Mechanical and Acoustic Emission Characteristics of Coal-like Rock Specimens under Static Direct Shear and Dynamic Normal Load
Abstract
:1. Introduction
2. Materials and Methods
2.1. Specimen Preparation
2.2. Testing Equipment
2.3. Test Procedure
3. Results
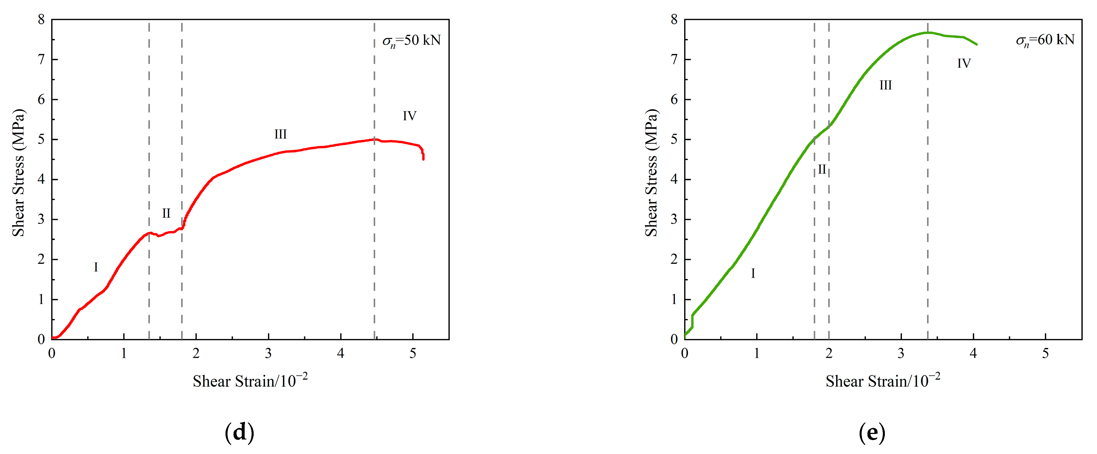
3.1. Characteristic Analysis of Stress–Strain Curves
3.2. Effect of Dynamic Normal Load on Shear Strength
3.3. Normal Displacement Characteristics
3.4. Analysis of AE
3.4.1. AE Energy and Cumulative Ring-Down Count
3.4.2. Analysis of Damage Evolution
3.4.3. Analyzing the Failure Mechanism by RA-AF
4. Conclusions
- Under the action of constant normal load, the shear failure process of a specimen can be divided into four stages: crack initial compaction stage (I), shear slip stage (II), elastic-plastic stage (III) and post-peak stage (IV). At the shear slip stage, there are shear slip surfaces inside the specimen.
- Disturbance has a great influence on the mechanical properties and failure mechanism of coal-like rock materials in the shear failure process. Disturbance reduces the shear strength of sandstone and improves the shear modulus of coal-like rock materials. The influence of disturbance on the shear strength of a specimen decreases with the increase in normal load.
- By analyzing AE data, it can be found that the dynamic normal load makes the internal damage of a specimen more serious in the shear failure process, and the severity of final failure is reduced. With the increase in dynamic normal load, the fracture propagation speed becomes slower and less energy is released during the shear process.
- Based on the AE cumulative energy, the damage variable of shear process under dynamic normal load was derived, the damage evolution process was divided into three stages, and the change characteristics of different stages were analyzed.
- The shear failure mechanism of specimens was judged by RA-AF. When the dynamic normal load was 10 kN or 30 kN, the fractures in the shear failure process were mainly shear fractures. When the dynamic normal load was 50 kN, the fractures were mainly tensile or mixed fractures.
Author Contributions
Funding
Institutional Review Board Statement
Informed Consent Statement
Data Availability Statement
Conflicts of Interest
References
- Vižintin, G.; Kocjančič, M.; Vulić, M. Study of Coal Burst Source Locations in the Velenje Colliery. Energies 2016, 9, 507. [Google Scholar] [CrossRef]
- Holub, K. A study of mining-induced seismicity in czech mines with longwall coal exploitation. J. Min. Sci. 2007, 43, 32–39. [Google Scholar] [CrossRef]
- Li, T.; Cai, M.F.; Cai, M. A review of mining-induced seismicity in China. Int. J. Rock Mech. Min. Sci. 2007, 44, 1149–1171. [Google Scholar] [CrossRef]
- Cai, M.; Kaiser, P. Visualization of rock mass classification systems. Geotech. Geol. Eng. 2006, 24, 1089–1102. [Google Scholar] [CrossRef]
- Tibbett, J.; Suorineni, F.; Hebblewhite, B. Preliminary investigation of rockmass response to undercut blasting in a block cave mining system using VRSV. CIM J. 2016, 7, 121–131. [Google Scholar] [CrossRef]
- He, M.C.; Ren, F.Q.; Liu, D.Q. Rockburst mechanism research and its control. Int. J. Min. Sci. Technol. 2018, 28, 829–837. [Google Scholar] [CrossRef]
- Li, X.B.; Gong, F.Q. Research progress and prospect of deep mining rock mechanics based on coupled static-dynamic loading testing. J. China Coal Soc. 2021, 46, 846–866. [Google Scholar]
- Li, X.B.; Zhou, J.; Wang, S.F.; Liu, B. Review and practice of deep mining for solid mineral resources. Chin. J. Nonferrous Met. 2017, 27, 1236–1262. [Google Scholar]
- Xie, H.P. Research review of the state key research development program of China: Deep rock mechanics and mining theory. J. China Coal Soc. 2019, 44, 1283–1305. [Google Scholar]
- Liang, C.Y.; Li, X.; Li, S.D.; Hao, J.M.; Ma, C.F. Study of strain rates threshold value between static loading and quasi-dynamic loading of rock. Chin. J. Rock Mech. Eng. 2012, 31, 1156–1161. [Google Scholar]
- Tang, L.Z.; WU, J.L.; Liu, T.; Zhu, J.; Shu, J.B. Mechanical experiments of marble under high stress and cyclic dynamic disturbance of small amplitude. J. Cent. South Univ. (Sci. Technol.) 2014, 45, 4300–4307. [Google Scholar]
- Zhang, Q.B.; Zhao, J. A Review of Dynamic Experimental Techniques and Mechanical Behaviour of Rock Materials. Rock Mech. Rock Eng. 2014, 47, 1411–1478. [Google Scholar] [CrossRef]
- Gao, M.Z.; Wang, M.Y.; Xie, J.; Gao, Y.N.; Deng, G.D.; Yang, B.G.; Wang, F.; Hao, H.C.; Xie, H.P. In-situ disturbed mechanical behavior of deep coal rock. J. China Coal Soc. 2020, 45, 2691–2703. [Google Scholar]
- Gong, F.Q.; Li, X.B.; Liu, X.L. Experimental study of dynamic characteristics of sandstone under one-dimensional coupled static and dynamic loads. Chin. J. Rock Mech. Eng. 2010, 29, 2076–2085. [Google Scholar]
- Gong, F.Q.; Li, X.B.; Liu, X.L. Preliminary experimental study of characteristics of rock subjected to 3D coupled static and dynamic loads. Chin. J. Rock Mech. Eng. 2011, 30, 1179–1190. [Google Scholar]
- Gong, F.Q.; Lu, D.H.; Li, X.B.; Rao, Q.H.; Fu, Z.T. Toughness increasing or decreasing effect of hard rock fracture with pre-static loading under dynamic disturbance. Chin. J. Rock Mech. Eng. 2014, 33, 1905–1915. [Google Scholar]
- Li, X.B.; Zuo, Y.J.; Ma, C.D. Constitutive model of rock under coupled static-dynamic loading with intermediate strain rate. Chin. J. Rock Mech. Eng. 2006, 16, 865–874. [Google Scholar]
- Liu, E.L.; He, S.M. Effects of cyclic dynamic loading on the mechanical properties of intact rock samples under confining pressure conditions. Eng. Geol. 2012, 125, 81–91. [Google Scholar] [CrossRef]
- Bagde, M.N.; Petros, V. Fatigue properties of intact sandstone samples subjected to dynamic uniaxial cyclical loading. Int. J. Rock Mech. Min. Sci. 2005, 42, 237–250. [Google Scholar] [CrossRef]
- Carter, J.P.; Ooi, L.H. A Constant Normal Stiffness Direct Shear Device for Static and Cyclic Loading. Geotech. Test. J. 1987, 10, 3–12. [Google Scholar]
- Zhang, L.; Thornton, C. A numerical examination of the direct shear test. Géotechnique 2007, 57, 343–354. [Google Scholar] [CrossRef]
- Xu, J.; Liu, J.; Wu, H.; Cheng, L.C.; Lu, L.F. Test study of sandstone cracking and propagation process under compressive-shear stress. Chin. J. Rock Mech. Eng. 2013, 32, 3042–3048. [Google Scholar]
- Xu, J.; Lu, L.F.; Yang, H.W.; Zhang, Y.; Wang, L. Study of evolution law of microfracturing progress of sandstone under shear loading. Chin. J. Rock Mech. Eng. 2011, 30, 944–950. [Google Scholar]
- Cheng, T.; Guo, B.H.; Sun, J.H.; Tian, S.X.; Sun, C.X.; Chen, Y. Establishment of constitutive relation of shear deformation for irregular joints in sandstone. Rock Soil Mech. 2022, 43, 51–64. [Google Scholar]
- Huang, D.; Cen, D.F.; Song, Y.X. Comparative Investigation on the Compression–Shear and Tension–Shear Behaviour of Sandstone at Different Shearing Rates. Rock Mech. Rock Eng. 2020, 53, 3111–3131. [Google Scholar] [CrossRef]
- Dang, W.G.; Konietzky, H.; Frühwirt, T. Direct shear behavior of a plane joint under dynamic normal load (DNL) conditions. Eng. Geol. 2016, 213, 133–141. [Google Scholar] [CrossRef]
- Dang, W.G.; Konietzky, H.; Frühwirt, T. Direct Shear Behavior of Planar Joints Under Cyclic Normal Load Conditions: Effect of Different Cyclic Normal Force Amplitudes. Rock Mech. Rock Eng. 2017, 50, 3101–3107. [Google Scholar] [CrossRef]
- Li, S.G.; Bie, C.F.; Zhao, P.X.; Li, L.; Lin, H.F. Study on influence factors of new solid-gas coupling simulation material. J. Min. Saf. Eng. 2017, 34, 981–986. [Google Scholar] [CrossRef]
- Li, Q.G.; Lin, B.Q.; Zhai, C. The effect of pulse frequency on the fracture extension during hydraulic fracturing. J. Nat. Gas Sci. Eng. 2014, 21, 296–303. [Google Scholar] [CrossRef]
- Zhai, C.; Xu, J.Z.; Liu, S.M.; Qin, L. Fracturing mechanism of coal-like rock specimens under the effect of non-explosive expansion. Int. J. Rock Mech. Min. Sci. 2018, 103, 145–154. [Google Scholar] [CrossRef]
- Liu, B.X.; Huang, J.L.; Wang, Z.Y.; Liu, L. Study on damage evolution and acoustic emission character of coal-rock under uniaxial compression. Chin. J. Rock Mech. Eng. 2009, 28, 3234–3238. [Google Scholar]
- Carlson, S.R.; Young, R.P. Acoustic emission and ultrasonic velocity study of excavation-induced microcrack damage at the underground research laboratory. Int. J. Rock Mech. Min. Sci. Geomech. Abstr. 1993, 30, 901–907. [Google Scholar] [CrossRef]
- Liu, D.W.; Jiang, S.L.; Tang, Y. Mechanical Properties of Metasandstone under Uniaxial Graded Cyclic Loading and Unloading. Appl. Sci. 2022, 12, 6310. [Google Scholar] [CrossRef]
- Zhao, C.X.; Liu, J.F.; Lyu, C.; Chen, W.Z.; Li, X.Y.; Li, Z.C. Experimental study on mechanical properties, permeability and energy characteristics of limestone from through-coal seam (TCS) tunnel. Eng. Geol. 2022, 303, 106673. [Google Scholar] [CrossRef]
- Cheon, D.S.; Jung, Y.B.; Park, E.S.; Song, W.K.; Jang, H.L. Evaluation of damage level for rock slopes using acoustic emission technique with waveguides. Eng. Geol. 2011, 121, 75–88. [Google Scholar] [CrossRef]
- Meng, F.Z.; Wong, L.N.Y.; Zhou, H.; Wang, Z.Q.; Zhang, L.M. Asperity degradation characteristics of soft rock-like fractures under shearing based on acoustic emission monitoring. Eng. Geol. 2020, 266, 105392. [Google Scholar] [CrossRef]
- Aggelis, D.G.; Mpalaskas, A.C.; Matikas, T.E. Acoustic signature of different fracture modes in marble and cementitious materials under flexural load. Mech. Res. Commun. 2013, 47, 39–43. [Google Scholar] [CrossRef]
- Zha, E.S.; Zhang, R.; Zhang, Z.T.; Ai, T.; Ren, L.; Zhang, Z.P.; Liu, Y.; Lou, C.D. Acoustic Emission Characteristics and Damage Evolution of Rock under Different Loading Modes. Energies 2020, 13, 3649. [Google Scholar] [CrossRef]
- Wu, S.; Qin, G.P.; Cao, J. Deformation, Failure, and Acoustic Emission Characteristics under Different Lithological Confining Pressures. Materials 2022, 15, 4257. [Google Scholar] [CrossRef]
- Aggelis, D.G. Classification of cracking mode in concrete by acoustic emission parameters. Mech. Res. Commun. 2011, 38, 153–157. [Google Scholar] [CrossRef]
- Wang, H.J.; Liu, D.A.; Cui, Z.D.; Cheng, C.; Jian, Z. Investigation of the fracture modes of red sandstone using XFEM and acoustic emissions. Theor. Appl. Fract. Mech. 2016, 85, 283–293. [Google Scholar] [CrossRef]
- Ohno, H.; Ohtsu, M. Crack classification in concrete based on acoustic emission. Constr. Build. Mater. 2010, 24, 2339–2346. [Google Scholar] [CrossRef]
- Zhou, Z.L.; Li, G.N.; Ning, S.L.; Du, K. Acoustic emission characteristics and failure mechanism of high-stressed rocks under lateral disturbance. Chin. J. Rock Mech. Eng. 2014, 33, 1720–1728. [Google Scholar]
- Zhai, C.; Zheng, Y.F.; Yu, X.; Xu, J.Z.; Sun, Y.; Cong, Y.Z.; Tang, W.; Li, Y.J.; Zhu, X.Y.; Chen, A.K. Experimental study on the mechanical properties of coal-like materials for hydraulic fracturing simulation. Coal Geol. Explor. 2020, 50, 16–28. [Google Scholar]
- Wen, X.Z.; Feng, G.R.; Guo, J.; Wang, P.F.; Qian, R.P.; Zhu, L.J.; Hao, C.L.; Fan, Y.J. Dynamic tensile mechanical response properties of sandstone under medium and low strain rate disturbance load. Chin. J. Rock Mech. Eng. 2022, 41, 2812–2822. [Google Scholar]
- Yin, Q.; Jing, H.W.; Meng, B.; Liu, R.C.; Wu, J.Y.; Wu, Y.J. Macroscopic and microscopic shear mechanical properties of sandstone under CNL and CNS boundary conditions. J. Min. Saf. Eng. 2021, 38, 615–624. [Google Scholar]
- Mavko, G.; Jizba, D. Estimating grain-scale fluid effects on velocity dispersion in rocks. Geophysics 2012, 56, 1940–1949. [Google Scholar] [CrossRef]
- Li, D.Q.; Si, W.P.; Chen, S.H.; Wei, J.X.; Di, B.R. Experimental study and theoretical simulation of dynamic shear modulus hardening in saturated tight sandstone. Chin. J. Geophys. 2021, 64, 2916–2926. [Google Scholar]
- Liu, X.W.; Lin, J.Z.; Yuan, Z.Y. Research on evaluation of material fatigue damage by acoustic emission technology. China Railw. Sci. 1997, 18, 74–81. [Google Scholar]
- Lockner, D. The role of acoustic emission in the study of rock fracture. Int. J. Rock Mech. Min. Sci. Geomech. Abstr. 1993, 30, 883–899. [Google Scholar] [CrossRef]
- Brindley, B.J.; Holt, J.; Palmer, I.G. Acoustic emission-3: The use of ring-down counting. Non-Destr. Test. 1973, 6, 299–306. [Google Scholar] [CrossRef]
- Ramirez-Jimenez, C.R.; Papadakis, N.; Reynolds, N.; Gan, T.H.; Purnell, P.; Pharaoh, M. Identification of failure modes in glass/polypropylene composites by means of the primary frequency content of the acoustic emission event. Compos. Sci. Technol. 2004, 64, 1819–1827. [Google Scholar] [CrossRef]
- GAN, Y.X.; Wu, S.C.; Ren, Y.; Zhang, G. Evaluation indexes of granite splitting failure based on RA and AF of AE parameters. Rock Soil Mech. 2020, 41, 2324–2332. [Google Scholar]













Publisher’s Note: MDPI stays neutral with regard to jurisdictional claims in published maps and institutional affiliations. |
© 2022 by the authors. Licensee MDPI, Basel, Switzerland. This article is an open access article distributed under the terms and conditions of the Creative Commons Attribution (CC BY) license (https://creativecommons.org/licenses/by/4.0/).
Share and Cite
Guo, J.; Yu, L.; Wen, Z.; Feng, G.; Bai, J.; Wen, X.; Qi, T.; Qian, R.; Zhu, L.; Guo, X.; et al. Mechanical and Acoustic Emission Characteristics of Coal-like Rock Specimens under Static Direct Shear and Dynamic Normal Load. Materials 2022, 15, 6546. https://doi.org/10.3390/ma15196546
Guo J, Yu L, Wen Z, Feng G, Bai J, Wen X, Qi T, Qian R, Zhu L, Guo X, et al. Mechanical and Acoustic Emission Characteristics of Coal-like Rock Specimens under Static Direct Shear and Dynamic Normal Load. Materials. 2022; 15(19):6546. https://doi.org/10.3390/ma15196546
Chicago/Turabian StyleGuo, Jun, Luyang Yu, Zhijie Wen, Guorui Feng, Jinwen Bai, Xiaoze Wen, Tingye Qi, Ruipeng Qian, Linjun Zhu, Xingchen Guo, and et al. 2022. "Mechanical and Acoustic Emission Characteristics of Coal-like Rock Specimens under Static Direct Shear and Dynamic Normal Load" Materials 15, no. 19: 6546. https://doi.org/10.3390/ma15196546
APA StyleGuo, J., Yu, L., Wen, Z., Feng, G., Bai, J., Wen, X., Qi, T., Qian, R., Zhu, L., Guo, X., & Mi, X. (2022). Mechanical and Acoustic Emission Characteristics of Coal-like Rock Specimens under Static Direct Shear and Dynamic Normal Load. Materials, 15(19), 6546. https://doi.org/10.3390/ma15196546

