Abstract
A magnetic-to-thermal energy conversion, derived from the continuous modulation of intrinsic exchange energy, is conceived and studied by performing Monte Carlo simulations. On the basis of thermodynamics and Weiss’s molecular field theories, we modified the Maxwell formula, where the magnetic entropy change (∆SM) is calculated by integrating the temperature derivative of magnetization under a continuously increasing exchange interaction, rather than an external magnetic field, from zero to a given value. For the conventional ∆SM induced through increasing magnetic field, the ∆SM maximum value is enhanced with increasing magnetic field, while the ∆SM peak temperature is weakly influenced by the magnetic field. On the contrary, the ∆SM induced by changing the exchange interaction is proportional to the exchange interaction while suppressed by a magnetic field. Another feature is that the relative cooling power calculated from the ∆SM induced by changing the exchange interaction is fully independent of the magnetic field perspective for obtaining the magnetically stabilized self-converted refrigerants. The controlled variation of exchange interaction could be realized by partial substitution or the application of hydrostatic pressure to lower the cost of magnetic energy at no expense of magnetocaloric response, which opens an avenue to develop the practical and energy-saving devices of conversion from magnetic energy to thermal energy, highly extending the material species of the magnetocaloric effect.
1. Introduction
The magnetocaloric effect (MCE) is a magneto-thermodynamic phenomenon, manifested by the changes in isothermal magnetic entropy (∆SM) and adiabatic temperature (∆Tad) that accompany magnetic transitions in materials during the application or removal of magnetic field under adiabatic conditions. MCE was first discovered in pure Fe by Emil Warburg in 1881 [1], and independently explained by Debye and Giauque in the 1920s [2,3]. The research interest in MCE has increased in recent decades, on the one hand, due to the possibility of obtaining information about magnetic state and magnetic phase transformations in magnetic materials that is hard to obtain by other methods and, on the other hand, due to the prospects of creation of magnetic cooling machines using magnetic materials as working bodies [4]. Alternative cooling technology methods have been extensively studied owing to the better awareness of the need to identify eco-friendly, cleaner and green technology. In this connection, magnetic refrigeration is proposed as one of the prospective methods. In addition to eco-friendliness, improved Carnot efficiency, compaction and noise minimization are other advantages associated with magnetic cooling [5,6]. All magnetic materials exhibit MCE, although the intensity of this effect depends on the properties of each material. Therefore, extensive research is being carried out to identify suitable magnetic materials for their use as magnetic refrigerants in various temperature ranges.
The measurement methods of MCE can be divided into direct and indirect techniques. In the former, the material is subjected to a magnetic field change and its temperature change is directly measured by some techniques, while in the latter, the MCE is determined on the basis of heat capacity and/or magnetization data. By means of these methods, some breakthroughs in finding MCE materials have been reported in succession and a series of families of MCE materials have been established. Brown in 1968 observed a large ∆SM (~10 Jkg−1K−1) at TC = 293 K for Gd [7]. In 1997, Pecharsky and Gschneidner [8] reported that the ∆SM of Gd5Si2Ge2 was ~18 Jkg−1K−1 around TC = 278 K for the field change of 0–5 T. In the same year, the ∆SM of 5.5 Jkg−1K−1 for the field change of 1–1.5 T in La0.8Ca0.2MnO3 manganite at TC = 274 K was reported [9], followed by the publication in 2000 where Ni51.5Mn22.7Ga25.8 Heusler alloy exhibited a large ∆SM of 4.1 Jkg−1K−1 for the field change of 0–0.9 T associated with the martensitic-to-austenitic phase transition at 197 K [10]. The ∆SM maximum values in Gd and La0.8Ca0.2MnO3 manganite appear around the second-order phase transitions which are usually spread over a broad temperature range, beneficial for the active magnetic refrigeration [11,12], while in Gd5Si2Ge2 and Ni51.5Mn22.7Ga25.8 Heusler alloys around the first-order phase transitions which induce a larger ∆SM in a narrow temperature range with the harmful thermal/magnetic hysteresis [13].
The relationship between MCE and phase transitions implies the anisotropy and exchange energies responsible for the large MCE besides the external magnetic field, and from the energy-saving point of view, the rotary MCE based on the anisotropy contributing to ∆SM has been developed and studied for the aim of reducing the cost of external magnetic field energy [14,15,16,17,18,19,20,21]. On the other hand, effective methods to control the magnetocaloric properties and their working temperatures (probably around the magnetic phase transition temperature) such as partial substitution [22,23], application of hydrostatic pressure [24], and hydrogenation [25] have been proposed. Theoretically, Buchelnikov et al. [26] and Sokolovskiy et al. [27], using Monte Carlo simulations combined with ab initio calculations, studied the micromagnetism and magnetocaloric effect in Co-doped off-stoichiometric Ni-Mn-Ga and Ni-Mn-In Heusler alloys, and the numerical results of magnetic and magnetostructural transitions under a magnetic field agreed fairly well with available experimental data. Although the results may be interpreted by the change of electric structures, metamagnetism and hardening, the separation variation between magnetic moments commonly also changes their exchange forces. Thus we bring a hypothesis: if the exchange interaction in magnetic materials can be tuned continuously, does it (partially) replace the external magnetic field to contribute to the MCE? In this work, the MCE induced by the change of exchange interaction is predicted, which not only highly lowers the external magnetic field under keeping the large MCE to answer the above question yes, but also manipulates the large MCE occurring in the room temperature range.
2. Model and Monte Carlo Method
In the simulation, the 5 × 5 × 5 spins are placed on the node of a simple cubic lattice with periodic boundary conditions. The spins experience random magnetic anisotropy (RMA) and all of them are dipolarly coupled to each other. Moreover, the nearest-neighbor spins are exchange coupled with each other as well. In order to simulate the distinct exchange interactions between different atoms, the exchange interactions (J) of spins aligning along with the x axis differ from those (J′) in the other two orthogonal directions [see inset of Figure 1]. In the presence of a magnetic field, the Hamiltonian of the system can be written as
where Si denotes the unit vector of spin. The first two terms are the exchange energies, and the exchange constant J is fixed as 4 meV to guarantee the occurrence of magnetic phase transition at finite temperature, while J′ is changeable from 0 to 4 meV for inducing the MCE. The third term is the anisotropy energy, and by considering the atomic diameter of 3 Å, the volume is calculated as V = 14.14 Å3 and thus the anisotropy constant K = 4 meV/atom [28]. The next term is the long-range dipolar energy, where the dipolar constant g = 0.1J is set to replace the contribution of the demagnetization field, r (r) is the dimensionless distance (vector) between the ith and jth spins (with the direction pointing from the ith to jth spin). The last term is the Zeeman energy, where H is the applied magnetic field, μ0 is the permeability of vacuum, MS = 550 emu/cm3 is the saturation magnetization, and N = 41 is the factor to be used to guarantee the simulation results with the correct orders of magnitude by establishing a model with a much smaller size for catering to the limited present computational capacity [29,30].
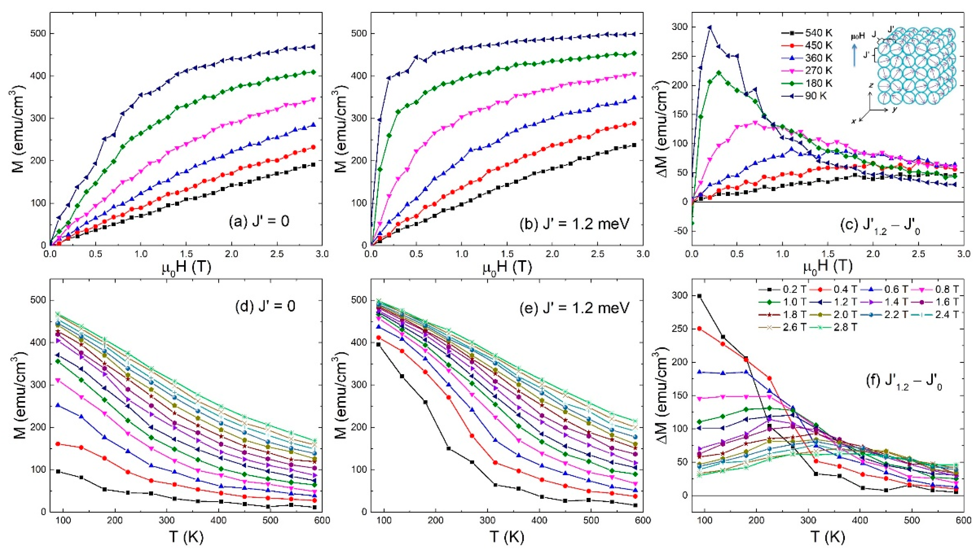
Figure 1.
Magnetization for J′ = 0 and 1.2 meV and their difference as a function of μ0H at selected T and as a function of T under selected μ0H. Inset shows the schematic illustration of model with random magnetic anisotropy, where J, J′, and the magnetic field direction are also labeled.
In the framework of thermodynamics, the Gibbs free energy G is a function of T, pressure p and H, with the total differential
Thus, the internal parameters S and M, conjugated to the external variables T and H, can be determined by the following equations of state:
The famous Maxwell relation,
is obtained from Equations (3a,b). On the other hand, the ferromagnetism and the Curie temperature were explained by Weiss in terms of a huge internal ‘molecular field’ proportional to the magnetization [31,32]. This virtual internal field is a useful way of approximating the effect of the interatomic Coulomb interaction in quantum mechanics involving J and J′. In other words, in the framework of molecular field theory, the spin polarization at low temperature and the magnetization variation with decreasing temperature below Curie temperature also depend on the exchange interaction. Hence it is reasonable to modify Equation (4) into a new type of ∆SM which is induced by changing the exchange interaction,
where HJ = EJ/MSV is the exchange field and H is nonzero to provide a preferred magnetizing direction. Furthermore, the magnetic cooling efficiency is evaluated by considering the magnitude of ∆SM and its full-width at half-maximum (δTFWHM). It is easy to establish the product of the ∆SM maximum and δTFWHM as
which stands for the so-called relative cooling power (RCP) [12,13,33]. In order to calculate ∆SM, the magnetic field can be tuned from μ0H = 0 to 2.9 T, and the temperature can be tuned from T = 600 to 90 K. The Monte Carlo Metropolis algorithm is used to update the spin state, and the 105 Monte Carlo steps are performed for thermalization, followed by another 105 Monte Carlo steps to average the magnetization [34].
3. Results and Discussion
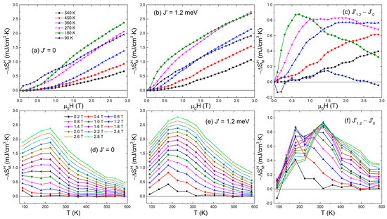
At first, the magnetization behaviors with increasing μ0H at selected T for J′ = 0 and 1.2 meV are studied with the results presented in Figure 1a,b. With the increasing μ0H, the magnetization increases monotonically. At high T, a roughly linear increase in magnetization with μ0H is observed, while at low T, the magnetization increases rapidly under low μ0H and slowly under high μ0H, indicating the occurrence of a magnetic phase transition from superparamagnetic to ferromagnetic state with decreasing T. The high-T magnetization behaviors for J′ = 1.2 meV are similar to those for J′ = 0 at the same T, while at low T, the magnetization for J′ = 1.2 meV rapidly increases under lower μ0H and the magnetization under high μ0H is more approaching to the saturation value as compared to J′ = 0. In order to highlight the role of J′ on the magnetization behavior with μ0H and T, the magnetization difference (∆M) between J′ = 0 and 1.2 meV under the same μ0H is given in Figure 1c. With the decreasing T, the maximum value of ∆M is enhanced; meanwhile, the ∆M peak moves to the lower μ0H, indicating that the large ∆M can be obtained by J′ at low T and intermediate μ0H. On the other hand, the magnetization behaviors for J′ = 0 and 1.2 meV as well as ∆M with T under selected μ0H are shown in Figure 1d–f. The magnetization value for J′ = 1.2 meV at low T is commonly higher than that for J′ = 0 at the same T, and thus with decreasing μ0H, the maximum value of ∆M increases meanwhile the ∆M peak moves to the lower T.
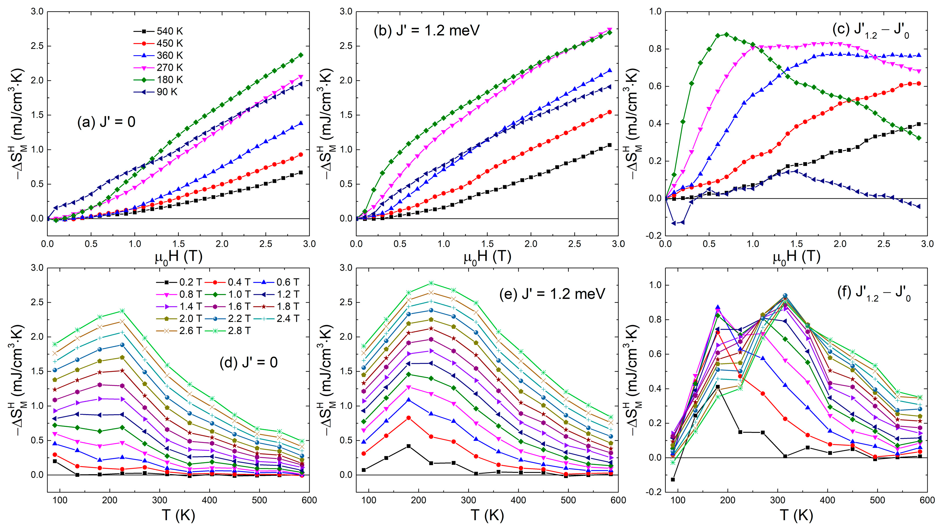
Based on the magnetization results, is calculated and its behavior with μ0H and T is depicted in Figure 2. With the increasing μ0H, increases monotonically at a given T. For J′ = 0, the largest value of under low μ0H (<1 T) is obtained at T = 90 K, while under μ0H (>1.1 T) obtained at T = 180 K. Similarly, the largest value of for J′ = 1.2 meV under low μ0H (<2.5 T) is obtained at T = 180 K, while under higher μ0H obtained at T = 270 K. Furthermore, under the same μ0H, for J′ = 1.2 meV is commonly larger than that for J′ = 0. The difference in exhibits a plateau between 0.7 and 0.8 mJ/cm3·K with μ0H at T = 270 K, while it exhibits a peak at low T, e.g., the highest difference of (~0.9 mJ/cm3·K) is obtained under μ0H = 0.7 T at T = 180 K. With the further decreasing T down to 90 K, for J′ = 1.2 meV decreases, and as a result, the difference of between J′ = 0 and 1.2 meV is smaller than 0.2 mJ/cm3·K. On the other hand, the behavior with T is commonly nonmonotonic under a given μ0H, and with increasing μ0H, the peak of moves from T = 100 to 225 K for J′ = 0 and from T = 180 to 225 K for J′ = 1.2 meV. At the same T and μ0H, for J′ = 1.2 meV is larger than that for J′ = 0, and the high difference of appears at T = 180 K under low μ0H (≤1 T) and at T = 315 K under high μ0H (≥1.4 T). Remarkably, the high μ0H can induce the large , and the peak of commonly appears at room temperature close to the magnetic phase transition temperature, e.g., Curie temperature. In the systems where J′ is taken into account, not only the temperature where the peak of appears becomes controllable, but also the values involving the peak value can be highly enhanced (up to the ~1.3 times enhancement of from J′ = 0 to 1.2 meV).
Figure 2.
Magnetic entropy change () induced by μ0H for J′ = 0 and 1.2 meV and their difference as a function of μ0H at selected T and as a function of T under selected μ0H.
Remarkably, the variation of J′ induces the magnetization change at given μ0H and T, which has been well interpreted by the molecular field theory, and thus Equation (5) should be valid, i.e., the modulation of J′ can cause the conversion from magnetic energy to thermal energy via the internal exchange interaction controllable magnetization change. Figure 3 presents the results of with T and J′ under selected μ0H. With the elevating T, is also nonmonotonic, e.g., for J′ = 1.2 meV, the peak value of reaches ~0.65 mJ/cm3·K under μ0H = 1 T and appears at T = 225 K. Interestingly, the strong μ0H can suppress , opposite to the results of vs. μ0H. Moreover, with increasing J′, the T range of the large becomes widened. At a given T and μ0H, the larger the J′ value is, the larger the value that is obtained. The sensitivity of with J′ to the μ0H depends on T, and the highest sensitivity is found near 270 K, as shown in Figure 3. The results indicate that is monotonically enhanced by increasing J′ while suppressed by applying strong μ0H, and exhibits a peak or a plateau at intermediate T, which implies that the energy competition among exchange interaction, magnetic field, and temperature determines the behaviors.
Figure 3.
Magnetic entropy change () induced by changing J′ as a function of T at selected J′ and μ0H and as a function of J′ at selected T and μ0H.
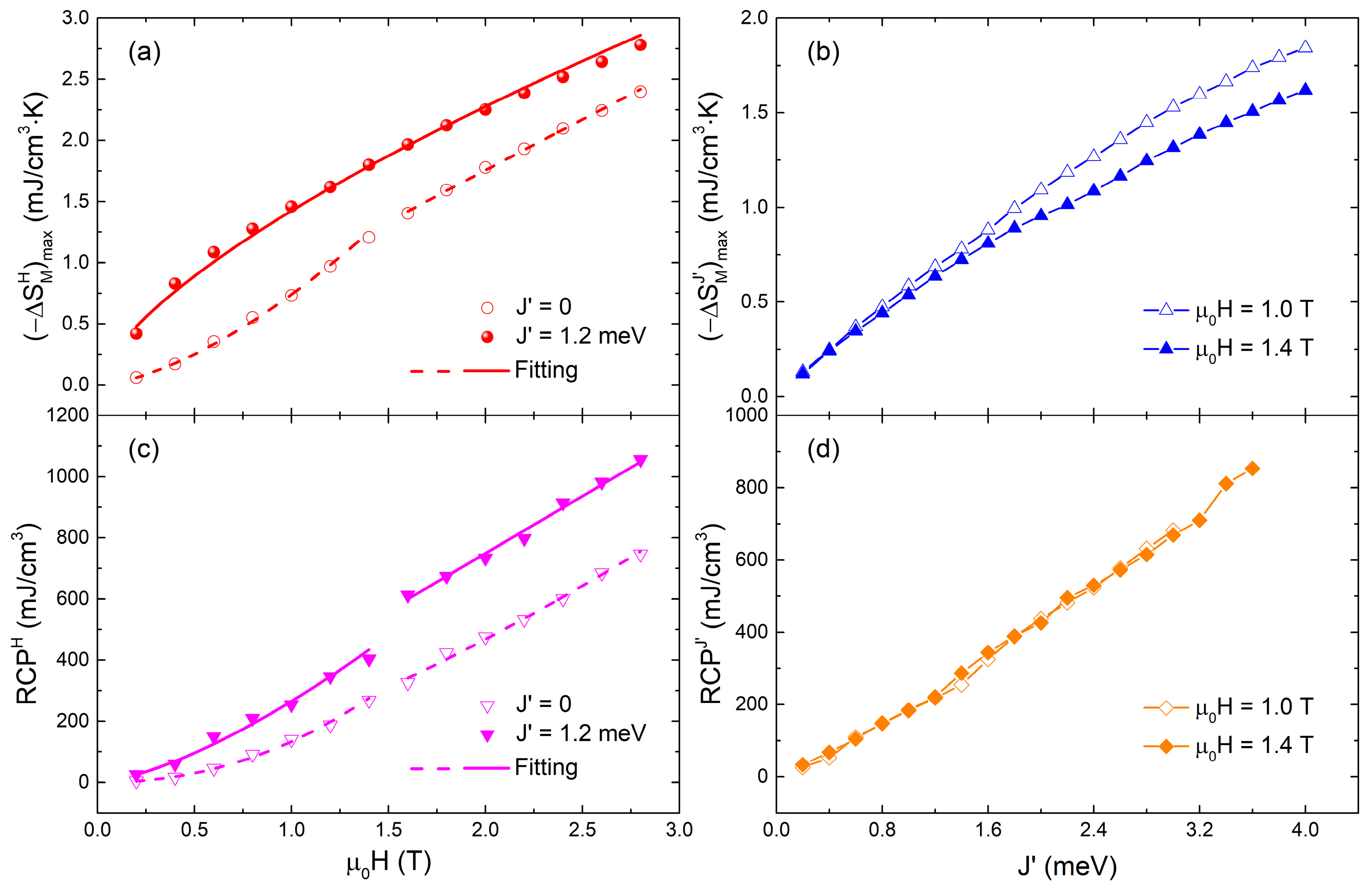
Finally, the maximum values of with T under a given μ0H for J′ = 0 and 1.2 meV and the maximum values of with T at a given J′ for μ0H = 1 and 1.4 T are exacted, and the RCPH and RCPJ′ values are calculated, respectively. As shown in Figure 4, the and RCPH values both increase with the increasing μ0H, and the values obtained for J′ = 1.2 meV are larger than those obtained for J′ = 0 under the same μ0H. On the other hand, the and RCPJ′ values both increase with the increasing J′. At low J′, the values of are approaching under μ0H = 1 and 1.4 T, while at high J′, the value of under μ0H = 1 T becomes larger than that under μ0H = 1.4 T. On the contrary, the curves of RCPJ′ are nearly overlapped under two μ0H, indicating that RCPJ′ is independent of μ0H. The μ0H dependence of and RCPH can satisfy the power–law relation,
where a and b are constants, the exponent n is related to the magnetic order [21,35,36,37], m is used to calculate the critical exponent δ, related to the μ0H dependence of magnetization during the magnetic phase transition, through the formula
Figure 4.
(a) Magnetic entropy change maximum value and (c) RCP induced by changing μ0H as a function of μ0H at selected J′. (b) Magnetic entropy change maximum value and (d) RCP induced by changing J′ as a function of J′ under selected μ0H. Solid and open symbols are simulation data results, while solid and dashed curves in (a,c) are the numerical results fitted by Equations (7) and (8).
Using n and δ, the parameter β, related to the spontaneous magnetization below the magnetic phase transition temperature, can be obtained by
The results of n, m, δ, and β are listed in Table 1. At first, different values of the fit parameters under low and high μ0H are found. The value of n is the highest under low μ0H for J′ = 0, decreases under high μ0H, and is smaller for J′ = 1.2 meV, indicating that the existence of J′ favors the magnetic ordering. The value of δ is highly enhanced with increasing μ0H for J′ = 0, and the value of δ under low μ0H for J′ = 1.2 meV is as large as that under high μ0H for J′ = 0. Therefore, the μ0H and J′ both enhance the magnetization change with μ0H during the magnetic phase transition. On the contrary, the value of β decreases monotonically from the low μ0H for J′ = 0, to the high μ0H for J′ = 0, and to the low μ0H for J′ = 1.2 meV, designating that the spontaneous magnetizing behavior is easier to occur under high μ0H and at large J′. Note that the values of δ and β under high μ0H for J′ = 1.2 meV cannot be obtained, which indicates that a linear response of RCPH to μ0H is achieved under high μ0H at large J′.
Table 1.
Calculated critical exponents and parameters of systems without J′ and with J′ = 1.2 meV under low (0.2~1.4 T) and high (1.6~2.8 T) magnetic field (μ0H).
4. Conclusions
In summary, we report a numerical study of the MCE induced by changing μ0H and to predict an intrinsic MCE which is induced by continuously changing the magnetic exchange interaction. The results show that both μ0H and J′ can change the magnetization at a given T, resulting in nonzero and . The value of increases monotonically with increasing μ0H, while exhibits a peak with decreasing T. The larger value of J′ not only increases the value, but also enhances the T value where the peak of appears. On the other hand, the value of increases monotonically with the increasing J′, while it decreases with the increasing μ0H. Moreover, the RCPH value increases with the increasing μ0H and J′, and the RCPJ′ value also increases with the increasing J′. Interestingly, RCPJ′ is fully independent of μ0H. The finding is of special importance as the low μ0H range is aimed for in a real household refrigeration scenario as the permanent magnet setup will play the greatest role in price and eco-friendliness, and this intrinsic MCE induced by changing J′ not only makes the technology attractive from the high-efficiency and environmental points of view, but also has a considerable scientific interest in itself as a manifestation of the intricate interactions between magnetic degrees of freedom and underlying lattice.
Author Contributions
J.Z.: Writing—original draft preparation, Conceptualization, Data curation, Formal analysis, Investigation, writing—review and editing, J.W.: Data curation, Formal analysis, Investigation, Visualization, Writing—review and editing, C.Z.: Data curation, Formal analysis, Investigation, Visualization, Writing—review and editing, Z.L.: Conceptualization, Formal analysis, Funding acquisition, Methodology, Visualization, Writing—review and editing, J.D.: Data curation, Formal analysis, Funding acquisition, Visualization, Y.H.: Supervision, Conceptualization, Data curation, Formal analysis, Funding acquisition, Investigation, Methodology. All authors have read and agreed to the published version of the manuscript.
Funding
This research was funded by Key Program of NSFC-Regional Innovation and Development Joint Fund, grant number U22A20117, National Natural Science Foundation of China, grant number 52171005, 52171184, and Fundamental Research Funds for Central Universities, grant number N2205015.
Institutional Review Board Statement
Not applicable.
Informed Consent Statement
Not applicable.
Data Availability Statement
The data that support the findings of this study are available from the corresponding author upon reasonable request.
Conflicts of Interest
The authors declare no conflict of interest.
References
- Untersuchungen, M.; Warburg, E. Ber Einige Wirkungen Der Coercitivkraft. Ann. Phys. 1881, 13, 141. [Google Scholar]
- Debye, P. Einige Bemerkungen Zur Magnetisierung Bei Tiefer Temperature. Ann. Phys. 1926, 81, 1154. [Google Scholar] [CrossRef]
- Giauque, W.F. A Thermodynamic Treatment of Certain Magnetic Effects. A Proposed Method of Producing Temperatures Considerably Below 1º Absolute. J. Am. Chem. Soc. 1927, 49, 1864. [Google Scholar] [CrossRef]
- Tishin, A.M.; Spichkin, Y.I. The Magnetocaloric Effect and Its Applications. In Series in Condensed Matter Physics; Coey, J.M.D., Tilley, D.R., Vij, D.R., Eds.; Institute of Physics Publishing: London, UK, 2003. [Google Scholar]
- Buschow, K.H.J. Handbook of Magnetic Materials; North-Holland Publishers: North Holland, The Netherlands, 2014. [Google Scholar]
- Pecharsky, V.K.; Gschneidner, K.A., Jr. Advanced Magnetocaloric Materials: What Does the Future Hold? Int. J. Refrigeration 2006, 29, 1239. [Google Scholar] [CrossRef]
- Brown, G.V. Magnetic Heat Pumping Near Room Temperature. J. Appl. Phys. 1976, 47, 3673. [Google Scholar] [CrossRef]
- Pecharsky, V.K.; Gschneidner, J.A., Jr. Giant Magnetocaloric Effect in Gd5(Si2Ge2). Phys. Rev. Lett. 1997, 78, 4494. [Google Scholar] [CrossRef]
- Guo, Z.B.; Du, Y.W.; Zhu, J.S.; Huang, H.; Ding, W.P.; Feng, D. Large Magnetic Entropy Change in Perovskite-Type Manganese. Phys. Rev. Lett. 1997, 78, 1142. [Google Scholar] [CrossRef]
- Hu, F.X.; Shen, B.G.; Sun, J.R. Magnetic Entropy Change in Ni51.5Mn22.7Ga25.8 Alloy. Appl. Phys. Lett. 2000, 76, 3460. [Google Scholar] [CrossRef]
- Brück, E. Developments in Magnetocaloric Refrigeration. J. Phys. D: Appl. Phys. 2005, 38, R381. [Google Scholar] [CrossRef]
- Phan, M.H.; Yu, S.C. Review of the Magnetocaloric Effect in Manganite Materials. J. Magn. Magn. Mater. 2007, 308, 325. [Google Scholar] [CrossRef]
- Pecharsky, V.K.; Gschneidner, K.A.; Tsokol, A.O. Recent Developments in Magnetocaloric Materials. Rep. Prog. Phys. 2005, 68, 1479. [Google Scholar]
- Fries, M.; Skokov, K.P.; Karpenkov, D.Y.; Franco, V.; Ener, S.; Gutfleisch, O. The Influence of Magnetocrystalline Anisotropy on the Magnetocaloric Effect: A Case Study on Co2B. Appl. Phys. Lett. 2016, 109, 232406. [Google Scholar] [CrossRef]
- Balli, M.; Jandl, S.; Fournier, P.; Gospodinov, M.M. Anisotropy-Enhanced Giant Reversible Rotating Magnetocaloric Effect in HoMn2O5 Single Crystals. Appl. Phys. Lett. 2014, 104, 232402. [Google Scholar] [CrossRef]
- Balli, M.; Fournier, P.; Jandl, S.; Mansouri, S.; Mukhin, A.; Ivanov, Y.V.; Balbashov, A.M. Comment on “Giant Anisotropy of Magnetocaloric Effect in TbMnO3 Single Crystals”. Phys. Rev. B 2017, 96, 146401. [Google Scholar] [CrossRef]
- Reis, M.S.; Rubinger, R.M.; Sobolev, N.A.; Valente, M.A.; Yamada, K.; Sato, K.; Todate, Y.; Bouravleuv, A.; von Ranke, P.J.; Gama, S. Influence of the Strong Magnetocrystalline Anisotropy on the Magnetocaloric Properties of MnP Single Crystal. Phys. Rev. B 2008, 77, 104439. [Google Scholar] [CrossRef]
- Hu, Y.; Wang, Y.; Li, Z.; Chi, X.; Lu, Q.; Hu, T.; Liu, Y.; Du, A.; Shi, F. Low-Field Magnetocaloric Effect in Single Crystals Controlled by Magnetocrystalline Anisotropy. Appl. Phys. Lett. 2018, 113, 133902. [Google Scholar] [CrossRef]
- Hu, Y.; Hu, T.; Chi, X.; Wang, Y.; Lu, Q.; Yu, L.; Li, R.; Liu, Y.; Du, A.; Li, Z.; et al. Magnetocaloric Effect in Cubically Anisotropic Magnets. Appl. Phys. Lett. 2019, 114, 023903. [Google Scholar] [CrossRef]
- Hu, T.; Chi, X.; Lu, Q.; Yu, L.; Li, R.; Liu, Y.; Du, A.; Li, Z.; Shi, F.; Hu, Y. Prediction of Optimized Magnetocaloric Effect in Anisotropic Zinc Ferric Nanoparticles: A Monte Carlo Simulation. J. Alloys Compd. 2019, 801, 465. [Google Scholar] [CrossRef]
- Zhang, J.; Hu, Y. Role of Magnetocrystalline Anisotropy on Anisotropic Magnetocaloric Effect in Single Crystals. Appl. Phys. Lett. 2021, 119, 213903. [Google Scholar] [CrossRef]
- Zhang, H.; Huang, R.; Han, Y.; Guo, S.; Wang, W.; Zheng, F.; Wang, H.; Huang, J.; Li, J.; Li, L. Effect of Partial Substitution of Ce for La on the Structural, Magnetic and Abnormal Thermal Expansion Properties of La1-xCexFe11.2Al1.8 alloys. J. Alloys Compd. 2020, 840, 155766. [Google Scholar] [CrossRef]
- Dubey, K.K.; Devi, P.; Singh, A.K.; Singh, S. Improved Crystallographic Compatibility and Magnetocaloric Reversibility in Pt Substituted Ni2Mn1.4In0.6 Magnetic Shape Memory Heusler Alloys. J. Magn. Magn. Mater. 2020, 507, 166818. [Google Scholar] [CrossRef]
- Chen, J.H.; Trigg, A.; Chhetri, T.P.; Young, D.P.; Dubenko, I.; Ali, N.; Stadler, S. The Influence of Au Substitution and Hydrostatic Pressure on the Phase Transitions and Magnetocaloric Properties of MnCoGe Alloys. J. Appl. Phys. 2020, 127, 213901. [Google Scholar] [CrossRef]
- Terwey, A.; Gruner, M.E.; Keune, W.; Landers, J.; Salamon, S.; Eggert, B.; Ollefs, K.; Brabänder, V.; Radulov, I.; Skokov, K.; et al. Influence of Hydrogenation on the Vibrational Density of States of Magnetocaloric LaFe11.4Si1.6H1.6. Phys. Rev. B 2020, 101, 064415. [Google Scholar] [CrossRef]
- Buchelnikov, V.D.; Sokolovskiy, V.V.; Taskaev, S.V.; Khovaylo, V.V.; Aliev, A.A.; Khanov, L.N.; Batdalov, A.B.; Entel, P.; Miki, H.; Takagi, T. Monte Carlo Simulations of the Magnetocaloric Effect in Magnetic Ni-Mn-X (X = Ga, In) Heusler Alloys. J. Phys. D: Appl. Phys. 2011, 44, 064012. [Google Scholar] [CrossRef]
- Sokolovskiy, V.; Grünebohm, A.; Buchelnikov, V.; Entel, P. Ab Initio and Monte Carlo Approaches For the Magnetocaloric Effect in Co- and In-Doped Ni-Mn-Ga Heusler Alloys. Entropy 2014, 16, 4992. [Google Scholar] [CrossRef]
- Bedanta, S.; Kleemann, W. Supermagnetism. J. Phys. D: Appl. Phys. 2009, 42, 013001. [Google Scholar] [CrossRef]
- Mohanta, N.; Dagotto, E.; Okamoto, S. Topological Hall Effect and Emergent Skyrmion Crystal at Manganite-Iridate Oxide Interfaces. Phys. Rev. B 2019, 100, 064429. [Google Scholar] [CrossRef]
- d’Albuquerque e Castro, J.; Altbir, D.; Retamal, J.C.; Vargas, P. Scaling Approach to the Magnetic Phase Diagram of Nanosized Systems. Phys. Rev. Lett. 2002, 88, 237202. [Google Scholar] [CrossRef]
- Coey, J.M.D. Magnetism and Magnetic Materials; Cambridge University Press: Cambridge, UK, 2009. [Google Scholar]
- Chikazumi, S. Physics of Ferromagnetism; Oxford University Press: New York, NY, USA, 1997. [Google Scholar]
- Pecharsky, V.K.; Gschneidner, K.A. Magnetocaloric Materials. Annu. Rev. Mater. Sci. 2000, 30, 387. [Google Scholar]
- Hao, F.; Hu, Y. Magnetocaloric Effect Manipulated Through Interchain Exchange Coupling in Nanochain Arrays. Appl. Phys. Lett. 2020, 117, 063902. [Google Scholar] [CrossRef]
- Oesterreicher, H.; Parker, F.T. Magnetic Cooling Near Curie Temperatures Above 300 K. J. Appl. Phys. 1984, 55, 4334. [Google Scholar] [CrossRef]
- Franco, V.; Blázquez, J.S.; Conde, A. Field Dependence of the Magnetocaloric Effect in Materials with a Second Order Phase Transition: A Master Curve For the Magnetic Entropy Change. Appl. Phys. Lett. 2006, 89, 222512. [Google Scholar] [CrossRef]
- Franco, V.; Conde, A.; Sidhaye, D.; Prasad, B.L.V.; Poddar, P.; Srinath, S.; Phan, M.H.; Srikanth, H. Field Dependence of the Magnetocaloric Effect in Core-Shell Nanoparticles. J. Appl. Phys. 2010, 107, 09A902. [Google Scholar] [CrossRef]
Publisher’s Note: MDPI stays neutral with regard to jurisdictional claims in published maps and institutional affiliations. |
© 2022 by the authors. Licensee MDPI, Basel, Switzerland. This article is an open access article distributed under the terms and conditions of the Creative Commons Attribution (CC BY) license (https://creativecommons.org/licenses/by/4.0/).



