Characteristics and Kinetics of Bainite Transformation Behaviour in a High-Silicon Medium-Carbon Steel above and below the Ms Temperature
Abstract
:1. Introduction
2. Materials and Methods
2.1. Experimental Material
2.2. Heat-Treatment Cycles
2.3. Microstructural Observation and Hardness Measurement
2.4. Microphase Analysis
2.5. Kinetics Data Collection
3. Results
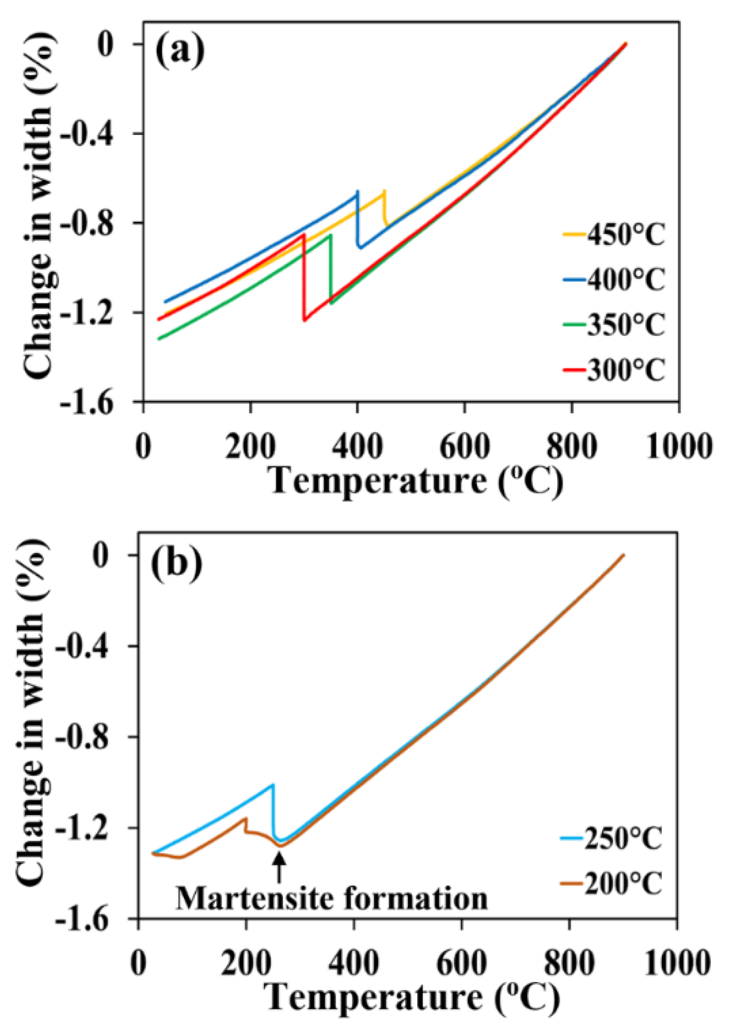
3.1. Progress of Bainite Formation
3.2. Kinetic Data of Bainite Phase Transformation
3.3. Rate of Bainite Phase Transformation
3.4. Microstructural Features and Hardness Measurements
3.5. EBSD Imaging and XRD Confirmations
4. Conclusions
- 1.
- Isothermal holding above the Ms temperature (275 °C) facilitated bainitic transformation, which was completed after 1 h isothermal holding regardless of fractions transformed. In addition, a further decrease in holding temperature below the Ms resulted in the formation of initial athermal martensite, which provided additional nucleation sites for the accelerated formation of bainitic sheaves and enabled carbon partitioning to the adjacent austenitic areas, thereby enhancing the bainite transformation rate.
- 2.
- Avrami-type functions suitably predicted the progress of bainite transformation at different isothermal holding temperatures as a function of elapsed times, above and below the Ms (275 °C). The rate coefficients k corresponding to the bainite reactions in Q&P samples (0.03–0.04 s−1) were more than 10 times greater than those for Q&B samples (0.002–0.004 s−1), which showed a weak dependence in the bainitic regime. The Avrami exponent n, on the other hand, varied in the range 1.0 and 1.8 for the isothermal Q&B treatments (above Ms), increasing with the increasing bainitizing temperature, but was significantly lower (<0.4) for Q&P treatments. The decrease in the Avrami exponent (n) with holding below the Ms (250 and 200 °C) indicated that the bainite formation became site-saturated because of the presence of numerous nucleation sites at prior austenite–martensite interfaces.
- 3.
- Following Q&P processing (below Ms at 250 and 200 °C), a maximum rate of transformation occurred at the start of isothermal holding owing to the occurrence of such mechanisms as carbon partitioning and possible ledged growth of isothermal martensite in region I. A second peak seen in region II subsequently marked the decomposition of austenite to ultrafine bainite during longer holding.
- 4.
- Microstructural investigation confirmed the dilatation results and showed the extensive formation of bainitic microstructures after isothermal holding at 450 °C, whereas multiphase microstructures comprising complex martensite–bainite–retained austenite phase constituents were realized by holding at temperatures below the Ms temperature (200 and 250 °C). TEM images confirmed the presence of fine films of interlath RA and carbides formed during different isothermal holding treatments for 1 h both above and below the Ms temperature.
- 5.
- Hardness tests performed on the Q&B and Q&P heat-treated specimens corroborated the results of the dilatation curves and phase transformation evolution. Vickers hardness decreased continuously with increasing isothermal temperature between 200 and 450 °C due to the microstructural evolution from a multiphase microstructure comprising martensite–bainite–retained austenite (isothermal holding at 200 °C) to relatively complete bainitic structures at the isothermal holding temperature of 450 °C.
Author Contributions
Funding
Data Availability Statement
Acknowledgments
Conflicts of Interest
References
- Navarro-López, A.; Hidalgo, J.; Sietsma, J.; Santofimia, M.J. Characterization of bainitic/martensitic structures formed in isothermal treatments below the Mstemperature. Mater. Charact. 2017, 128, 248–256. [Google Scholar] [CrossRef]
- Soleimani, M.; Kalhor, A.; Mirzadeh, H. Transformation-Induced Plasticity (TRIP) in Advanced Steels: A Review; Elsevier B.V.: Amsterdam, The Netherlands, 2020; Volume 795, ISBN 9821820840. [Google Scholar]
- Pashangeh, S.; Somani, M.C.; Ghasemi Banadkouki, S.S.; Karimi Zarchi, H.R.; Kaikkonen, P.; Porter, D.A. On the decomposition of austenite in a high-silicon medium-carbon steel during quenching and isothermal holding above and below the Ms temperature. Mater. Charact. 2020, 162, 110224. [Google Scholar] [CrossRef]
- De Moor, E.; Speer, J.G. Bainitic and Quenching and Partitioning Steels; Elsevier Ltd.: Amsterdam, The Netherlands, 2016; ISBN 9780081006535. [Google Scholar]
- Pashangeh, S.; Somani, M.; Sadegh, S.; Banadkouki, G. Structure-Property Correlations of a Medium C Steel Following Quenching and Isothermal Holding above and below the Ms Temperature. ISIJ Int. 2021, 61, 442–451. [Google Scholar] [CrossRef]
- Pashangeh, S.; Somani, M.; Banadkouki, S.S.G. Microstructural evolution in a high-silicon medium carbon steel following quenching and isothermal holding above and below the Ms temperature. J. Mater. Res. Technol. 2020, 9, 3438–3446. [Google Scholar] [CrossRef]
- Pan, Y.; Wang, B.; Barber, G.C. Study of bainitic transformation kinetics in SAE 52100 steel. J. Mater. Res. Technol. 2019, 8, 4569–4576. [Google Scholar] [CrossRef]
- Nayak, S.S.; Anumolu, R.; Misra, R.D.K.; Kim, K.H.; Lee, D.L. Microstructure–hardness relationship in quenched and partitioned medium-carbon and high-carbon steels containing silicon. Mater. Sci. Eng. A 2008, 498, 442–456. [Google Scholar] [CrossRef]
- Speer, J.G.; Edmonds, D.V.; Rizzo, F.C.; Matlock, D.K. Partitioning of carbon from supersaturated plates of ferrite, with application to steel processing and fundamentals of the bainite transformation. Curr. Opin. Solid State Mater. Sci. 2004, 8, 219–237. [Google Scholar] [CrossRef]
- Grajcar, A.; Zalecki, W.; Skrzypczyk, P.; Kilarski, A.; Kowalski, A.; Kołodziej, S. Dilatometric study of phase transformations in advanced high-strength bainitic steel. J. Therm. Anal. Calorim. 2014, 118, 739–748. [Google Scholar] [CrossRef] [Green Version]
- Clarke, A.J.; Speer, J.G.; Miller, M.K.; Hackenberg, R.E.; Edmonds, D.V.; Matlock, D.K.; Rizzo, F.C.; Clarke, K.D.; De Moor, E. Carbon partitioning to austenite from martensite or bainite during the quench and partition (Q&P) process: A critical assessment. Acta Mater. 2008, 56, 16–22. [Google Scholar]
- De Moor, E. Assessment of Quenching an Partitioning as a FundamentallyNew Way of Producing Advanced High Strength MartensiticSteel Grades with Improved Ductility. Ph.D. Thesis, Ghent University, Ghent, Belgium, 2009. [Google Scholar]
- Kilicli, V.; Kaplan, M. Effect of Austempering Temperatures on Microstructure and Mechanical Properties of a Bearing Steel. In Proceedings of the IX International Congress “Machines, Technologies, Materials”, Varna, Bulgaria, 19–21 September; 2012; Volume 3, pp. 34–36. [Google Scholar]
- Watt, D.F.; Coon, L.; Bibby, M.; Goldak, J.; Henwood, C. An algorithm for modelling microstructural development in weld heat-affected zones (part a) reaction kinetics. Acta Metall. 1988, 36, 3029–3035. [Google Scholar] [CrossRef]
- Rauch, L.; Kuziak, R.; Pietrzyk, M. From High Accuracy to High Efficiency in Simulations of Processing of Dual-Phase Steels. Metall. Mater. Trans. B 2014, 45, 497–506. [Google Scholar] [CrossRef] [Green Version]
- Leblond, J.B.; Devaux, J. A new kinetic model for anisothermal metallurgical transformations in steels including effect of austenite grain size. Acta Metall. 1984, 32, 137–146. [Google Scholar] [CrossRef]
- Pohjonen, A.; Somani, M.; Porter, D. Modelling of austenite transformation along arbitrary cooling paths. Comput. Mater. Sci. 2018, 150, 244–251. [Google Scholar] [CrossRef]
- Liu, D.; Fazeli, F.; Militzer, M.; Poole, W.J. A Microstructure Evolution Model for Hot Rolling of a Mo-TRIP Steel. Metall. Mater. Trans. A 2007, 38, 894–909. [Google Scholar] [CrossRef]
- Liu, D.; Fazeli, F.; Militzer, M. Modeling of Microstructure Evolution during Hot Strip Rolling of Dual Phase Steels. ISIJ Int. 2007, 47, 1789–1798. [Google Scholar] [CrossRef] [Green Version]
- Jia, T.; Militzer, M.; Liu, Z.Y. General method of phase transformation modeling in advanced high strength steels. ISIJ Int. 2010, 50, 583–590. [Google Scholar] [CrossRef] [Green Version]
- Leblond, J.-B.; Mottet, G.; Devaux, J.; Devaux, J.-C. Mathematical models of anisothermal phase transformations in steels, and predicted plastic behaviour. Mater. Sci. Technol. 1985, 1, 815–822. [Google Scholar] [CrossRef]
- Kumar, A.; Singh, A. Toughness dependence of nano-bainite on phase fraction and morphology. Mater. Sci. Eng. A 2018, 729, 439–443. [Google Scholar] [CrossRef]
- Zhao, L.; Qian, L.; Zhou, Q.; Li, D.; Wang, T.; Jia, Z.; Zhang, F.; Meng, J. The combining effects of ausforming and below-Ms or above-Ms austempering on the transformation kinetics, microstructure and mechanical properties of low-carbon bainitic steel. Mater. Des. 2019, 183, 108123. [Google Scholar] [CrossRef]
- Kaneshita, T.; Miyamoto, G.; Furuhara, T. Variant selection in grain boundary nucleation of bainite in Fe-2Mn-C alloys. Acta Mater. 2017, 127, 368–378. [Google Scholar] [CrossRef]
- Beladi, H.; Tari, V.; Timokhina, I.B.; Cizek, P.; Rohrer, G.S.; Rollett, A.D.; Hodgson, P.D. On the crystallographic characteristics of nanobainitic steel. Acta Mater. 2017, 127, 426–437. [Google Scholar] [CrossRef] [Green Version]
- Bhadeshia, H.K.D.H.; Christian, J.W. Bainite in steels. Metall. Trans. A 1990, 21, 767–797. [Google Scholar] [CrossRef]
- Avishan, B. Transformation induced plasticity effect under tensile and compression stresses in nanostructured bainite. Mater. Sci. Eng. A 2018, 729, 362–369. [Google Scholar] [CrossRef]
- Abbaszadeh, K.; Saghafian, H.; Kheirandish, S. Effect of Bainite Morphology on Mechanical Properties of the Mixed Bainite-martensite Microstructure in D6AC Steel. J. Mater. Sci. Technol. 2012, 28, 336–342. [Google Scholar] [CrossRef]
- Somani, M.C.; Porter, D.A.; Kömi, J.I.; Karjalainen, L.P.; Misra, D.K. Tough Ductile Ultra High Strength Steels Through Direct Quenching and Partitioning—An Update. In Proceedings of the International Conference on Martensitic Transformations, Chicago, IL, USA, 9–14 July, 2018; Stebner, A.P., Olson, G.B., Eds.; Springer International Publishing: Cham, Switzerland, 2018; pp. 129–134. [Google Scholar]
- Pashangeh, S.; Banadkouki, S.S.G.; Somani, M.C. Abnormal mechanical response in a silicon bearing medium carbon low alloy steel following quenching and bainitic holding versus quenching and partitioning treatment. J. Mater. Res. Technol. 2020, 9, 5007–5023. [Google Scholar] [CrossRef]
- Tian, J.; Xu, G.; Hu, H.; Wang, X.; Zurob, H. Transformation kinetics of carbide-free bainitic steels during isothermal holding above and below MS. J. Mater. Res. Technol. 2020, 9, 13594–13606. [Google Scholar] [CrossRef]
- Pashangeh, S.; Zarchi, H.R.K.; Banadkouki, S.S.G.; Somani, M.C. Detection and estimation of retained austenite in a high strength Si-bearing bainite-martensite-retained austenite micro-composite steel after quenching and bainitic holding (Q&B). Metals 2019, 9, 492. [Google Scholar] [CrossRef] [Green Version]
- Li, H. Microstructure and Mechanical Properties of 50SiMnNiNb Steel by a Novel Quenching-Partitioning-Austempering Heat Treatment. Chin. J. Mech. Eng. 2009, 22, 1. [Google Scholar]
- Quench, T.; Partition, Q.; Steel, P. Prediction of Carbon Partitioning and Austenite Stability via Non-equilibrium Prediction of Carbon Partitioning and Austenite Stability via Non-equilibrium Thermodynamics in Quench and Partition ( Q & P ) Steel. JOM 2019, 71, 1375–1385. [Google Scholar] [CrossRef]
- Markworth, A.J.; Glasser, M.L.; Markworth, A.J. Kinetics of anisothermal phase transformations Kinetics of anisothermal phase transformations. J. Appl. Phys. 1983, 54, 3502–3508. [Google Scholar] [CrossRef]
- Guo, H.; Feng, X.; Zhao, A.; Li, Q.; Ma, J. Influence of Prior Martensite on Bainite Transformation, Microstructures, and Mechanical Properties in Ultra-Fine Bainitic Steel. Materials 2019, 12, 527. [Google Scholar] [CrossRef] [Green Version]
- Gong, W.; Tomota, Y.; Harjo, S.; Su, Y.H.; Aizawa, K. Effect of prior martensite on bainite transformation in nanobainite steel. Acta Mater. 2015, 85, 243–249. [Google Scholar] [CrossRef]
- Zhao, L.; Qian, L.; Meng, J.; Zhou, Q.; Zhang, F. Below-Ms austempering to obtain refined bainitic structure and enhanced mechanical properties in low-C high-Si/Al steels. Scr. Mater. 2016, 112, 96–100. [Google Scholar] [CrossRef]
- Feng, J.; Frankenbach, T.; Wettlaufer, M. Strengthening 42crmo4 steel by isothermal transformation below martensite start temperature. Mater. Sci. Eng. A 2017, 683, 110–115. [Google Scholar] [CrossRef]
- Samanta, S.; Biswas, P.; Giri, S.; Singh, S.B.; Kundu, S. Formation of bainite below the MS temperature: Kinetics and crystallography. Acta Mater. 2016, 105, 390–403. [Google Scholar] [CrossRef]
- Somani, M.C.; Porter, D.A.; Kömi, J.I.; Karjalainen, L.P.; Misra, D.K. Recent advances in TMR-DQP processing for tough, ductile high strength strip steels. In Proceedings of the International Symposium Advanced High Strength Sheet Steels, Keystone, Royal Dublin Society, Dublin 4, Ireland, 30 May–2 June 2017; Volume 30, pp. 4548–4557. [Google Scholar]
- Navarro-Lopez, A.; Sietsma, J.; Santofimia, M.J. Effect of prior athermal martensite on the isothermal transformation kinetics below M s in a low-C high-Si steel. Metall. Mater. Trans. A 2016, 47, 1028–1039. [Google Scholar] [CrossRef] [Green Version]
- Zhou, M.; Xu, G.; Hu, H.; Yuan, Q.; Tian, J. Kinetics model of bainitic transformation with stress. Met. Mater. Int. 2018, 24, 28–34. [Google Scholar] [CrossRef]
- Kawata, H.; Hayashi, K.; Sugiura, N.; Yoshinaga, N.; Takahashi, M. Effect of martensite in initial structure on bainite transformation. In Proceedings of the Materials Science Forum; Trans Tech Publications: Frienbach, Switzerland, 2010; Volume 638, pp. 3307–3312. [Google Scholar]
- Zhou, M.; Xu, G.; Wang, L.; Hu, H. Combined effect of the prior deformation and applied stress on the bainite transformation. Met. Mater. Int. 2016, 22, 956–961. [Google Scholar] [CrossRef]
- Bhadeshia, H. Nanostructured bainite. In Proceedings of the Royal Society of London A: Mathematical, Physical and Engineering Sciences; The Royal Society: London, UK, 2010; Volume 466, pp. 3–18. [Google Scholar]
- Li, W.; Gao, H.; Li, Z.; Nakashima, H.; Hata, S.; Tian, W. Effect of lower bainite/martensite/retained austenite triplex microstructure on the mechanical properties of a low-carbon steel with quenching and partitioning process. Int. J. Miner. Metall. Mater. 2016, 23, 303–313. [Google Scholar] [CrossRef]
- Avishan, B.; Garcia-Mateo, C.; Yazdani, S.; Caballero, F.G. Retained austenite thermal stability in a nanostructured bainitic steel. Mater. Charact. 2013, 81, 105–110. [Google Scholar] [CrossRef] [Green Version]














| Isothermal Holding Temperature (°C) | Linear Regression Equations | |
|---|---|---|
| 450 °C | y = 1.7855x − 6.2659 | R2 = 0.9433 |
| 400 °C | y = 1.4251x − 6.205 | R2 = 0.9634 |
| 350 °C | y = 1.2862x − 5.9329 | R2 = 0.9701 |
| 300 °C | y = 1.0029x − 5.6968 | R2 = 0.9157 |
| 250 °C | y = 0.3665x − 3.2404 | R2 = 0.9611 |
| 200 °C | y = 0.1622x − 3.5651 | R2 = 0.9188 |
| Isothermal Holding Temperature (°C) | n | k (1/s) |
|---|---|---|
| 450 °C | 1.7855 | 0.0019 |
| 400 °C | 1.4251 | 0.0021 |
| 350 °C | 1.2862 | 0.0027 |
| 300 °C | 1.0029 | 0.0040 |
| 250 °C | 0.3665 | 0.0392 |
| 200 °C | 0.1622 | 0.0283 |
| Isothermal Holding Temperature (°C) | Macrohardness (HV30) |
|---|---|
| 450 °C | 350 |
| 400 °C | 430 |
| 350 °C | 530 |
| 300 °C | 584 |
| 250 °C | 600 |
| 200 °C | 655 |
| Isothermal Holding Temperature (°C) | RA (vol.%) | Carbon Content of RA (wt.%) |
|---|---|---|
| 450 | ˂3 | - |
| 400 | ˂3 | - |
| 350 | 6.9 | 1.39 |
| 300 | 6 | 1.45 |
| 250 | 7.8 | 1.21 |
| 200 | 17.2 | 1.20 |
Publisher’s Note: MDPI stays neutral with regard to jurisdictional claims in published maps and institutional affiliations. |
© 2022 by the authors. Licensee MDPI, Basel, Switzerland. This article is an open access article distributed under the terms and conditions of the Creative Commons Attribution (CC BY) license (https://creativecommons.org/licenses/by/4.0/).
Share and Cite
Pashangeh, S.; Ghasemi Banadkouki, S.S.; Somani, M.; Kömi, J. Characteristics and Kinetics of Bainite Transformation Behaviour in a High-Silicon Medium-Carbon Steel above and below the Ms Temperature. Materials 2022, 15, 539. https://doi.org/10.3390/ma15020539
Pashangeh S, Ghasemi Banadkouki SS, Somani M, Kömi J. Characteristics and Kinetics of Bainite Transformation Behaviour in a High-Silicon Medium-Carbon Steel above and below the Ms Temperature. Materials. 2022; 15(2):539. https://doi.org/10.3390/ma15020539
Chicago/Turabian StylePashangeh, Shima, Seyed Sadegh Ghasemi Banadkouki, Mahesh Somani, and Jukka Kömi. 2022. "Characteristics and Kinetics of Bainite Transformation Behaviour in a High-Silicon Medium-Carbon Steel above and below the Ms Temperature" Materials 15, no. 2: 539. https://doi.org/10.3390/ma15020539
APA StylePashangeh, S., Ghasemi Banadkouki, S. S., Somani, M., & Kömi, J. (2022). Characteristics and Kinetics of Bainite Transformation Behaviour in a High-Silicon Medium-Carbon Steel above and below the Ms Temperature. Materials, 15(2), 539. https://doi.org/10.3390/ma15020539

