song, C.; Choi, S. Moisture-dependent Piezoresistive Responses of CNT-embedded Cementitious Composites. Compos. Struct. 2017, 170, 103–110. [Google Scholar] [CrossRef]
- Hong, G.; Choi, S.; Yoo, D.-Y.; Oh, T.; Song, Y.; Yeon, J.H. Moisture Dependence of Electrical Resistivity in Under-Percolated Cement-based Composites with Multi-walled Carbon Nanotubes. J. Mater. Res. Technol. 2022, 16, 47–58. [Google Scholar] [CrossRef]
- Demircilioğlu, E.; Teomete, E.; Schlangen, E.; Baeza, F.J. Temperature and Moisture Effects on Electrical Resistance and Strain Sensitivity of Smart Concrete. Constr. Build. Mater. 2019, 224, 420–427. [Google Scholar] [CrossRef]
- Ding, S.; Dong, S.; Ashour, A.; Han, B. Development of Sensing Concrete: Principles, Properties and Its Applications. J. Appl. Phys. 2019, 126, 241101. [Google Scholar] [CrossRef]
- Han, B.; Yu, X.; Ou, J. Effect of Water Content on the Piezoresistivity of MWCNT/Cement Composites. J. Mater. Sci. 2010, 45, 3714–3719. [Google Scholar] [CrossRef]
- Lee, H.; Park, S.; Cho, S.; Chung, W. Correlation Analysis of Heating Performance and Electrical Energy of Multi-walled Carbon Nanotubes Cementitious Composites at Sub-zero Temperatures. Compos. Struct. 2020, 238, 111977. [Google Scholar] [CrossRef]
- Lataste, J.F.; Sirieix, C.; Breysse, D.; Frappa, M. Electrical Resistivity Measurement Applied to Cracking Assessment on Reinforced Concrete Structures in Civil Engineering. NDT E Int. 2003, 36, 383–394. [Google Scholar] [CrossRef]
- Morsy, M.; Alsayed, S.; Aqel, M. Hybrid Effect of Carbon Nanotube and Nano-clay on Physico-mechanical Properties of Cement Mortar. Constr. Build. Mater. 2011, 25, 145–149. [Google Scholar] [CrossRef]
- Tragazikis, I.K.; Dassios, K.G.; Exarchos, D.A.; Dalla, P.T.; Matikas, T.E. Acoustic Emission Investigation of the Mechanical Performance of Carbon Nanotube-modified Cement-Based Mortar. Constr. Build. Mater. 2016, 122, 518–524. [Google Scholar] [CrossRef]
- Alsadey, S. Influence of Superplasticizer on Strength of Concrete. Int. J. Res. Eng. Technol. 2012, 1, 164–166. [Google Scholar]
- Manzur, T.; Yazdani, N. Strength Enhancement of Cement Mortar with Carbon Nanotubes: Early Results and Potential. Transp. Res. Rec. 2010, 2142, 102–108. [Google Scholar] [CrossRef]
- Lee, S.J.; Ahn, D.; You, I.; Yoo, D.Y.; Kang, Y.S. Wireless Cement-based Sensor for Self-monitoring of Railway Concrete Infrastructures. Autom. Constr. 2020, 119, 103323. [Google Scholar] [CrossRef]
- Siddique, R.; Mehta, A. Effect of Carbon Nanotubes on Properties of Cement Mortars. Constr. Build. Mater. 2014, 50, 116–129. [Google Scholar] [CrossRef]
- Cerro-Prada, E.; Pacheco-Torres, R.; Varela, F. Effect of Multi-walled Carbon Nanotubes on Strength and Electrical Properties of Cement Mortar. Materials 2021, 14, 79. [Google Scholar] [CrossRef]
- Chen, B.; Liu, J. Residual Strength of Hybrid-Fiber-Reinforced High-Strength Concrete after Exposure to High Temperature. Cem. Concr. Res. 2004, 34, 1065–1069. [Google Scholar] [CrossRef]
- Raza, S.S.; Qureshi, L.A.; Ali, B.; Raza, A.; Khan, M.M. Effect of Different Fiber (Steel Fibers, Glass Fibers, and Carbon Fibers) on Mechanical Properties of Reactive Powder Concrete. Struct. Concr. 2021, 22, 334–346. [Google Scholar] [CrossRef]





















| Chemical Composition (%) | Fineness (m2/kg) | Specific Gravity (-) | |||||||
|---|---|---|---|---|---|---|---|---|---|
| SiO2 | Al2O3 | Fe2O3 | CaO | MgO | SO3 | K2O | Na2O | ||
| 19.7 | 5.33 | 2.90 | 61.5 | 3.81 | 2.54 | 0.86 | 0.18 | 370 | 3.15 |
| Mixture | Effective w/c | Weight per Unit Volume (kg/m3) | ||||
|---|---|---|---|---|---|---|
| Cement | Fine Aggregate | Water | CNT Suspension | CF | ||
| CNT0-CF0 | 0.485 | 597.7 | 1434.5 | 269.0 | 0 | 0 |
| CNT0-CF0.5 | 0.485 | 596.7 | 1432.1 | 268.5 | 0 | 2.98 |
| CNT0-CF1 | 0.485 | 595.7 | 1429.7 | 268.1 | 0 | 5.96 |
| CNT0.5-CF0 | 0.485 | 595.9 | 1430.2 | 171.8 | 99.3 | 0 |
| CNT0.5-CF0.5 | 0.485 | 594.9 | 1427.8 | 171.5 | 99.2 | 2.97 |
| CNT0.5-CF1 | 0.485 | 593.9 | 1425.4 | 171.2 | 99.0 | 5.94 |
| CNT1-CF0 | 0.485 | 594.1 | 1425.8 | 75.3 | 198.0 | 0 |
| CNT1-CF0.5 | 0.485 | 593.2 | 1423.7 | 75.1 | 197.7 | 2.97 |
| CNT1-CF1 | 0.485 | 592.2 | 1421.3 | 75.0 | 197.4 | 5.92 |
Publisher’s Note: MDPI stays neutral with regard to jurisdictional claims in published maps and institutional affiliations. |
© 2022 by the authors. Licensee MDPI, Basel, Switzerland. This article is an open access article distributed under the terms and conditions of the Creative Commons Attribution (CC BY) license (https://creativecommons.org/licenses/by/4.0/).
Share and Cite
Salim, M.U.; Nishat, F.M.; Oh, T.; Yoo, D.-Y.; Song, Y.; Ozbakkaloglu, T.; Yeon, J.H. Electrical Resistivity and Joule Heating Characteristics of Cementitious Composites Incorporating Multi-Walled Carbon Nanotubes and Carbon Fibers. Materials 2022, 15, 8055. https://doi.org/10.3390/ma15228055
Salim MU, Nishat FM, Oh T, Yoo D-Y, Song Y, Ozbakkaloglu T, Yeon JH. Electrical Resistivity and Joule Heating Characteristics of Cementitious Composites Incorporating Multi-Walled Carbon Nanotubes and Carbon Fibers. Materials. 2022; 15(22):8055. https://doi.org/10.3390/ma15228055
Chicago/Turabian StyleSalim, Muhammad Usama, Farzana Mustari Nishat, Taekgeun Oh, Doo-Yeol Yoo, Yooseob Song, Togay Ozbakkaloglu, and Jung Heum Yeon. 2022. "Electrical Resistivity and Joule Heating Characteristics of Cementitious Composites Incorporating Multi-Walled Carbon Nanotubes and Carbon Fibers" Materials 15, no. 22: 8055. https://doi.org/10.3390/ma15228055
APA StyleSalim, M. U., Nishat, F. M., Oh, T., Yoo, D.-Y., Song, Y., Ozbakkaloglu, T., & Yeon, J. H. (2022). Electrical Resistivity and Joule Heating Characteristics of Cementitious Composites Incorporating Multi-Walled Carbon Nanotubes and Carbon Fibers. Materials, 15(22), 8055. https://doi.org/10.3390/ma15228055

