Abstract
PbCu(SeO4)(OH)2, the selenate sibling of the mineral linarite, was synthesized hydrothermally, investigated in measurements of magnetization M, specific heat Cp and dielectric permittivity ε, and analyzed within density functional theory formalism. This quasi-one-dimensional compound evidences formation of a short-range correlation regime at T* ~ 8 K and experiences a long-range magnetic order at TN = 4.3 K. A magnetization saturation of approximately 1 µB is reached at µ0Hflip ~ 16 T preceded by a jump at µ0Hflop = 2.4 T. Additionally, there are multiple indicators of the formation of an additional electrically active phase above the Neel temperature, which suggests that PbCu(SeO4)(OH)2 is a multiferroic system.
1. Introduction
Quasi-one-dimensional uniform spin systems with competing intrachain exchange interactions attract attention by formation of exotic ground states and the presence of quantum critical points between these states due to frustration of the nearest-neighbor exchange interaction Jnn by the next-nearest-neighbor exchange interaction Jnnn. Depending on the signs and values of these interactions, various spin arrangements are possible at low temperatures [1]. When Jnnn is antiferromagnetic, Jnnn > 0, the chain is frustrated independent of the sign on Jnn [2]. It is predicted, but never observed experimentally, that a spin gap opens at Jnnn/Jnn = α > αc = 0.241 [3]. At α = 0.5, the Majumdar–Ghosh ground state is expected as a superposition of spin singlets [4]. It was found, however, that the copper chromate, CuCrO4, supposed to be the best realization of this model with Jnn = 54 K and Jnnn = 27 K orders antiferromagnetically at TN = 8.25 K due to the non-negligible interchain interactions [5]. If Jnn is negative (Jnn < 0), the ferromagnetic order within the chain should established in the range −0.25 < α ≤ 0. At α = −0.25, the system undergoes quantum phase transition to an incommensurate spin helix state [6]. Among numerous species of this type, there are many cuprates, among them LiCuVO4 [7], LiCu2O2 [8], Li2CuZrO4 [9], and LiCuSbO4 [10]. Some of these compounds evidence the multiferroic properties.
Over the last decade, there was a surge of interest in the mineral linarite PbCu(SO4)(OH)2, which hosts the well separated spin-1/2 uniform chains of Cu(OH)2 units. The ferromagnetic nearest-neighbor intrachain exchange interaction in this system is frustrated by the next-nearest-neighbor intrachain antiferromagnetic exchange interaction [11]. This material experiences a long-range magnetic order at TN = 2.8 K preceded by a phase, which was identified as an incommensurate longitudinal spin density wave state with a wavevector dependent on both temperature and magnetic field [12,13,14,15,16,17]. Below TN, the linarite evidences sequence of spin-flop and spin-flip transitions. Further, at the lowest temperatures and in near the Neel temperature, two more hysteretic phases were found, which suggests the coexistence of commensurate and incommensurate circular spin orders [18,19,20,21]. Magnetic ordering in PbCu(SO4)(OH)2 is accompanied by anomalies in dielectric permittivity and electrical polarization, which makes this material type-II multiferroic [18,22,23].
Here, we present the newly synthesized selenium counterpart, PbCu(SeO4)(OH)2, of the mineral linarite. It was characterized in measurements of magnetization M in both static and pulsed magnetic fields, dielectric permittivity ε and specific heat Cp and analyzed within density functional theory formalism.
2. Synthesis and the Crystal Structure
The selenate sibling of linarite, PbCu(SeO4)(OH)2, was prepared under hydrothermal conditions. CuCl2·2H2O, PbO (Reachim) and H2SeO4 (80%) (Vekton, Penfield, NY, USA) were used for the synthesis. PbSeO4 was prepared in a 25 mL autoclave loaded with 1.1221 g of PbO and 1 mL of H2SeO4 and kept at 200 °C for a week. The white precipitate was filtered from the solution washed by deionized water and dried on air. The purity of the sample was confirmed by powder XRD on a STOE STADI-P diffractometer (Cu Kα1 radiation) and the ICDD PDF 2 database was used as a reference. The X-ray pattern was in agreement with the 00-015-0375 PDF 2 dataset of PDF2. Prepared lead selenate was used for PbCu(SeO4)(OH)2 preparation.
Prepared PbSeO4 0.8000 g (2.285 mmol) and CuCl2·2H2O 0.5899 g (3.459 mmol) were mixed with 5 mL of 5% NaOH water solution in a 25 mL autoclave stirred by a glass rod and heated in a furnace for 4 days at 150 °C. As a result, a dark blue precipitate was formed. After filtering under vacuum and washing by distilled water, the precipitate was dried. The examination by an optical microscope shows the formation of small blue crystals. Powder XRD shows the analogy with PbCu(SO4)(OH)2. The pattern was indexed assuming the existence of a P21/m space group with cell constants a = 4.7721(10) Å, b = 5.7633(12) Å, c = 9.869(3) Å, β = 102.616(16)°, cell volume 264.87(16) Å3, and Figure of Merit F(30) = 38.5. The conclusion on the linarite-type phase formation was made based on these data.
The single crystal of PbCu(SeO4)(OH)2 was investigated on a Bruker D8 QUEST single-crystal X-ray diffractometer equipped with a PHOTON II detector, a charge-integrating pixel array detector (CPAD), a lsaterally graded multilayer (Goebel, Bad Staffelstein, Germany) mirror and a microfocus Mo-target X-ray tube (λ = 0.73071 Å). A frame width of 0.5° and exposure time of 2 s/frame were employed for data collection. Data reduction and integration were performed with the Bruker software package SAINT (Version 8.40B) [24]. The data were corrected for Lorentz and polarization effects.
Absorption correction was performed using a multiscan routine as implemented in SADABS (Version 2016/2) [25]. Atomic positions were located using direct methods and refined using a combination of Fourier synthesis and least-squares refinement in isotropic and anisotropic approximation. All calculations were carried using SHELXTL PLUS software [26]. The crystallographic parameters and final residuals for the single-crystal XRD experiments are given in Table 1. A summary of the crystallographic data for the single-crystal experiments is available from CCDC, ref. number 2172183.
Table 1.
Selected crystallographic data and refinement parameters for PbCu(SeO4)(OH)2 from single-crystal X-ray diffraction.
The experiment shows that the unit cell of PbCu(SeO4)(OH)2 contains one Pb, one Cu and one Se atom. Among five oxygen atoms, two belong to OH groups. According to the literature data [27,28], the mineral linarite crystallizes in a monoclinic space group P21/m (a = 9.682(2), b = 5.646(1), c = 4.683(6) Å, and β = 102.66(1)°). The buckled chains of edge-sharing CuO4 squares are running in the crystal structure parallel to the [010] direction, as shown in Figure 1. These squares are parts of the strongly Jahn–Teller-distorted CuO6 bipyramids with Cu-O difference from 1.93–1.98 to 2.54 Å. The layers of hydrogen-bonded Cu-OH chains are connected by PbO8-distorted polyhedra and SO4 tetrahedra.
Figure 1.
The crystal structure of PbCu(SeO4)(OH)2. CuO4 squares and SeO4 groups are shown. The chain of CuO4 squares is shown at the low part of the figure.
The nearest-neighbor surrounding of the Cu atom in PbCu(SeO4)(OH)2 is formed by the O4 and O5 oxygen atoms from hydroxyl groups with of distances 1.93–1.99 Å in the square planar CuO4 group. According to the Jahn–Teller effect, an additional two O2 atoms may be included in the copper atom surrounding at a distance of 2.48 Å, as presented in Table 2. CuO4 squares share their O4-O5 edges and form zig-zag chains along the [010] direction. The average <Cu-O> distance of CuO4+2 bipyramids in PbCu(SeO4)(OH)2 is 2.136 Å, being close to that reported for linarite, 2.148 Å [28]. The angle α between the two nearest CuO4 squares in the selenium compound, 159.02°, is larger than that in linarite, 154.70° [28].
Table 2.
Selected bond distances in the PbCu(SeO4)(OH)2 crystal structure.
Corresponding to the data reported in [27,28], the Pb atom in linarite lays within an eight-vertex oxygen polyhedron and is shifted from the center of the polyhedron, manifesting electron lone-pair activity. In the case of PbCu(SeO4)(OH)2, there are seven nearest oxygen atoms for the Pb atom. The next oxygen atom lays on the distance 3.2 Å. The selenium atom in the selenate SeO42− group lays in a tetrahedron with Se-O distances in the usual range, 1.63–1.65 Å.
3. Physical Properties
Magnetization M and specific heat Cp in PbCu(SeO4)(OH)2 in the range 2–330 K under a magnetic field µ0H up to 9 T were studied using relevant options of “Quantum Design” Physical Properties Measurements System PPMS-9T. Measurements in a pulsed magnetic field up to 32 T with pulse duration of approximately 10 msec were provided by a homemade capacitance bank discharge setup. Dielectric permittivity ε was measured on the platform of “Quantum Design” Magnetic Properties Measurements System MPMS-7T by means of an Andeen–Hagerling bridge AH2700 in the frequency range f = 102–104 Hz on the thin pressed pellets covered with a silver paste.
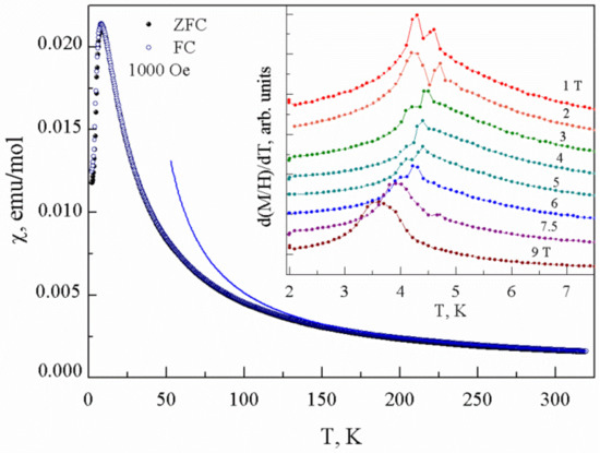
The temperature dependences of magnetic susceptibility χ = M/H taken at µ0H = 0.1 T in both the field-cooled (FC) and zero-field-cooled (ZFC) regimes are shown in Figure 2. No difference between these curves were detected within the experimental resolution, which signals the absence of pronounced impurities. At elevated temperatures, the χ(T) can be described by the Curie–Weiss law
with the temperature-independent term χ0 = 4.1 × 10−4 emu/mol, the Curie constant C = 0.355 emu K/mol and the Weiss temperature Θ = 25 K. In accordance with the ratio 8C = µeff2, the effective magnetic moment µeff = 1.68 µB, which is slightly lower than the expected value, 1.73 µB, for g—factor g = 2. The reduction in the effective magnetic moment µeff is a standard signature of low-dimensional magnetic systems. On lowering the temperature, the experimental data deviate downward from the extrapolation of the Curie–Weiss law, which points to the presence of antiferromagnetic interactions in the system. At approximately T* ~ 8 K, the χ(T) curve evidences a hump followed by the establishment of the long-range magnetic order at TN = 4.3 K. The Neel temperature is marked by a peak in the temperature dependence of the derivative dχ/dT, as shown in the inset to Figure 2. This feature, however, is split and broadens at higher magnetic fields.
Figure 2.
Temperature dependences of magnetic susceptibility χ in PbCu(SeO4)(OH)2 taken at µ0H = 0.1 T in both FC and ZFC regimes. Inset: dχ/dT curves taken at various magnetic fields.
The field dependence of magnetization M in a pulsed magnetic field taken at 2.4 K is shown in Figure 3. This curve is normalized by the M(H) curve taken in the static magnetic field at the same temperature. The saturation at the level of 1 µB is reached at µ0Hflip ~ 16 T. It is preceded by a jump at µ0Hflop = 2.4 T. The anomalies at spin-flop and spin-flip transitions are pronounced in the field dependence of derivative dM/dH, as shown in the inset to Figure 3. An additional small anomaly can be identified at µ0H ~ 19 T.
Figure 3.
Field dependence of magnetization M in PbCu(SeO4)(OH)2 in a pulsed magnetic field at T = 2.4 K normalized by measurements in the static magnetic field. Inset: dM/dH curve.
The temperature dependence of specific heat Cp in PbCu(SeO4)(OH)2 is shown in Figure 4. The Cp(T) curve evidences the presence of a sharp λ-type anomaly at TN = 4.3 K characteristic to the second-order phase transition. At 200 K, which is the upper limit of measurements, the value of specific heat is still far from the thermodynamic limit, 3Rn = 275 J/mol K, where R is the universal gas constant and n is the number of atoms per formula unit. Under an external magnetic field, this anomaly shifts to lower temperatures, as shown in the inset to Figure 4. In the zero field, the peak is preceded by a pre-transition region, which is strongly suppressed by the magnetic field. It makes the anomaly in strong fields more pronounced, i.e., the ΔCp at the transition point increases.
Figure 4.
Temperature dependence of specific heat Cp in PbCu(SeO4)(OH)2. Inset: Cp(T) curves taken at various magnetic fields.
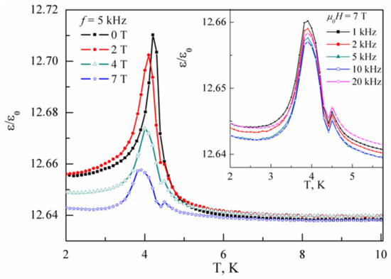
The temperature dependences of dielectric permittivity ε/ε0 in PbCu(SeO4)(OH)2 taken at f = 5 kHz in various magnetic fields are shown in Figure 5. These curves evidence a sharp peak at the Neel temperature TN = 4.3 K, which shifts to lower temperatures under an external magnetic field. Further, an additional anomaly seen only in the presence of magnetic field arose at 4.5 K. In the range 1–20 kHz, the positions of these anomalies are not frequency dependent, as shown in the inset in Figure 5. The appearance of an additional anomaly above Neel temperature indicates that the electrically active phase forms in PbCu(SeO4)(OH)2 prior to the long-range magnetic order, similar to observations in the mineral linarite [22,23].
Figure 5.
Temperature dependences of dielectric permittivity ε/ε0 in PbCu(SeO4)(OH)2 taken at f = 5 kHz in various magnetic fields. Inset: temperature dependences of dielectric permittivity taken at µ0H = 7 T for various frequencies.
The combination of experimental data obtained in magnetization M, specific heat Cp and dielectric permittivity ε measurements enables establishing the magnetic phase diagram in PbCu(SeO4)(OH)2, as shown in Figure 6. The spin-flop boundary subdivides a magnetically ordered state into two phases prior to saturation magnetization. There are also multiple signatures of an additional phase preceding the long-range antiferromagnetic order similar to observations in the mineral linarite [22,23].
Figure 6.
Magnetic phase diagram in PbCu(SeO4)(OH)2 as derived from measurements of magnetization M, specific heat Cp and dielectric permittivity ε.
4. Density Functional Calculations
The exchange interaction parameters within Cu2+ chains in PbCu(SeO4)(OH)2 and, for comparison, in PbCu(SO4)(OH)2 were obtained by calculating the total energy difference of various magnetic configurations and mapping on the spin model with the Hamiltonian
The ab initio band structure calculations were carried out within the framework of the density functional theory (DFT) as implemented in VASP [29,30,31]. The generalized gradient approximation (GGA) [32] for the exchange-correlation functional was used. Conventional DFT calculations underestimate the effect of strong Coulomb correlations important for correct description of the magnetic ground state of transition metal oxides. Therefore, we perform GGA+U [33] calculations taking into account strong Coulomb correlations on Cu sites. We use the values of the Hund coupling JH = 1 eV and the on-site Hubbard repulsion parameter, U = 7 eV, as in [12], and also U = 9 eV, which is close to the U = 9.5 eV obtained from the linear-response method [34] in [35] for the Cu2GeO4 compound. The cutoff energy for plane waves was chosen to be 500 eV. The integration over the Brillouin zone was performed using the 4 × 4 × 4 k-mesh. In order to calculate exchange interaction parameters both along the chain and between neighboring chains, the supercells consisting of 8 formula units (f.u.) were used. The obtained exchange interaction parameters, Ji, are listed in Table 3.
Table 3.
The exchange interaction parameters (in K) calculated within GGA+U for PbCu(SeO4)(OH)2 and PbCu(SO4)(OH)2. The notations J1c, J2c and J3c correspond to the NN, NNN and NNNN interchain exchange interactions [12].
5. Discussion
Linarite, PbCu(SO4)(OH)2, is a prototype half-integer spin chain material with competing ferromagnetic nearest-neighbor and antiferromagnetic next-nearest-neighbor exchange interactions. On the basis of magnetic susceptibility and specific-heat data, the predominant ferromagnetic nearest-neighbor (NN) exchange interaction J1 = −30 K and weaker antiferromagnetic next-nearest-neighbor (NNN) exchange interaction J2 = 15 K (α = 0.5) were established [11]. This strong-coupling scenario was, however, in contrast to the values J1 = −13 K and J2 = 21 K (α = 1.6) obtained from the fit of the susceptibility data using a high-temperature expansion up to the fourth order at 50 < T < 350 K [22]. In order to resolve a controversy, the comprehensive experimental and theoretical study of PbCu(SO4)(OH)2 was undertaken. Measurements of magnetic susceptibility and saturation magnetization as well as electron spin resonance and nuclear magnetic resonance were performed [12]. The theoretical analysis within the density matrix renormalization group, the hard-core boson technique as well as ab initio calculations using local spin-polarized density approximation (LSDA+U) yield values of the main couplings of J1 = −133 K and J2 = 42 K [12]. The value of J1 = −118 K obtained within VASP (Table 3) for U = 7 eV is in agreement with that calculated within FPLO (the Full-Potential Local-Orbital electronic structure code [36]) in [12], while J2 = 72 K is much larger. We have to point out that while the reproducibility of results obtained by different DFT codes is well established (see for example [37]), the implementation of U correction, on the contrary, could be different depending on the basis set used in various codes. For example, the dramatic difference in the values of exchange interactions calculated within the FPLO and VASP methods were previously reported for the Cu2GeO4 compound [35]. In this compound, Cu and O form infinite chains of edge-sharing plaquettes linked into a 3D network via the non-magnetic GeO4 tetrahedra. DFT calculations were performed in different codes that delivered largely consistent results for J2 but not for J1, which varies between −0.2 meV in VASP and −7.2 meV in FPLO [35]. The authors pointed out that this difference comes from the way the DFT+U correction is applied in different codes.
In [12], the NN and NNN exchange interactions within the chain are substantially larger compared to the values obtained previously [11,22] and shift the frustration ratio α ≈ 0.32 of PbCu(SO4)(OH)2 closer to the one-dimensional critical point at 0.25. On the contrary, the present calculation of the main intrachain exchange interaction parameters put PbCu(SeO4)(OH)2 very close to the Majumdar–Gosh critical point. Similar to the case of CuCrO4, we do not observe the formation of the singlet ground state, but presumably the incommensurate helix forms in the magnetically ordered state of this compound. Similar to the mineral linarite case, there were multiple indicators of the formation of an additional electrically active phase preceding the long-range magnetic order, which suggests that PbCu(SeO4)(OH)2 is a multiferroic system.
6. Conclusions
A selenium analog of the naturally occurring mineral linarite was prepared hydrothermally for the first time. This quasi-one-dimensional compound evidences formation of a short-range correlation regime at T* ~ 8 K and experiences a long-range magnetic order at TN = 4.3 K. A magnetization saturation of approximately 1 µB is reached at µ0Hflip ~ 16 T preceded by a jump at µ0Hflop = 2.4 T. Additionally, there are multiple indicators of the formation of an additional electrically active phase above the Neel temperature, which suggest that PbCu(SeO4)(OH)2 is a multiferroic system. It should be noted that during manuscript preparation, the mineral franksousaite, which has a similar composition, was described [38]. To the best of our knowledge, there are no synthesis descriptions for the linarite or franksousaite compound. The crystal structure of synthetic PbCu(SeO4)(OH)2 is close to that of franksousaite, taking into account the presence of approximately 16% of sulfur in the natural sample.
Author Contributions
Investigation, M.M., K.Z., Y.O., G.P., K.L., P.B. and Z.P.; Methodology, M.M., K.Z., Y.O., G.P. and K.L.; Supervision, A.V.; Writing—original draft, P.B. and Z.P.; Writing—review & editing, A.V. All authors have read and agreed to the published version of the manuscript.
Funding
The Megagrant program of the Government of Russian Federation through the project 075-15-2021-604. The Russian Science Foundation through the project 22-22-00023. The Russian Foundation for Basic Research through the project 20-02-00015.
Acknowledgments
X-ray data were collected using the equipment provided by the Moscow State University Development Program. P.S.B. acknowledges support by the Megagrant program of the Government of Russian Federation through the project 075-15-2021-604. A.N.V. and Z.V.P. acknowledge support by the Russian Science Foundation through the project 22-22-00023. M.M.M. acknowledges support by the Russian Foundation for Basic Research through the project 20-02-00015.
Conflicts of Interest
The authors declare no conflict of interest.
References
- Vasiliev, A.; Volkova, O.; Zvereva, E.; Markina, M. Milestones of low-D quantum magnetism. NPJ Quantum Mater. 2018, 3, 18. [Google Scholar] [CrossRef]
- Drechsler, S.-L.; Richter, J.; Kuzian, R.; Málek, J.; Tristan, N.; Büchner, B.; Moskvin, A.S.; Gippius, A.A.; Vasiliev, A.; Volkova, O.; et al. Helimagnetism and weak ferromagnetism in edge-shared chain cuprates. J. Magn. Magn. Mater. 2007, 316, 306–312. [Google Scholar] [CrossRef]
- Lebernegg, S.; Janson, O.; Rousochatzakis, I.; Nishimoto, S.; Rosner, H.; Tsirlin, A.A. Frustrated spin chain physics near the Majumdar-Ghosh point in szenicsite Cu3(MoO4)(OH)4. Phys. Rev. B 2017, 95, 035145. [Google Scholar] [CrossRef]
- Majumdar, C.K.; Ghosh, D.K. On Next-Nearest-Neighbor Interaction in Linear Chain. I. J. Math. Phys. 1969, 10, 1388–1398. [Google Scholar] [CrossRef]
- Law, J.M.; Reuvekamp, P.; Glaum, R.; Lee, C.; Kang, J.; Whangbo, M.-H.; Kremer, R.K. Quasi-one-dimensional antiferromagnetism and multiferroicity in CuCrO4. Phys. Rev. B 2011, 84, 014426. [Google Scholar] [CrossRef]
- Hikihara, T.; Kecke, L.; Momoi, T.; Furusaki, A. Vector chiral and multipolar orders in the spin-1/2 frustrated ferromagnetic chain in magnetic field. Phys. Rev. B 2008, 78, 144404. [Google Scholar] [CrossRef]
- Vasil’ev, A.N.; Ponomarenko, L.A.; Manaka, H.; Yamada, I.; Isobe, M.; Ueda, Y. Magnetic and resonant properties of quasi-one-dimensional antiferromagnet LiCuVO4. Phys. Rev. B 2001, 64, 024419. [Google Scholar] [CrossRef]
- Masuda, T.; Zheludev, A.; Bush, A.; Markina, M.; Vasiliev, A. Competition between Helimagnetism and Commensurate Quantum Spin Correlations in LiCu2O2. Phys. Rev. Lett. 2004, 92, 177201. [Google Scholar] [CrossRef]
- Drechsler, S.-L.; Volkova, O.; Vasiliev, A.; Tristan, N.; Richter, J.; Schmitt, M.; Rosner, H.; Málek, J.; Klingeler, R.; Zvyagin, A.A.; et al. Frustrated Cuprate Route from Antiferromagnetic to Ferromagnetic Spin-1/2 Heisenberg Chains: Li2ZrCuO4 as a Missing Link near the Quantum Critical Point. Phys. Rev. Lett. 2007, 98, 077202. [Google Scholar] [CrossRef]
- Dutton, S.E.; Kumar, M.; Mourigal, M.; Soos, Z.G.; Wen, J.-J.; Broholm, C.L.; Andersen, N.H.; Huang, Q.; Zbiri, M.; Toft-Petersen, R.; et al. Quantum Spin Liquid in Frustrated One-Dimensional LiCuSbO4. Phys. Rev. Lett. 2012, 108, 187206. [Google Scholar] [CrossRef]
- Baran, M.; Jedrzejczak, A.; Szymczak, H.; Maltsev, V.; Kamieniarz, G.; Szukowski, G.; Loison, C.; Ormeci, A.; Drechsler, S.-L.; Rosner, H. Quasi-one-dimensional S = 1/2 magnet Pb[Cu(SO4)(OH)2]: Frustration due to competing in-chain exchange. Phys. Stat. Sol. C 2006, 3, 220. [Google Scholar] [CrossRef]
- Wolter, A.U.B.; Lipps, F.; Schäpers, M.; Drechsler, S.-L.; Nishimoto, S.; Vogel, R.; Kataev, V.; Büchner, B.; Rosner, H.; Schmitt, M.; et al. Magnetic properties and exchange integrals of the frustrated chain cuprate linarite PbCuSO4(OH)2. Phys. Rev. B 2012, 85, 014407. [Google Scholar] [CrossRef]
- Willenberg, B.; Schäpers, M.; Rule, K.C.; Süllow, S.; Reehuis, M.; Ryll, H.; Klemke, B.; Kiefer, K.; Schottenhamel, W.; Büchner, B.; et al. Magnetic Frustration in a Quantum Spin Chain: The Case of Linarite PbCuSO4(OH)2. Phys. Rev. Lett. 2012, 108, 117202. [Google Scholar] [CrossRef] [PubMed]
- Schäpers, M.; Wolter, A.U.B.; Drechsler, S.-L.; Nishimoto, S.; Müller, K.-H.; Abdel-Hafiez, M.; Schottenhamel, W.; Büchner, B.; Richter, J.; Ouladdiaf, B.; et al. Thermodynamic properties of the anisotropic frustrated spin-chain compound linarite PbCuSO4(OH)2. Phys. Rev. B 2013, 88, 184410. [Google Scholar] [CrossRef]
- Schäpers, M.; Rosner, H.; Drechsler, S.-L.; Süllow, S.; Vogel, R.; Büchner, B.; Wolter, A.U.B. Magnetic and electronic structure of the frustrated spin-chain compound linarite PbCuSO4(OH)2. Phys. Rev. B 2014, 90, 224417. [Google Scholar] [CrossRef]
- Rule, K.C.; Willenberg, B.; Schäpers, M.; Wolter, A.U.B.; Büchner, B.; Drechsler, S.-L.; Ehlers, G.; Tennant, D.A.; Mole, R.A.; Gardner, J.S.; et al. Dynamics of linarite: Observations of magnetic excitations. Phys. Rev. B 2017, 95, 024430. [Google Scholar] [CrossRef]
- Heinze, L.; Bastien, G.; Ryll, B.; Hoffmann, J.-U.; Reehuis, M.; Ouladdiaf, B.; Bert, F.; Kermarrec, E.; Mendels, P.; Nishimoto, S.; et al. Magnetic phase diagram of the frustrated spin chain compound linarite PbCuSO4(OH)2 as seen by neutron diffraction and 1H-NMR. Phys. Rev. B 2019, 99, 094436. [Google Scholar] [CrossRef]
- Povarov, K.Y.; Feng, Y.; Zheludev, A. Multiferroic phases of the frustrated quantum spin-chain compound linarite. Phys. Rev. B 2016, 94, 214409. [Google Scholar] [CrossRef]
- Willenberg, B.; Schäpers, M.; Wolter, A.U.B.; Drechsler, S.-L.; Reehuis, M.; Hoffmann, J.-U.; Büchner, B.; Studer, A.J.; Rule, K.C.; Ouladdiaf, B.; et al. Complex Field-Induced States in Linarite PbCuSO4(OH)2 with a Variety of High-Order Exotic Spin-Density Wave States. Phys. Rev. Lett. 2016, 116, 047202. [Google Scholar] [CrossRef]
- Feng, Y.; Povarov, K.Y.; Zheludev, A. Magnetic phase diagram of the strongly frustrated quantum spin chain system PbCuSO4(OH)2 in tilted magnetic fields. Phys. Rev. B 2018, 98, 054419. [Google Scholar] [CrossRef]
- Cemal, E.; Enderle, M.; Kremer, R.K.; Fåk, B.; Ressouche, E.; Goff, J.P.; Gvozdikova, M.V.; Zhitomirsky, M.E.; Ziman, T. Field-induced States and Excitations in the Quasicritical Spin-1/2 Chain Linarite. Phys. Rev. Lett. 2018, 120, 067203. [Google Scholar] [CrossRef] [PubMed]
- Yasui, Y.; Sato, M.; Terasaki, I. Multiferroic Behavior in the Quasi-One-Dimensional Frustrated Spin-1/2 System PbCuSO4(OH)2 with CuO2 Ribbon Chains. J. Phys. Soc. Jpn. 2011, 80, 033707. [Google Scholar] [CrossRef]
- Mack, T.; Ruff, A.; Krug von Nidda, H.-A.; Loidl, A.; Krohns, S. Dielectric properties of complex magnetic field induced states in PbCuSO4(OH)2. Sci. Rep. 2016, 7, 4460. [Google Scholar] [CrossRef] [PubMed]
- SAINT, Version 8.40B; Bruker AXS Inc.: Madison, WI, USA, 2017.
- Krause, L.; Herbst-Irmer, R.; Sheldrick, G.M.; Stalke, D. Comparison of silver and molybdenum microfocus X-ray sources for single-crystal structure determination J. Appl. Cryst. 2015, 48, 3–10. [Google Scholar] [CrossRef] [PubMed]
- Sheldrick, G.M. SHELX-2018/3, Program Package for Crystal Structure Solution and Refinement; University of Göttingen: Göttingen, Germany, 2018. [Google Scholar]
- Effenberger, H. Crystal Structure and Chemical Formula of Schmiederite, Pb2Cu2(OH)4(SeO3)(SeO4), with a Comparison to Linarite PbCu(OH)2(SO4). Mineral. Petrol. 1987, 36, 3–12. [Google Scholar] [CrossRef]
- Schofield, P.F.; Wilson, C.C.; Knight, K.S.; Kirk, C.A. Proton location and hydrogen bonding in the hydrous lead copper sulfates linarite, PbCu(SO4)(OH)2, and caledonite, Pb5Cu2(SO4)3CO3(OH)6. Can. Mineral. 2009, 47, 649–662. [Google Scholar] [CrossRef]
- Kresse, G.; Furthmüller, J. Efficient iterative schemes for ab initio total-energy calculations using a plane-wave basis set. Phys. Rev. B 1996, 54, 11169. [Google Scholar] [CrossRef]
- Kresse, G.; Furthmüller, J. Efficiency of ab-initio total energy calculations for metals and semiconductors using a plane-wave basis set. Comput. Mater. Sci. 1996, 6, 15–50. [Google Scholar] [CrossRef]
- Kresse, G.; Hafner, J. Ab initio molecular-dynamics simulation of the liquid-metal–amorphous-semiconductor transition in germanium. Phys. Rev. B 1994, 49, 14251. [Google Scholar] [CrossRef]
- Perdew, J.P.; Burke, K.; Ernzerhof, M. Generalized Gradient Approximation Made Simple. Phys. Rev. Lett. 1996, 77, 3865. [Google Scholar] [CrossRef]
- Liechtenstein, A.I.; Anisimov, V.I.; Zaanen, J. Density-functional theory and strong interactions: Orbital ordering in Mott-Hubbard insulators. Phys. Rev. B 1995, 52, 5467. [Google Scholar] [CrossRef] [PubMed]
- Cococcioni, M.; de Gironcoli, S. Linear response approach to the calculation of the effective interaction parameters in the LDA+U method. Phys. Rev. B 2005, 71, 035105. [Google Scholar] [CrossRef]
- Badrtdinov, D.I.; Mazurenko, V.V.; Tsirlin, A.A. Origin of up-up-down-down magnetic order in Cu2GeO4. Phys. Rev. B 2019, 100, 214401. [Google Scholar] [CrossRef]
- Koepernik, K.; Eschrig, H. Full-potential nonorthogonal local-orbital minimum-basis band-structure scheme. Phys. Rev. B 1999, 59, 1743. [Google Scholar] [CrossRef]
- Lejaeghere, K.; Bihlmayer, G.; Björkman, T.; Blaha, P.; Blügel, S.; Blum, V.; Caliste, D.; Castelli, I.E.; Clark, S.J.; dal Corso, A.; et al. Reproducibility in density functional theory calculations of solids. Science 2016, 351, 1415. [Google Scholar] [CrossRef]
- Yang, H.; McGlasson, J.A.; Gibbs, R.B.; Downs, R.T. Franksousaite, PbCu(Se6+O4)(OH)2, the Se6+ analogue of linarite, a new mineral from the El Dragón mine, Potosí, Bolivia. Mineral. Mag. 2022, 86, 792–798. [Google Scholar] [CrossRef]
Publisher’s Note: MDPI stays neutral with regard to jurisdictional claims in published maps and institutional affiliations. |
© 2022 by the authors. Licensee MDPI, Basel, Switzerland. This article is an open access article distributed under the terms and conditions of the Creative Commons Attribution (CC BY) license (https://creativecommons.org/licenses/by/4.0/).





