Investigation of the Efficiency of Shielding Gamma and Electron Radiation Using Glasses Based on TeO2-WO3-Bi2O3-MoO3-SiO to Protect Electronic Circuits from the Negative Effects of Ionizing Radiation
Abstract
1. Introduction
2. Experimental Methods
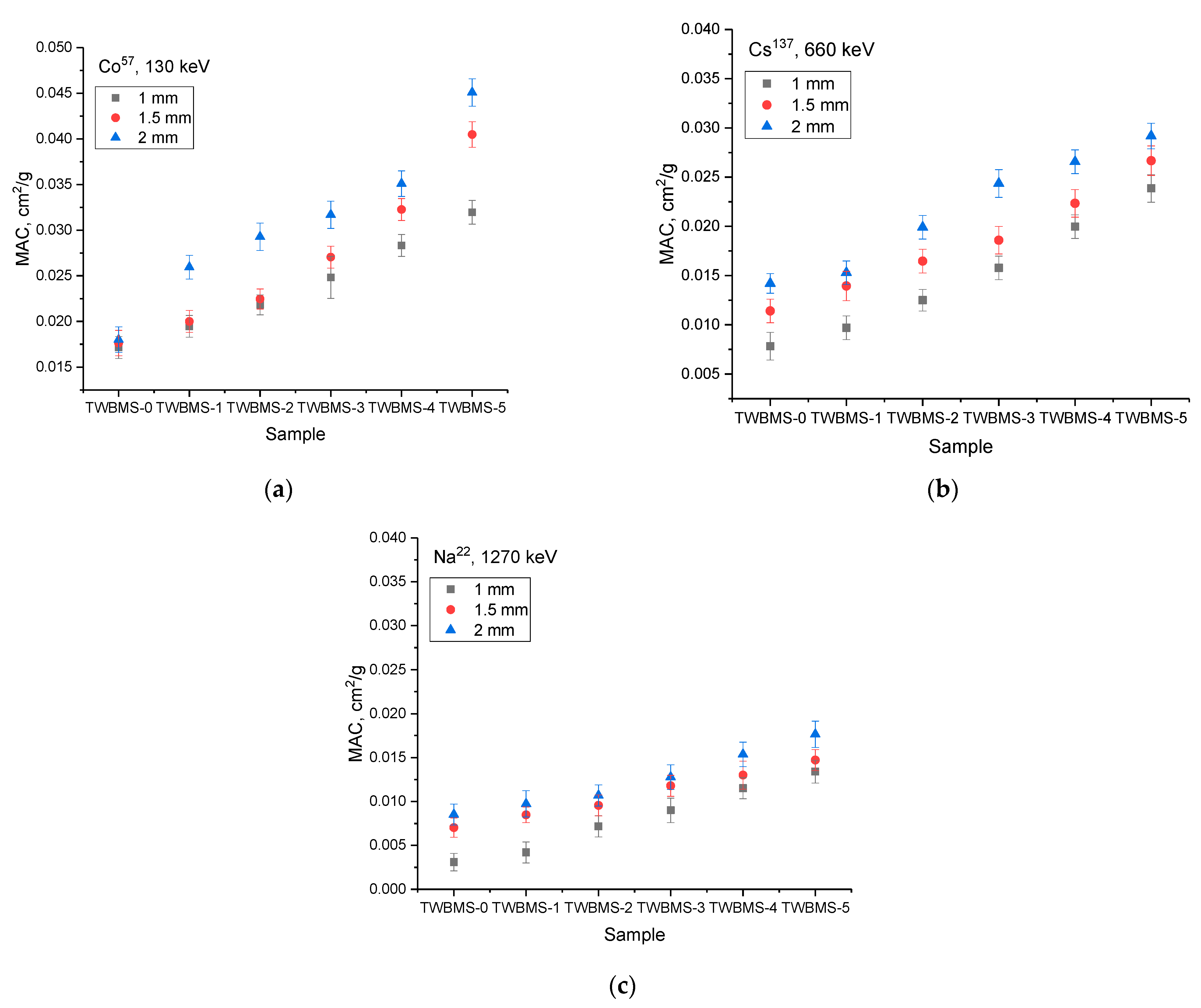
3. Results and Discussion
4. Conclusions
Author Contributions
Funding
Institutional Review Board Statement
Informed Consent Statement
Data Availability Statement
Conflicts of Interest
References
- Tan, C.M.; Pandey, V.K.; Chiang, Y.; Lee, T.P. Electronic Reliability Analysis under Radiation Environment. Sens. Mater. 2022, 34, 1119. [Google Scholar] [CrossRef]
- Yang, Y.; Wang, Y.; Yu, C.-H.; Bao, M.-T.; Cao, F. Analysis of radiation effect of a novel SOI-like LDMOS structure. Microelectron. Reliab. 2022, 129, 114471. [Google Scholar] [CrossRef]
- Karmakar, A.; Wang, J.; Prinzie, J.; De Smedt, V.; Leroux, P. A Review of Semiconductor Based Ionising Radiation Sensors Used in Harsh Radiation Environments and Their Applications. Radiation 2021, 1, 194–217. [Google Scholar] [CrossRef]
- Pearton, S.J.; Haque, A.; Khachatrian, A.; Ildefonso, A.; Chernyak, L.; Ren, F. Review—Opportunities in Single Event Effects in Radiation-Exposed SiC and GaN Power Electronics. ECS J. Solid State Sci. Technol. 2021, 10, 075004. [Google Scholar] [CrossRef]
- Zekentes, K.; Choi, J.; Stambouli, V.; Bano, E.; Karker, O.; Rogdakis, K. Progress in SiC nanowire field-effect-transistors for integrated circuits and sensing applications. Microelectron. Eng. 2022, 255, 111704. [Google Scholar] [CrossRef]
- Papež, N.; Gajdoš, A.; Dallaev, R.; Sobola, D.; Sedlák, P.; Motúz, R.; Nebojsa, A.; Grmela, L. Performance analysis of GaAs based solar cells under gamma irradiation. Appl. Surf. Sci. 2020, 510, 145329. [Google Scholar] [CrossRef]
- Fleetwood, D.M. Radiation Effects in a Post-Moore World. IEEE Trans. Nucl. Sci. 2021, 68, 509–545. [Google Scholar] [CrossRef]
- Sequeira, M.C.; Mattei, J.-G.; Vazquez, H.; Djurabekova, F.; Nordlund, K.; Monnet, I.; Mota-Santiago, P.; Kluth, P.; Grygiel, C.; Zhang, S.; et al. Unravelling the secrets of the resistance of GaN to strongly ionising radiation. Commun. Phys. 2021, 4, 51. [Google Scholar] [CrossRef]
- Filipovic, L.; Grasser, T. Special Issue on Miniaturized Transistors, Volume II. Micromachines 2022, 13, 603. [Google Scholar] [CrossRef]
- De Rossi, F.; Taheri, B.; Bonomo, M.; Gupta, V.; Renno, G.; Nia, N.Y.; Rech, P.; Frost, C.; Cazzaniga, C.; Quagliotto, P.; et al. Neutron irradiated perovskite films and solar cells on PET substrates. Nano Energy 2022, 93, 106879. [Google Scholar] [CrossRef]
- Lisitsyn, V.M.; Lisitsyna, L.A.; Popov, A.I.; Kotomin, E.A.; Abuova, F.U.; Akilbekov, A.; Maier, J. Stabilization of primary mobile radiation defects in MgF2 crystals. Nucl. Instrum. Methods Phys. Res. Sect. B Beam Interact. Mater. At. 2016, 374, 24–28. [Google Scholar] [CrossRef]
- Lushchik, A.; Lushchik, C.; Vasil’Chenko, E.; Popov, A.I. Radiation creation of cation defects in alkali halide crystals: Review and today’s concept (Review Article). Low Temp. Phys. 2018, 44, 269–277. [Google Scholar] [CrossRef]
- Popov, A.; Lushchik, A.; Shablonin, E.; Vasil’Chenko, E.; Kotomin, E.; Moskina, A.; Kuzovkov, V. Comparison of the F-type center thermal annealing in heavy-ion and neutron irradiated Al2O3 single crystals. Nucl. Instrum. Methods Phys. Res. Sect. B Beam Interact. Mater. At. 2018, 433, 93–97. [Google Scholar] [CrossRef]
- Kotomin, E.E.; Kuzovkov, V.; Popov, A.I.; Maier, J.; Vila, R. Anomalous Kinetics of Diffusion-Controlled Defect Annealing in Irradiated Ionic Solids. J. Phys. Chem. A 2018, 122, 28–32. [Google Scholar] [CrossRef]
- Feldbach, E.; Tõldsepp, E.; Kirm, M.; Lushchik, A.; Mizohata, K.; Räisänen, J. Radiation resistance diagnostics of wide-gap optical materials. Opt. Mater. 2016, 55, 164–167. [Google Scholar] [CrossRef]
- Schwartz, K.; Sorokin, M.; Lushchik, A.; Lushchik, C.; Vasil’chenko, E.; Papaleo, R.; de Souza, D.; Volkov, A.; Voss, K.-O.; Neumann, R.; et al. Color center creation in LiF crystals irradiated with 5- and 10-MeV Au ions. Nucl. Instrum. Methods Phys. Res. Sect. B Beam Interact. Mater. At. 2008, 266, 2736–2740. [Google Scholar] [CrossRef]
- Lisitsyn, V.M.; Lisitsyna, L.A.; Karipbayev, Z.T.; Valiev, D.T.; Stepanov, S.A. Two possible causes of the stage of emission buildup after excitation by a nanosecond electron flux pulse. Opt. Mater. 2015, 42, 325–330. [Google Scholar] [CrossRef]
- Hamad, M.K.; Sayyed, M.I.; Mhareb, M.H.A.; Sadeq, M.S.; Dwaikat, N.; Almessiere, M.A.; Ziq, K.A. Effects of TiO2, V2O5, MnO2 and Tl2O3 on structural, physical, optical and ionizing radiation shielding properties of strontium boro-tellurite glass: An experimental study. Opt. Mater. 2022, 127, 112350. [Google Scholar] [CrossRef]
- Eydi, N.; Feghhi, S.; Jafari, H. Comprehensive approach to determination of space proton-induced displacement defects in silica optical fiber. Nucl. Instrum. Methods Phys. Res. Sect. B Beam Interact. Mater. At. 2021, 502, 95–101. [Google Scholar] [CrossRef]
- Hongisto, M.; Veber, A.; Petit, Y.; Cardinal, T.; Danto, S.; Jubera, V.; Petit, L. Radiation-Induced Defects and Effects in Germanate and Tellurite Glasses. Materials 2020, 13, 3846. [Google Scholar] [CrossRef]
- More, C.V.; Alsayed, Z.; Badawi, M.S.; Thabet, A.A.; Pawar, P.P. Polymeric composite materials for radiation shielding: A review. Environ. Chem. Lett. 2021, 19, 2057–2090. [Google Scholar] [CrossRef] [PubMed]
- Sayyed, M.; Jecong, J.F.M.; Hila, F.C.; Balderas, C.V.; Alhuthali, A.M.; Guillermo, N.R.D.; Al-Hadeethi, Y. Radiation shielding characteristics of selected ceramics using the EPICS2017 library. Ceram. Int. 2021, 47, 13181–13186. [Google Scholar] [CrossRef]
- Hannachi, E.; Sayyed, M.; Slimani, Y.; Elsafi, M. Experimental investigation on the physical properties and radiation shielding efficiency of YBa2Cu3Oy/M@M3O4 (M = Co, Mn) ceramic composites. J. Alloys Compd. 2022, 904, 164056. [Google Scholar] [CrossRef]
- Elsafi, M.; El-Nahal, M.A.; Sayyed, M.I.; Saleh, I.H.; Abbas, M.I. Effect of bulk and nanoparticle Bi2O3 on attenuation capability of radiation shielding glass. Ceram. Int. 2021, 47, 19651–19658. [Google Scholar] [CrossRef]
- Sayyed, M.; Mhareb, M.; Alajerami, Y.; Mahmoud, K.; Imheidat, M.A.; Alshahri, F.; Alqahtani, M.; Al-Abdullah, T. Optical and radiation shielding features for a new series of borate glass samples. Optik 2021, 239, 166790. [Google Scholar] [CrossRef]
- Al-Harbi, N.; Sayyed, M.I.; Kurtulus, R.; Kamışlıoğlu, M.; Kumar, A.; Alhuthali, A.M.S.; Kavas, T.; Al-Hadeethi, Y. Understanding the role of Bi2O3 in the P2O5–CaO–Na2O–K2O glass system in terms of physical, structural and radiation shielding properties. J. Mater. Sci. Mater. Electron. 2021, 32, 11649–11665. [Google Scholar] [CrossRef]
- Madbouly, A.; Sallam, O.; Issa, S.A.; Rashad, M.; Hamdy, A.; Tekin, H.; Zakaly, H.M. Experimental and FLUKA evaluation on structure and optical properties and γ-radiation shielding capacity of bismuth borophosphate glasses. Prog. Nucl. Energy 2022, 148, 104219. [Google Scholar] [CrossRef]
- Al-Harbi, N.; Sayyed, M.; Al-Hadeethi, Y.; Kumar, A.; Elsafi, M.; Mahmoud, K.; Khandaker, M.U.; Bradley, D. A novel CaO-K2O-Na2O-P2O5 Glass Systems for Radiation Shielding Applications. Radiat. Phys. Chem. 2021, 188, 109645. [Google Scholar] [CrossRef]
- Alzahrani, J.S.; Alothman, M.A.; Eke, C.; Al-Ghamdi, H.; Aloraini, D.A.; Al-Buriahi, M. Simulating the radiation shielding properties of TeO2–Na2O–TiO glass system using PHITS Monte Carlo code. Comput. Mater. Sci. 2021, 196, 110566. [Google Scholar] [CrossRef]
- Sayyed, M.I.; Almuqrin, A.H.; Kumar, A.; Jecong, J.F.M.; Akkurt, I. Optical, mechanical properties of TeO2-CdO-PbO-B2O3 glass systems and radiation shielding investigation using EPICS2017 library. Optik 2021, 242, 167342. [Google Scholar] [CrossRef]
- Akkurt, I.; Malidarre, R.B.; Kavas, T. Monte Carlo simulation of radiation shielding properties of the glass system containing Bi2O3. Eur. Phys. J. Plus 2021, 136, 264. [Google Scholar] [CrossRef]
- Sayyed, M.I.; Albarzan, B.; Almuqrin, A.H.; El-Khatib, A.M.; Kumar, A.; Tishkevich, D.I.; Trukhanov, A.M.; Elsafi, M. Experimental and theoretical study of radiation shielding features of CaO-K2O-Na2O-P2O5 glass systems. Materials 2021, 14, 3772. [Google Scholar] [CrossRef] [PubMed]
- Al-Buriahi, M.; Alrowaili, Z.; Eke, C.; Alzahrani, J.S.; Olarinoye, I.; Sriwunkum, C. Optical and radiation shielding studies on tellurite glass system containing ZnO and Na2O. Optik 2022, 257, 168821. [Google Scholar] [CrossRef]
- Sayyed, M.; Dwaikat, N.; Mhareb, M.; D’Souza, A.N.; Almousa, N.; Alajerami, Y.; Almasoud, F.; Naseer, K.; Kamath, S.D.; Khandaker, M.U.; et al. Effect of TeO2 addition on the gamma radiation shielding competence and mechanical properties of boro-tellurite glass: An experimental approach. J. Mater. Res. Technol. 2022, 18, 1017–1027. [Google Scholar] [CrossRef]
- Sayyed, M.I.; Askin, A.; Zaid, M.H.M.; Olukotun, S.F.; Khandaker, M.U.; Tishkevich, D.I.; Bradley, D.A. Radiation shielding and mechanical properties of Bi2O3–Na2O–TiO2–ZnO–TeO2 glass system. Radiat. Phys. Chem. 2021, 186, 109556. [Google Scholar] [CrossRef]
- El-Rehim, A.F.A.; Zahran, H.Y.; Yahia, I.S.; Wahab, E.A.A.; Shaaban, K. Structural, Elastic Moduli, and Radiation Shielding of SiO2-TiO2-La2O3-Na2O Glasses Containing Y2O3. J. Mater. Eng. Perform. 2021, 30, 1872–1884. [Google Scholar] [CrossRef]
- Dyadenko, M.V.; Trusova, E.E.; Sidorevich, A.G. Borosilicate Radiation Shielding Glass. Glass Phys. Chem. 2021, 47, 30–37. [Google Scholar] [CrossRef]
- Sayyed, M.I.; Mahmoud, K.A.; Lacomme, E.; AlShammari, M.M.; Dwaikat, N.; Alajerami, Y.S.M.; Alqahtani, M.; El-Bashir, B.O.; Mhareb, M.H.A. Development of a novel MoO3-doped borate glass network for gamma-ray shielding applications. Eur. Phys. J. Plus 2021, 136, 108. [Google Scholar] [CrossRef]
- Alothman, M.A.; Alrowaili, Z.; Alzahrani, J.S.; Wahab, E.A.; Olarinoye, I.; Sriwunkum, C.; Shaaban, K.; Al-Buriahi, M. Significant influence of MoO3 content on synthesis, mechanical, and radiation shielding properties of B2O3-Pb3O4-Al2O3 glasses. J. Alloys Compd. 2021, 882, 160625. [Google Scholar] [CrossRef]
- Kurtulus, R.; Kavas, T.; Mahmoud, K.; Akkurt, I.; Gunoglu, K.; Sayyed, M. Evaluation of gamma-rays attenuation competences for waste soda-lime glass containing MoO3: Experimental study, XCOM computations, and MCNP-5 results. J. Non-Cryst. Solids 2021, 557, 120572. [Google Scholar] [CrossRef]
- Zhang, B.; Wang, F.; Liu, Y.; Yu, H.; Zeng, Y.; Lang, L. Synthesizing of Metallized Acrylic Containing Both Gadolinium and Lead as a Transparent Radiation Shielding Material and Its Physical Properties. Metals 2022, 12, 990. [Google Scholar] [CrossRef]
- El-Khatib, A.M.; Shalaby, T.I.; Antar, A.; Elsafi, M. Experimental Study of Polypropylene with Additives of Bi2O3 Nanoparticles as Radiation-Shielding Materials. Polymers 2022, 14, 2253. [Google Scholar] [CrossRef] [PubMed]
- El-Khatib, A.M.; Shalaby, T.I.; Antar, A.; Elsafi, M. Improving Gamma Ray Shielding Behaviors of Polypropylene Using PbO Nanoparticles: An Experimental Study. Materials 2022, 15, 3908. [Google Scholar] [CrossRef] [PubMed]
- Hussein, K.I.; Alqahtani, M.S.; Meshawi, A.A.; Alzahrani, K.J.; Zahran, H.Y.; Alshehri, A.M.; Yahia, I.S.; Reben, M.; Yousef, E.S. Evaluation of the Radiation Shielding Properties of a Tellurite Glass System Modified with Sodium Oxide. Materials 2022, 15, 3172. [Google Scholar] [CrossRef] [PubMed]
- Gilys, L.; Griškonis, E.; Griškevičius, P.; Adlienė, D. Lead Free Multilayered Polymer Composites for Radiation Shielding. Polymers 2022, 14, 1696. [Google Scholar] [CrossRef]
- Hussein, K.I.; Al-Syadi, A.M.; Alqahtani, M.S.; Elkhoshkhany, N.; Algarni, H.; Reben, M.; Yousef, E.S. Thermal Stability, Optical Properties, and Gamma Shielding Properties of Tellurite Glass Modified with Potassium Chloride. Materials 2022, 15, 2403. [Google Scholar] [CrossRef]
- Almuqrin, A.H.; Gangareddy, J.; Hivrekar, M.M.; Pramod, A.G.; Sayyed, M.I.; Keshavamurthy, K.; Fatima, N.; Jadhav, K.M. Nonlinear Optical Limiting and Radiation Shielding Characteristics of Sm2O3 Doped Cadmium Sodium Lithium Borate Glasses. Materials 2022, 15, 2330. [Google Scholar] [CrossRef]
- Yin, S.; Wang, H.; Li, A.; Ma, Z.; He, Y. Study on Radiation Shielding Properties of New Barium-Doped Zinc Tellurite Glass. Materials 2022, 15, 2117. [Google Scholar] [CrossRef]
- Tekin, H.O.; ALMisned, G.; Susoy, G.; Ali, F.T.; Baykal, D.S.; Ene, A.; Issa, S.A.M.; Rammah, Y.S.; Zakaly, H.M.H. Transmission Factor (TF) Behavior of Bi2O3–TeO2–Na2O–TiO2–ZnO Glass System: A Monte Carlo Simulation Study. Sustainability 2022, 14, 2893. [Google Scholar] [CrossRef]
- Klym, H.; Karbovnyk, I.; Guidi, M.C.; Hotra, O.; Popov, A.I. Optical and vibrational spectra of CsCl-enriched GeS2-Ga2S3 glasses. Nanoscale Res. Lett. 2016, 11, 132. [Google Scholar] [CrossRef][Green Version]
- Adlienė, D.; Gilys, L.; Griškonis, E. Development and characterization of new tungsten and tantalum containing composites for radiation shielding in medicine. Nucl. Instrum. Methods Phys. Res. Sect. B Beam Interact. Mater. At. 2020, 467, 21–26. [Google Scholar] [CrossRef]
- Kilic, G.; Kavaz, E.; Ilik, E.; ALMisned, G.; Tekin, H.O. CdO-rich quaternary tellurite glasses for nuclear safety purposes: Synthesis and experimental gamma-ray and neutron radiation assessment of high-density and transparent samples. Opt. Mater. 2022, 129, 112512. [Google Scholar] [CrossRef]
- Teresa, P.E.; Sayyed, M.; Marimuthu, K. Impact of additives on the structural, elastic, optical and radiation resisting aptitude of the highly dense Sm3+ doped multicomponent glasses. Opt. Mater. 2021, 122, 111758. [Google Scholar] [CrossRef]
- Abou Hussein, E.M.; Maksoud, M.A.; Fahim, R.A.; Awed, A.S. Unveiling the gamma irradiation effects on linear and nonlinear optical properties of CeO2–Na2O–SrO–B2O3 glass. Opt. Mater. 2021, 114, 111007. [Google Scholar] [CrossRef]
- Klym, H.; Ingram, A.; Shpotyuk, O.; Hotra, O.; Popov, A.I. Positron trapping defects in free-volume investigation of Ge–Ga–S–CsCl glasses. Radiat. Meas. 2016, 90, 117–121. [Google Scholar] [CrossRef]
- Rogulis, U.; Elsts, E.; Jansons, J.; Sarakovskis, A.; Doke, G.; Stunda, A.; Smits, K. Cathodoluminescence of oxyfluoride glass-ceramics. Radiat. Meas. 2013, 56, 120–123. [Google Scholar] [CrossRef]
- Niauzorau, S.; Girel, K.; Sherstnyov, A.; Chubenko, E.; Bandarenka, H.; Bondarenko, V. Fabrication of nanocomposites based on silicon nanowires and study of their optical properties. Phys. Status Solidi (C) 2016, 13, 146–150. [Google Scholar] [CrossRef]
- Klym, H.; Calvez, L.; Popov, A.I. Free-Volume Extended Defects in Structurally Modified Ge–Ga–S/Se Glasses. Phys. Status Solidi (B) 2022, 259, 2100472. [Google Scholar] [CrossRef]













| Designation | Element Concentration | Stoichiometric Formula | Density, g/cm3 | ||||
|---|---|---|---|---|---|---|---|
| TeO2 | WO3 | Bi2O3 | MoO3 | SiO | |||
| TWBMS–0 | 50% | 25% | 25% | - | - | 0.5TeO2 − 0.25WO3 − 0.25Bi2O3 | 6.83 |
| TWBMS–1 | 50% | 25% | 20% | 2.5% | 2.5% | 0.5TeO2 − 0.25WO3 − 0.20Bi2O3 − 0.025MoO3 − 0.025SiO | 6.54 |
| TWBMS–2 | 50% | 25% | 15% | 5% | 5% | 0.5TeO2 − 0.25WO3 − 0.15Bi2O3 − 0.05MoO3 − 0.005SiO | 6.25 |
| TWBMS–3 | 50% | 25% | 10% | 7.5% | 7.5% | 0.5TeO2 − 0.25WO3 − 0.10Bi2O3 − 0.075MoO3 − 0.075SiO | 6.04 |
| TWBMS–4 | 50% | 25% | 7.5% | 8.75% | 8.75% | 0.5TeO2 − 0.25WO3 − 0.075Bi2O3 − 0.0875MoO3 − 0.0875SiO | 5.89 |
| TWBMS–5 | 50% | 25% | 5% | 10% | 10% | 0.5TeO2 − 0.25WO3 − 0.05Bi2O3 − 0.1MoO3 − 0.1SiO | 5.72 |
Publisher’s Note: MDPI stays neutral with regard to jurisdictional claims in published maps and institutional affiliations. |
© 2022 by the authors. Licensee MDPI, Basel, Switzerland. This article is an open access article distributed under the terms and conditions of the Creative Commons Attribution (CC BY) license (https://creativecommons.org/licenses/by/4.0/).
Share and Cite
Kozlovskiy, A.; Shlimas, D.I.; Zdorovets, M.V.; Popova, E.; Elsts, E.; Popov, A.I. Investigation of the Efficiency of Shielding Gamma and Electron Radiation Using Glasses Based on TeO2-WO3-Bi2O3-MoO3-SiO to Protect Electronic Circuits from the Negative Effects of Ionizing Radiation. Materials 2022, 15, 6071. https://doi.org/10.3390/ma15176071
Kozlovskiy A, Shlimas DI, Zdorovets MV, Popova E, Elsts E, Popov AI. Investigation of the Efficiency of Shielding Gamma and Electron Radiation Using Glasses Based on TeO2-WO3-Bi2O3-MoO3-SiO to Protect Electronic Circuits from the Negative Effects of Ionizing Radiation. Materials. 2022; 15(17):6071. https://doi.org/10.3390/ma15176071
Chicago/Turabian StyleKozlovskiy, Artem, Dmitriy I. Shlimas, Maxim V. Zdorovets, Elena Popova, Edgars Elsts, and Anatoli I. Popov. 2022. "Investigation of the Efficiency of Shielding Gamma and Electron Radiation Using Glasses Based on TeO2-WO3-Bi2O3-MoO3-SiO to Protect Electronic Circuits from the Negative Effects of Ionizing Radiation" Materials 15, no. 17: 6071. https://doi.org/10.3390/ma15176071
APA StyleKozlovskiy, A., Shlimas, D. I., Zdorovets, M. V., Popova, E., Elsts, E., & Popov, A. I. (2022). Investigation of the Efficiency of Shielding Gamma and Electron Radiation Using Glasses Based on TeO2-WO3-Bi2O3-MoO3-SiO to Protect Electronic Circuits from the Negative Effects of Ionizing Radiation. Materials, 15(17), 6071. https://doi.org/10.3390/ma15176071

