Excitation of Asymmetric Resonance with Symmetric Split-Ring Resonator
Abstract
:1. Introduction
2. Materials and Methods
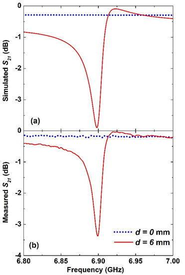
3. Results
4. Conclusions
Author Contributions
Funding
Institutional Review Board Statement
Informed Consent Statement
Data Availability Statement
Conflicts of Interest
References
- Liu, N.A.; Guo, H.; Fu, L.; Kaiser, S.; Schweizer, H.; Giessen, H. Three-dimensional photonic metamaterials at optical frequencies. Nat. Mater. 2007, 7, 31–37. [Google Scholar] [CrossRef] [PubMed]
- Choi, M.; Lee, S.H.; Kim, Y.; Kang, S.B.; Shin, J.; Kwak, M.H.; Kang, K.Y.; Lee, Y.H.; Park, N.; Min, B. A terahertz metamaterial with unnaturally high refractive index. Nature 2011, 470, 369–373. [Google Scholar] [CrossRef]
- Kupriianov, A.S.; Xu, Y.; Sayanskiy, A.; Dmitriev, V.; Kivshar, Y.S.; Tuz, V.R. Metasurface Engineering through Bound States in the Continuum. Phys. Rev. Appl. 2019, 12, 014024. [Google Scholar] [CrossRef]
- Fan, K.; Koulakis, J.; Holczer, K.; Putterman, S.; Padilla, W.J. Ultrathin Metasurface Wavelength-Selective Mirror for Millimeter/Terahertz Wave Fabry-Perot Cavities. J. Infrared Millim. Terahertz Waves 2020, 41, 365–374. [Google Scholar] [CrossRef]
- Al-Naib, I.; Withayachumnankul, W. Recent Progress in Terahertz Metasurfaces. J. Infrared Millim. Terahertz Waves 2017, 38, 1067–1084. [Google Scholar] [CrossRef]
- Amin, M.; Siddiqui, O.; Abutarboush, H.; Farhat, M.; Ramzan, R. A THz Graphene Metasurface for Polarization Selective Virus Sensing. Carbon 2021, 176, 580–591. [Google Scholar] [CrossRef] [PubMed]
- Chen, X.; Fan, W. Tunable Bound States in the Continuum in All-Dielectric Terahertz Metasurfaces. Nanomaterials 2020, 10, 623. [Google Scholar] [CrossRef]
- Jang, C.; Park, J.K.; Lee, H.J.; Yun, G.H.; Yook, J.G. Non-Invasive Fluidic Glucose Detection Based on Dual Microwave Complementary Split Ring Resonators with a Switching Circuit for Environmental Effect Elimination. IEEE Sens. J. 2020, 20, 8520–8527. [Google Scholar] [CrossRef]
- Seo, M.; Park, H.R. Terahertz Biochemical Molecule-Specific Sensors. Adv. Opt. Mater. 2020, 8, 1900662. [Google Scholar] [CrossRef]
- Manjappa, M.; Srivastava, Y.K.Y.K.; Cong, L.; Al-Naib, I.; Singh, R. Active Photoswitching of Sharp Fano Resonances in THz Metadevices. Adv. Mater. 2017, 29, 1603355. [Google Scholar] [CrossRef]
- Penciu, R.S.; Aydin, K.; Kafesaki, M.; Koschny, T.; Ozbay, E.; Economou, E.N.; Soukoulis, C.M. Multi-gap individual and coupled split-ring resonator structures. Opt. Express 2008, 16, 18131–18144. [Google Scholar] [PubMed]
- Singh, R.; Rockstuhl, C.; Zhang, W. Strong influence of packing density in terahertz metamaterials. Appl. Phys. Lett. 2010, 97, 241108. [Google Scholar] [CrossRef]
- Al-Naib, I.; Yang, Y.; Dignam, M.M.; Zhang, W.; Singh, R. Ultra-high Q even eigenmode resonance in terahertz metamaterials. Appl. Phys. Lett. 2015, 106, 011102. [Google Scholar] [CrossRef]
- Al-Naib, I. Thin-Film Sensing via Fano Resonance Excitation in Symmetric Terahertz Metamaterials. J. Infrared Millim. Terahertz Waves 2018, 39, 1–5. [Google Scholar] [CrossRef]
- Al-Naib, I. Electromagnetic-Induced Transparency Resonance with Ultrahigh Figure of Merit Using Terahertz Metasurfaces. J. Infrared Millim. Terahertz Waves 2021, 42, 371–379. [Google Scholar] [CrossRef]
- O’Hara, J.F.; Withayachumnankul, W.; Al-Naib, I. A review on thin-film sensing with terahertz waves. J. Infrared Millim. Terahertz Waves 2012, 33, 245–291. [Google Scholar] [CrossRef]
- Carpignano, F.; Rigamonti, G.; Migliazza, T.; Merlo, S. Refractive Index Sensing in Rectangular Glass Micro-Capillaries by Spectral Reflectivity Measurements. IEEE J. Sel. Top. Quantum Electron. 2016, 22, 7100309. [Google Scholar] [CrossRef]
- Omer, A.E.; Shaker, G.; Safavi-Naeini, S.; Kokabi, H.; Alquié, G.; Deshours, F.; Shubair, R.M. Low-cost portable microwave sensor for non-invasive monitoring of blood glucose level: Novel design utilizing a four-cell CSRR hexagonal configuration. Sci. Rep. 2020, 10, 1–20. [Google Scholar] [CrossRef]
- Kumar, A.; Wang, C.; Meng, F.Y.; Zhou, Z.L.; Zhao, M.; Yan, G.F.; Kim, E.S.; Kim, N.Y. High-sensitivity, quantified, linear and mediator-free resonator-based microwave biosensor for glucose detection. Sensors 2020, 20, 4024. [Google Scholar] [CrossRef]
- Yilmaz, T.; Foster, R.; Hao, Y. Radio-frequency and microwave techniques for non-invasive measurement of blood glucose levels. Diagnostics 2019, 9, 6. [Google Scholar] [CrossRef] [Green Version]
- Reinhard, B.; Paul, O.; Rahm, M. Metamaterial-based photonic devices for terahertz technology. IEEE J. Sel. Top. Quantum Electron. 2013, 19, 8500912. [Google Scholar] [CrossRef]
- Limonov, M.F.; Rybin, M.V.; Poddubny, A.N.; Kivshar, Y.S. Fano resonances in photonics. Nat. Photonics 2017, 11, 543–554. [Google Scholar] [CrossRef]
- Chen, X.; Fan, W.; Yan, H. Toroidal dipole bound states in the continuum metasurfaces for terahertz nanofilm sensing. Opt. Express 2020, 28, 17102. [Google Scholar] [CrossRef] [PubMed]
- Doeleman, H.M.; Monticone, F.; Den Hollander, W.; Alù, A.; Koenderink, A.F. Experimental observation of a polarization vortex at an optical bound state in the continuum. Nat. Photonics 2018, 12, 397–401. [Google Scholar] [CrossRef]
- Srivastava, Y.K.; Ako, R.T.; Gupta, M.; Bhaskaran, M.; Sriram, S.; Singh, R. Terahertz sensing of 7 nm dielectric film with bound states in the continuum metasurfaces. Appl. Phys. Lett. 2019, 115, 151105. [Google Scholar] [CrossRef]
- Born, N.; Al-Naib, I.; Jansen, C.; Ozaki, T.; Morandotti, R.; Koch, M.; Born, N.; Al-Naib, I.; Jansen, C.; Ozaki, T.; et al. Excitation of multiple trapped-eigenmodes in terahertz metamolecule lattices. Appl. Phys. Lett. 2014, 104, 101107. [Google Scholar] [CrossRef]
- Lee, H.J.; Lee, J.H.; Choi, S.; Jang, I.S.; Choi, J.S.; Jung, H. Il Asymmetric split-ring resonator-based biosensor for detection of label-free stress biomarkers. Appl. Phys. Lett. 2013, 103, 053702. [Google Scholar] [CrossRef]
- Prosvirnin, S.; Zouhdi, S. Resonances of Closed Modes in Thin Arrays of Complex Particles. In Advances in Electromagnetics of Complex Media and Metamaterials; Springer: Berlin/Heidelberg, Germany, 2002; pp. 281–290. [Google Scholar]
- Papasimakis, N.; Fedotov, V.A.; Zheludev, N.I.; Prosvirnin, S.L. Metamaterial Analog of Electromagnetically Induced Transparency. Phys. Rev. Lett. 2008, 101, 253903. [Google Scholar] [CrossRef]
- Singh, R.; Al-Naib, I.A.I.; Koch, M.; Zhang, W. Asymmetric planar terahertz metamaterials. Opt. Express 2010, 18, 13044–13050. [Google Scholar] [CrossRef]
- Tan, T.C.W.; Srivastava, Y.K.; Ako, R.T.; Wang, W.; Bhaskaran, M.; Sriram, S.; Al-Naib, I.; Plum, E.; Singh, R. Active Control of Nanodielectric-Induced THz Quasi-BIC in Flexible Metasurfaces: A Platform for Modulation and Sensing. Adv. Mater. 2021, 33, 2100836. [Google Scholar] [CrossRef]
- Chen, C.-Y.; Un, I.-W.; Tai, N.-H.; Yen, T.-J. Asymmetric coupling between subradiant and superradiant plasmonic resonances and its enhanced sensing performance. Opt. Express 2009, 17, 15372–15380. [Google Scholar] [PubMed]
- Zhang, S.; Genov, D.A.; Wang, Y.; Liu, M.; Zhang, X. Plasmon-Induced Transparency in Metamaterials. Phys. Rev. Lett. 2008, 101, 047401. [Google Scholar] [CrossRef] [PubMed]
- Tassin, P.; Zhang, L.; Koschny, T.; Economou, E.N.; Soukoulis, C.M. Low-Loss Metamaterials Based on Classical Electromagnetically Induced Transparency. Phys. Rev. Lett. 2009, 102, 053901. [Google Scholar] [CrossRef]
- Yan, X.; Yang, M.; Zhang, Z.; Liang, L.; Wei, D.; Wang, M.; Zhang, M.; Wang, T.; Liu, L.; Xie, J.; et al. The terahertz electromagnetically induced transparency-like metamaterials for sensitive biosensors in the detection of cancer cells. Biosens. Bioelectron. 2019, 126, 485–492. [Google Scholar] [CrossRef]
- Xia, S.; Zhai, X.; Wang, L.; Xiang, Y.; Wen, S. Plasmonically induced transparency in phase-coupled graphene nanoribbons. Phys. Rev. B 2022, 106, 075401. [Google Scholar] [CrossRef]
- Liu, Z.; Gao, E.; Zhang, Z.; Li, H.; Xu, H.; Zhang, X.; Luo, X.; Zhou, F. Dual-Mode On-to-Off Modulation of Plasmon-Induced Transparency and Coupling Effect in Patterned Graphene-Based Terahertz Metasurface. Nanoscale Res. Lett. 2020, 15, 1–9. [Google Scholar] [CrossRef] [PubMed]
- Wang, L.-L.; Xia, S.-X.; Wen, S.-C.; Zhai, X. Plasmonically induced transparency in double-layered graphene nanoribbons. Photonics Res. 2018, 6, 692–702. [Google Scholar] [CrossRef]
- Al-Naib, I.; Hebestreit, E.; Rockstuhl, C.; Lederer, F.; Christodoulides, D.; Ozaki, T.; Morandotti, R. Conductive coupling of split ring resonators: A path to THz metamaterials with ultra-sharp resonances. Phys. Rev. Lett. 2014, 112, 183903. [Google Scholar] [CrossRef]
- Gupta, M.; Savinov, V.; Xu, N.; Cong, L.; Dayal, G.; Wang, S.; Zhang, W.; Zheludev, N.I.; Singh, R. Sharp Toroidal Resonances in Planar Terahertz Metasurfaces. Adv. Mater. 2016, 28, 8206–8211. [Google Scholar] [CrossRef]
- Fedotov, V.A.; Rogacheva, A.V.; Savinov, V.; Tsai, D.P.; Zheludev, N.I. Resonant transparency and non-trivial non-radiating excitations in toroidal metamaterials. Sci. Rep. 2013, 3, 2967. [Google Scholar] [CrossRef] [Green Version]
- Born, N.; Al-Naib, I.; Jansen, C.; Singh, R.; Moloney, J.V.; Scheller, M.; Koch, M. Terahertz Metamaterials with Ultrahigh Angular Sensitivity. Adv. Opt. Mater. 2015, 3, 642–645. [Google Scholar] [CrossRef]
- Al-Naib, I. Novel terahertz metasurfaces based on complementary coupled split ring resonators. Opt. Mater. 2020, 99, 109596. [Google Scholar] [CrossRef]
- Jahn, D.; Eckstein, R.; Schneider, L.M.; Born, N.; Hernandez-Sosa, G.; Balzer, J.C.; Al-Naib, I.; Lemmer, U.; Koch, M. Digital Aerosol Jet Printing for the Fabrication of Terahertz Metamaterials. Adv. Mater. Technol. 2018, 3, 1700236. [Google Scholar] [CrossRef]
- Al-Naib, I.A.I.; Jansen, C.; Koch, M. Applying the Babinet principle to asymmetric resonators. Electron. Lett. 2008, 44, 1228–1229. [Google Scholar] [CrossRef]
- Al-Naib, I. Biomedical sensing with free-standing complementary supercell terahertz metasurfaces. Crystals 2020, 10, 26–30. [Google Scholar] [CrossRef]
- Al-Naib, I.A.I.; Jansen, C.; Koch, M. Thin-film sensing with planar asymmetric metamaterial resonators. Appl. Phys. Lett. 2008, 93, 083507. [Google Scholar] [CrossRef]
- Zhang, F.; Zhao, Q.; Sun, J.; Zhou, J.; Lippens, D. Coupling Effect of Split Ring Resonator and Its Mirror Image. Prog. Electromagn. Res. 2012, 124, 233–247. [Google Scholar] [CrossRef]
- Saleh, G.; Ateeq, I.S.; Al-Naib, I. Glucose level sensing using single asymmetric split ring resonator. Sensors 2021, 21, 2945. [Google Scholar] [CrossRef]
- Elnaggar, S.Y.; Tervo, R.J.; Mattar, S.M. Coupled Mode Theory Applied to Resonators in the Presence of Conductors. IEEE Trans. Microw. Theory Tech. 2015, 63, 2124–2132. [Google Scholar] [CrossRef]
- Harrington, R.F. Time-Harmonic Electromagnetic Fields; Wiley-IEEE Press: Hoboken, NJ, USA, 2001. [Google Scholar]
- Semouchkina, E.; Mudunuri, S.; Semouchkin, G.; Mittra, R.; Furman, E. Electromagnetic response of the Split-Ring Resonator placed inside a waveguide. In Proceedings of the 2005 European Microwave Conference, Paris, France, 4–6 October 2005; Volume 2, pp. 701–704. [Google Scholar] [CrossRef]
- Al-Naib, I. Biomedical Sensing with Conductively Coupled Terahertz Metamaterial Resonators. IEEE J. Sel. Top. Quantum Electron. 2017, 23, 4700405. [Google Scholar] [CrossRef]
- Singh, R.; Cao, W.; Al-Naib, I.; Cong, L.; Withayachumnankul, W.; Zhang, W. Ultrasensitive terahertz sensing with high- Q Fano resonances in metasurfaces. Appl. Phys. Lett. 2014, 105, 171101. [Google Scholar] [CrossRef]
- Al-Naib, I. Sensing glucose concentration using symmetric metasurfaces under oblique incident terahertz waves. Crystals 2021, 11, 1578. [Google Scholar] [CrossRef]






Publisher’s Note: MDPI stays neutral with regard to jurisdictional claims in published maps and institutional affiliations. |
© 2022 by the authors. Licensee MDPI, Basel, Switzerland. This article is an open access article distributed under the terms and conditions of the Creative Commons Attribution (CC BY) license (https://creativecommons.org/licenses/by/4.0/).
Share and Cite
Al-Naib, I.; Ateeq, I.S. Excitation of Asymmetric Resonance with Symmetric Split-Ring Resonator. Materials 2022, 15, 5921. https://doi.org/10.3390/ma15175921
Al-Naib I, Ateeq IS. Excitation of Asymmetric Resonance with Symmetric Split-Ring Resonator. Materials. 2022; 15(17):5921. https://doi.org/10.3390/ma15175921
Chicago/Turabian StyleAl-Naib, Ibraheem, and Ijlal Shahrukh Ateeq. 2022. "Excitation of Asymmetric Resonance with Symmetric Split-Ring Resonator" Materials 15, no. 17: 5921. https://doi.org/10.3390/ma15175921
APA StyleAl-Naib, I., & Ateeq, I. S. (2022). Excitation of Asymmetric Resonance with Symmetric Split-Ring Resonator. Materials, 15(17), 5921. https://doi.org/10.3390/ma15175921

