Efficient Photocatalytic Hydrogen Production over NiS-Modified Cadmium and Manganese Sulfide Solid Solutions
Abstract
1. Introduction
2. Materials and Methods
2.1. Photocatalyst Synthesis
2.1.1. Cd1−xMnxS Series
2.1.2. NiS/Mn0.6 HT120 Series
2.1.3. Pt/Mn0.6 HT120 Photocatalyst
2.2. Physical and Chemical Methods
2.3. Photocatalytic Experiments
3. Results and Discussions
3.1. Photocatalyst Characterization
3.1.1. XRD Analysis
3.1.2. UV-Vis Diffuse Reflectance Spectroscopy Analysis
3.1.3. HRTEM and Element Mapping Analysis
3.2. Photocatalytic Activity
3.3. Stability Tests
4. Conclusions
Supplementary Materials
Author Contributions
Funding
Institutional Review Board Statement
Data Availability Statement
Acknowledgments
Conflicts of Interest
References
- Kranz, C.; Wachtler, M. Characterizing Photocatalysts for Water Splitting: From Atoms to Bulk and from Slow to Ultrafast Processes. Chem. Soc. Rev. 2021, 50, 1407–1437. [Google Scholar] [CrossRef] [PubMed]
- Mella, P. Global Warming: Is It (Im)Possible to Stop It? The Systems Thinking Approach. Energies 2022, 15, 705. [Google Scholar] [CrossRef]
- Valeeva, A.A.; Dorosheva, I.B.; Kozlova, E.A.; Kamalov, R.V.; Vokhmintsev, A.S.; Selishchev, D.S.; Saraev, A.A.; Gerasimov, E.Y.; Weinstein, I.A.; Rempel, A.A. Influence of Calcination on Photocatalytic Properties of Nonstoichiometric Titanium Dioxide Nanotubes. J. Alloys Compd. 2019, 796, 293–299. [Google Scholar] [CrossRef]
- Vostakola, F.; Salamatinia, M.; Horri, A.; Fallah Vostakola, M.; Salamatinia, B.; Horri, B.A. A Review on Recent Progress in the Integrated Green Hydrogen Production Processes. Energies 2022, 15, 1209. [Google Scholar] [CrossRef]
- Chen, W.H.; Lee, J.E.; Jang, S.H.; Lam, S.S.; Rhee, G.H.; Jeon, K.J.; Hussain, M.; Park, Y.K. A Review on the Visible Light Active Modified Photocatalysts for Water Splitting for Hydrogen Production. Int. J. Energy Res. 2022, 46, 5467–5477. [Google Scholar] [CrossRef]
- Estévez, R.A.; Espinoza, V.; Ponce Oliva, R.D.; Vásquez-Lavín, F.; Gelcich, S. Multi-Criteria Decision Analysis for Renewable Energies: Research Trends, Gaps and the Challenge of Improving Participation. Sustainability 2021, 13, 3515. [Google Scholar] [CrossRef]
- Feng, C.; Wu, Z.P.; Huang, K.W.; Ye, J.; Zhang, H. Surface Modification of 2D Photocatalysts for Solar Energy Conversion. Adv. Mater. 2022, 34, 2200180. [Google Scholar] [CrossRef]
- Pan, J.; Shen, S.; Zhou, W.; Tang, J.; Ding, H.; Wang, J.; Chen, L.; Au, C.T.; Yin, S.F. Recent Progress in Photocatalytic Hydrogen Evolution. Wuli Huaxue Xuebao/Acta Phys.-Chim. Sin. 2020, 36, 1905068. [Google Scholar] [CrossRef]
- Vasilchenko, D.; Zhurenok, A.; Saraev, A.; Gerasimov, E.; Cherepanova, S.; Tkachev, S.; Plusnin, P.; Kozlova, E. Highly Efficient Hydrogen Production under Visible Light over G-C3N4-Based Photocatalysts with Low Platinum Content. Chem. Eng. J. 2022, 445, 136721. [Google Scholar] [CrossRef]
- Stavitskaya, A.; Glotov, A.; Pouresmaeil, F.; Potapenko, K.; Sitmukhanova, E.; Mazurova, K.; Ivanov, E.; Kozlova, E.; Vinokurov, V.; Lvov, Y. CdS Quantum Dots in Hierarchical Mesoporous Silica Templated on Clay Nanotubes: Implications for Photocatalytic Hydrogen Production. ACS Appl. Nano Mater. 2022, 5, 605–614. [Google Scholar] [CrossRef]
- Pandey, P.; Ingole, P.P. Emerging Photocatalysts for Hydrogen Production. Green Photocatalytic Semicond. 2022, 647–671. [Google Scholar] [CrossRef]
- Sahani, S.; Malika Tripathi, K.; Il Lee, T.; Dubal, D.P.; Wong, C.P.; Chandra Sharma, Y.; Young Kim, T. Recent Advances in Photocatalytic Carbon-Based Materials for Enhanced Water Splitting under Visible-Light Irradiation. Energy Convers. Manag. 2022, 252, 115133. [Google Scholar] [CrossRef]
- Prusty, D.; Paramanik, L.; Parida, K. Recent Advances on Alloyed Quantum Dots for Photocatalytic Hydrogen Evolution: A Mini-Review. Energy Fuels 2021, 35, 4670–4686. [Google Scholar] [CrossRef]
- Wang, Y.Y.; Chen, Y.X.; Barakat, T.; Zeng, Y.J.; Liu, J.; Siffert, S.; Su, B.L. Recent Advances in Non-Metal Doped Titania for Solar-Driven Photocatalytic/Photoelectrochemical Water-Splitting. J. Energy Chem. 2022, 66, 529–559. [Google Scholar] [CrossRef]
- Fang, B.; Xing, Z.; Sun, D.; Li, Z.; Zhou, W. Hollow Semiconductor Photocatalysts for Solar Energy Conversion. Adv. Powder Mater. 2022, 1, 100021. [Google Scholar] [CrossRef]
- Zhu, H.; Ding, R.; Dou, X.; Zhou, J.; Luo, H.; Duan, L.; Zhang, Y.; Yu, L. Metal Mesh and Narrow Band Gap Mn0.5Cd0.5S Photocatalyst Cooperation for Efficient Hydrogen Production. Materials 2022, 15, 5861. [Google Scholar] [CrossRef]
- Li, H.; Wang, Z.; He, Y.; Meng, S.; Xu, Y.; Chen, S.; Fu, X. Rational Synthesis of MnxCd1-XS for Enhanced Photocatalytic H2 Evolution: Effects of S Precursors and the Feed Ratio of Mn/Cd on Its Structure and Performance. J. Colloid Interface Sci. 2019, 535, 469–480. [Google Scholar] [CrossRef]
- Liu, X.; Liu, Q.; Wang, P.; Liu, Y.; Huang, B.; Rozhkova, E.A.; Zhang, Q.; Wang, Z.; Dai, Y.; Lu, J. Efficient Photocatalytic H2 Production via Rational Design of Synergistic Spatially-Separated Dual Cocatalysts Modified Mn0.5Cd0.5S Photocatalyst under Visible Light Irradiation. Chem. Eng. J. 2018, 337, 480–487. [Google Scholar] [CrossRef]
- Ikeue, K.; Shinmura, Y.; Machida, M. Ag-Doped Mn-Cd Sulfide as a Visible-Light-Driven Photocatalyst for H2 Evolution. Appl. Catal. B Environ. 2012, 123–124, 84–88. [Google Scholar] [CrossRef]
- Ikeue, K.; Shiiba, S.; MacHida, M. Hydrothermal Synthesis of a Doped Mn-Cd-S Solid Solution as a Visible-Light-Driven Photocatalyst for H2 Evolution. ChemSusChem 2011, 4, 269–273. [Google Scholar] [CrossRef]
- Markovskaya, D.V.; Kozlova, E.A.; Cherepanova, S.V.; Saraev, A.A.; Gerasimov, E.Y.; Parmon, V.N. Synthesis of Pt/Zn(OH)2/Cd0.3Zn0.7S for the Photocatalytic Hydrogen Evolution from Aqueous Solutions of Organic and Inorganic Electron Donors Under Visible Light. Top. Catal. 2016, 59, 1297–1304. [Google Scholar] [CrossRef]
- Han, Y.; Zhang, Q.; Liang, Z.; Geng, J.; Dong, X. Mn0.3Cd0.7S Nanorods Modified with NiS Clusters as Photocatalysts for the H2 Evolution Reaction. J. Mater. Sci. 2020, 55, 5390–5401. [Google Scholar] [CrossRef]
- Liu, X.; Liang, X.; Wang, P.; Huang, B.; Qin, X.; Zhang, X.; Dai, Y. Highly Efficient and Noble Metal-Free NiS Modified MnxCd1-XS Solid Solutions with Enhanced Photocatalytic Activity for Hydrogen Evolution under Visible Light Irradiation. Appl. Catal. B Environ. 2017, 203, 282–288. [Google Scholar] [CrossRef]
- Li, N.; Zhou, B.; Guo, P.; Zhou, J.; Jing, D. Fabrication of Noble-Metal-Free Cd0.5Zn0.5S/NiS Hybrid Photocatalyst for Efficient Solar Hydrogen Evolution. Int. J. Hydrogen Energy 2013, 38, 11268–11277. [Google Scholar] [CrossRef]
- Wang, J.; Luo, J.; Liu, D.; Chen, S.; Peng, T. One-Pot Solvothermal Synthesis of MoS2-Modified Mn0.2Cd0.8S/MnS Heterojunction Photocatalysts for Highly Efficient Visible-Light-Driven H2 Production. Appl. Catal. B Environ. 2019, 241, 130–140. [Google Scholar] [CrossRef]
- Huang, Q.Z.; Xiong, Y.; Zhang, Q.; Yao, H.C.; Li, Z.J. Noble Metal-Free MoS2 Modified Mn0.25Cd0.75S for Highly Efficient Visible-Light Driven Photocatalytic H2 Evolution. Appl. Catal. B Environ. 2017, 209, 514–522. [Google Scholar] [CrossRef]
- Han, Y.; Dong, X.; Liang, Z. Synthesis of MnxCd1-xS Nanorods and Modification with CuS for Extraordinarily Superior Photocatalytic H2 Production. Catal. Sci. Technol. 2019, 9, 1427–1436. [Google Scholar] [CrossRef]
- Wang, M.; Liu, Q.; Xu, N.; Su, N.; Wang, X.; Su, W. An Amorphous CoS: X Modified Mn0.5Cd0.5S Solid Solution with Enhanced Visible-Light Photocatalytic H2-Production Activity. Catal. Sci. Technol. 2018, 8, 4122–4128. [Google Scholar] [CrossRef]
- Zeng, P.; Luo, J.; Wang, J.; Peng, T. One-Pot Hydrothermal Synthesis of MoS 2 -Modified Mn 0.5 Cd 0.5 S Solid Solution for Boosting H 2 Production Activity under Visible Light. Catal. Sci. Technol. 2019, 9, 762–771. [Google Scholar] [CrossRef]
- Feng, H.Q.; Xi, Y.; Xie, H.Q.; Li, Y.K.; Huang, Q.Z. An Efficient Ternary Mn0.2Cd0.8S/MoS2/Co3O4 Heterojunction for Visible-Light-Driven Photocatalytic H2 Evolution. Int. J. Hydrogen Energy 2020, 45, 10764–10774. [Google Scholar] [CrossRef]
- Lv, H.; Kong, Y.; Gong, Z.; Zheng, J.Z.; Liu, Y.; Wang, G. Engineering Multifunctional Carbon Black Interface over Mn0.5Cd0.5S Nanoparticles/CuS Nanotubes Heterojunction for Boosting Photocatalytic Hydrogen Generation Activity. Appl. Surf. Sci. 2022, 604, 154513. [Google Scholar] [CrossRef]
- Vorontsov, A.V.; Kozlova, E.A.; Besov, A.S.; Kozlov, D.V.; Kiselev, S.A.; Safatovc, A.S. Photocatalysis: Light Energy Conversion for the Oxidation, Disinfection, and Decomposition of Water. Kinet. Catal. 2010, 51, 801–808. [Google Scholar] [CrossRef]
- Davis, K.A.; Yoo, S.; Shuler, E.W.; Sherman, B.D.; Lee, S.; Leem, G. Photocatalytic Hydrogen Evolution from Biomass Conversion. Nano Converg. 2021, 8, 6. [Google Scholar] [CrossRef] [PubMed]
- Potapenko, K.O.; Kurenkova, A.Y.; Bukhtiyarov, A.V.; Gerasimov, E.Y.; Cherepanova, S.V.; Kozlova, E.A. Comparative Study of the Photocatalytic Hydrogen Evolution over Cd1−xMnxS and CdS-β-Mn3O4-MnOOH Photocatalysts under Visible Light. Nanomaterials 2021, 11, 355. [Google Scholar] [CrossRef] [PubMed]
- Guan, S.; Fu, X.; Zhang, Y.; Peng, Z. β-NiS Modified CdS Nanowires for Photocatalytic H 2 Evolution with Exceptionally High Efficiency. Chem. Sci. 2018, 9, 1574–1585. [Google Scholar] [CrossRef]
- Li, N.; Tian, Y.; Zhao, J.; Zhang, J.; Zhang, J.; Zuo, W.; Ding, Y. Efficient Removal of Chromium from Water by Mn3O4@ZnO/Mn3O4 Composite under Simulated Sunlight Irradiation: Synergy of Photocatalytic Reduction and Adsorption. Appl. Catal. B Environ. 2017, 214, 126–136. [Google Scholar] [CrossRef]
- Puga, A.V. Photocatalytic Production of Hydrogen from Biomass-Derived Feedstocks. Coord. Chem. Rev. 2016, 315, 1–66. [Google Scholar] [CrossRef]
- Markovskaya, D.V.; Kozlova, E.A.; Cherepanova, S.V.; Kolinko, P.A.; Gerasimov, E.Y.; Parmon, V.N. Doping or Deposition of NiS on Cd0.3Zn0.7S Photocatalysts: Optimising Photocatalytic Hydrogen Evolution. ChemPhotoChem 2017, 1, 575–581. [Google Scholar] [CrossRef]
- Schaeffer, J.K.; Fonseca, L.R.C.; Samavedam, S.B.; Liang, Y.; Tobin, P.J.; White, B.E. Contributions to the Effective Work Function of Platinum on Hafnium Dioxide. Appl. Phys. Lett. 2004, 85, 1826. [Google Scholar] [CrossRef]
- Lam, S.W.; Chiang, K.; Lim, T.M.; Amal, R.; Low, G.K.C. The Effect of Platinum and Silver Deposits in the Photocatalytic Oxidation of Resorcinol. Appl. Catal. B Environ. 2007, 72, 363–372. [Google Scholar] [CrossRef]
- Kurenkova, A.Y.; Medvedeva, T.B.; Gromov, N.V.; Bukhtiyarov, A.V.; Gerasimov, E.Y.; Cherepanova, S.V.; Kozlova, E.A. Sustainable Hydrogen Production from Starch Aqueous Suspensions over a Cd0.7Zn0.3S-Based Photocatalyst. Catalysts 2021, 11, 870. [Google Scholar] [CrossRef]
- Zhang, J.; Qiao, S.Z.; Qi, L.; Yu, J. Fabrication of NiS Modified CdS Nanorod p–n Junction Photocatalysts with Enhanced Visible-Light Photocatalytic H2-Production Activity. Phys. Chem. Chem. Phys. 2013, 15, 12088–12094. [Google Scholar] [CrossRef]
- Wang, L.; Wang, W.; Shang, M.; Yin, W.; Sun, S.; Zhang, L. Enhanced Photocatalytic Hydrogen Evolution under Visible Light over Cd1-xZnxS Solid Solution with Cubic Zinc Blend Phase. Int. J. Hydrogen Energy 2010, 35, 19–25. [Google Scholar] [CrossRef]
- Wang, X.; Batter, B.; Xie, Y.; Pan, K.; Liao, Y.; Lv, C.; Li, M.; Sui, S.; Fu, H. Highly Crystalline, Small Sized, Monodisperse α-NiS Nanocrystal Ink as an Efficient Counter Electrode for Dye-Sensitized Solar Cells. J. Mater. Chem. A 2015, 3, 15905–15912. [Google Scholar] [CrossRef]
- Gopi, C.V.V.M.; Venkata-Haritha, M.; Ravi, S.; Thulasi-Varma, C.V.; Kim, S.K.; Kim, H.J. Solution Processed Low-Cost and Highly Electrocatalytic Composite NiS/PbS Nanostructures as a Novel Counter-Electrode Material for High-Performance Quantum Dot-Sensitized Solar Cells with Improved Stability. J. Mater. Chem. C 2015, 3, 12514–12528. [Google Scholar] [CrossRef]
- Kaichev, V.V.; Teschner, D.; Saraev, A.A.; Kosolobov, S.S.; Gladky, A.Y.; Prosvirin, I.P.; Rudina, N.A.; Ayupov, A.B.; Blume, R.; Hävecker, M.; et al. Evolution of Self-Sustained Kinetic Oscillations in the Catalytic Oxidation of Propane over a Nickel Foil. J. Catal. 2016, 334, 23–33. [Google Scholar] [CrossRef]
- Steinrück, H.P.; Pesty, F.; Zhang, L.; Madey, T.E. Ultrathin Films of Pt on TiO2 (110): Growth and Chemisorption-Induced Surfactant Effects. Phys. Rev. B 1995, 51, 2427. [Google Scholar] [CrossRef]











| Sample | Cd1−xMnxS | β-Mn3O4, nm | Mn(OH)2, nm | MnS, nm | Phase Composition | ||
|---|---|---|---|---|---|---|---|
| D, nm | V, Å3 | x | |||||
| Cd1−xMnxS HT100 series | |||||||
| Mn0.4 | 2.3 | 95.5 | 0.38 | 8 | - | - | Cd0.62Mn0.38S, β-Mn3O4 |
| Mn0.6 | 1.9 | 93.5 | 0.55 | 9 | - | - | Cd0.45Mn0.55S, β-Mn3O4 |
| Mn0.8 | 1.9 | 92.8 | 0.61 | 10 | >100 | 22 | Cd0.39Mn0.61S, β-Mn3O4, Mn(OH)2, MnS |
| Cd1−xMnxS HT120 series | |||||||
| Mn0.4 | 6.9 | 97.8 | 0.17 | - | - | - | Cd0.83Mn0.17S |
| Mn0.6 | 5.1 | 94.6 | 0.46 | - | 35 | - | Cd0.54Mn0.46S, Mn(OH)2 |
| Mn0.8 | 4.2 | 95.6 | 0.37 | 6.5 | - | 11 | Cd0.63Mn0.37S, β-Mn3O4, MnS |
| Cd1−xMnxS HT140 series | |||||||
| Mn0.4 | 3.0 | 96.1 | 0.32 | 10 | - | - | Cd0.68Mn0.32S, β-Mn3O4 |
| Mn0.6 | 2.6 | 94.4 | 0.47 | 10 | >100 | - | Cd0.53Mn0.47S, β-Mn3O4, Mn(OH)2 |
| Mn0.8 | 2.4 | 93.2 | 0.58 | 11 | >100 | 12 | Cd0.42Mn0.58S, β-Mn3O4, Mn(OH)2, MnS |
| Cd1−xMnxS HT160 series | |||||||
| Mn0.4 | 6.4 | 95.4 | 0.38 | - | - | - | Cd0.62Mn0.38S |
| Mn0.6 | 3.3 | 92.6 | 0.63 | 5.1 | - | - | Cd0.37Mn0.63S, β-Mn3O4 |
| Mn0.8 | 7.2 | 90.2 | 0.84 | - | >100 | - | Cd0.16Mn0.84S, Mn(OH)2 |
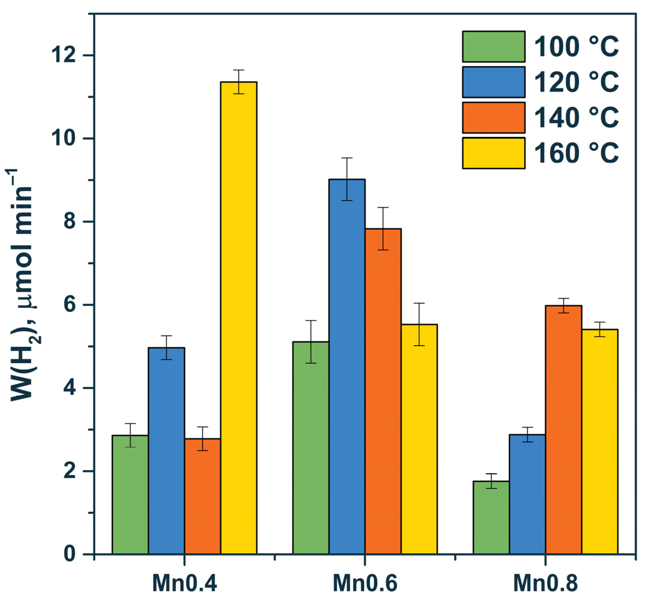
| X in Cd1−xMnxS | W, mmol g−1 h−1 Hydrothermal Treatment Temperature | |||
|---|---|---|---|---|
| T = 100 °C | T = 120 °C | T = 140 °C | T = 160 °C | |
| 0.4 | 3.5 | 3.5 | 3.4 | 13.7 |
| 0.6 | 6.1 | 10.8 | 9.4 | 6.6 |
| 0.8 | 2.2 | 6.0 | 7.2 | 6.5 |
| Sample | W(H2), mmol g−1 h−1 | AQE, % | ||
|---|---|---|---|---|
| Na2S/Na2SO3 | Glucose | Na2S/Na2SO3 | Glucose | |
| Mn0.6 HT120 | 10.8 | 0.2 | 5.4 | 0.1 |
| 0.1% NiS/Mn0.6 HT120 | 20.8 | 1.7 | 10.4 | 0.8 |
| 0.3% NiS/Mn0.6 HT120 | 19.3 | 2.0 | 9.6 | 1.0 |
| 0.5% NiS/Mn0.6 HT120 | 34.2 | 5.8 | 15.4 | 2.9 |
| 1% NiS/Mn0.6 HT120 | 28.1 | 2.9 | 14.0 | 1.4 |
| 1% Pt/Mn0.6 HT120 | 10.4 | 7.3 | 5.2 | 3.6 |
| Sample | Synthesis | Light Source | Cut-Off Filter | Electron Donor | W, mmol g−1 h−1 | AQE, % | Ref. |
|---|---|---|---|---|---|---|---|
| Cd0.7Mn0.3S | Hydrothermal synthesis; thioacetamide. Hydrothermal synthesis; Ni(CH3COO)2; EDTA. | 300 W Xe lamp | λ ≥ 420 nm | Na2S/Na2SO3 | 20 | [22] | |
| 0.5 wt.% NiS/Cd0.7Mn0.3S | 42 | ||||||
| 1 wt.% NiS/ Cd0.7Mn0.3S | 66 | 20.2 | |||||
| 3 wt.% NiS/ Cd0.7Mn0.3S | 38 | ||||||
| 5 wt.% NiS/ Cd0.7Mn0.3S | 35 | ||||||
| 1 wt.% Pt/ Cd0.7Mn0.3S | 43 | ||||||
| Cd0.5Mn0.5S | Hydrothermal synthesis; thioacetamide. Cation exchange; Ni(NO3)2; Na2S. | 300 W Xe lamp | λ ≥ 420 nm | Na2S/Na2SO3 | 0.6 | [23] | |
| 0.3 wt.% NiS/ Cd0.5Mn0.5S | 0.84 | 5.2 | |||||
| CdS | Hydrothermal synthesis; thiourea. Hydrothermal synthesis; Ni(CH3COO)2; thiourea. | 300 W Xe lamp | λ ≥ 420 nm | 0.35M Na2S/ 0.25M Na2SO3 | 0.05 | [42] | |
| 5 wt.% NiS/CdS | 1.1 | 6.1 | |||||
| 0.5 wt.% PtOx/Cd0.7Zn0.3S/ZnS | Codeposition method; CdCl2; Zn(NO3)2; Na2S. Soft chemical reduction; H2PtCl2; NaBH4. | 450 nm LED | λ ≥ 450 nm | α-D glucose/ NaOH | 3.4 | - | [41] |
| Cd0.4Mn0.6S | Hydrothermal synthesis; Cation exchange; Ni(NO3)2; Na2S. | 450 nm LED | λ ≥ 425 nm | Na2S/ Na2SO3 | 10.8 | 5.4 | Current study |
| 0.5 wt.% NiS/ Cd0.4Mn0.6S | 34.2 | 15.4 | |||||
| α-D glucose/ NaOH | 4.8 | 2.9 |
| No. | Sample | [M]/([M] + [Cd]) | [Mn]/([Mn] + [Cd]) | [S]/([Mn] + [Cd]) | [S2−]/([MnSx] + [CdSx]) | %, MnSx |
|---|---|---|---|---|---|---|
| Na2S/Na2SO3 | ||||||
| 1 | 1% NiS/Mn0.6 HT120 | 0.0073 | 0.158 | 0.99 | 0.95 | 59 |
| 2 | 1% NiS/Mn0.6 HT120 * | 0.0041 | 0.125 | 1.09 | 0.99 | 52 |
| Glucose | ||||||
| 3 | 1% Pt/Mn0.6 HT120 | 0.0198 | 0.406 | 1.47 | 1.58 | 54 |
| 4 | 1% Pt/Mn0.6 HT120 * | 0.0091 | 0.430 | 1.03 | 1.17 | 55 |
Publisher’s Note: MDPI stays neutral with regard to jurisdictional claims in published maps and institutional affiliations. |
© 2022 by the authors. Licensee MDPI, Basel, Switzerland. This article is an open access article distributed under the terms and conditions of the Creative Commons Attribution (CC BY) license (https://creativecommons.org/licenses/by/4.0/).
Share and Cite
Potapenko, K.O.; Gerasimov, E.Y.; Cherepanova, S.V.; Saraev, A.A.; Kozlova, E.A. Efficient Photocatalytic Hydrogen Production over NiS-Modified Cadmium and Manganese Sulfide Solid Solutions. Materials 2022, 15, 8026. https://doi.org/10.3390/ma15228026
Potapenko KO, Gerasimov EY, Cherepanova SV, Saraev AA, Kozlova EA. Efficient Photocatalytic Hydrogen Production over NiS-Modified Cadmium and Manganese Sulfide Solid Solutions. Materials. 2022; 15(22):8026. https://doi.org/10.3390/ma15228026
Chicago/Turabian StylePotapenko, Ksenia O., Evgeny Yu. Gerasimov, Svetlana V. Cherepanova, Andrey A. Saraev, and Ekaterina A. Kozlova. 2022. "Efficient Photocatalytic Hydrogen Production over NiS-Modified Cadmium and Manganese Sulfide Solid Solutions" Materials 15, no. 22: 8026. https://doi.org/10.3390/ma15228026
APA StylePotapenko, K. O., Gerasimov, E. Y., Cherepanova, S. V., Saraev, A. A., & Kozlova, E. A. (2022). Efficient Photocatalytic Hydrogen Production over NiS-Modified Cadmium and Manganese Sulfide Solid Solutions. Materials, 15(22), 8026. https://doi.org/10.3390/ma15228026

