Planar Crack Approach to Evaluate the Flexural Strength of Fiber-Reinforced Concrete Sections
Abstract
:1. Introduction
2. Materials Hypothesis
2.1. Non-Cracked Zone
2.2. Cracked Zone
3. Modeling of Crack Propagation
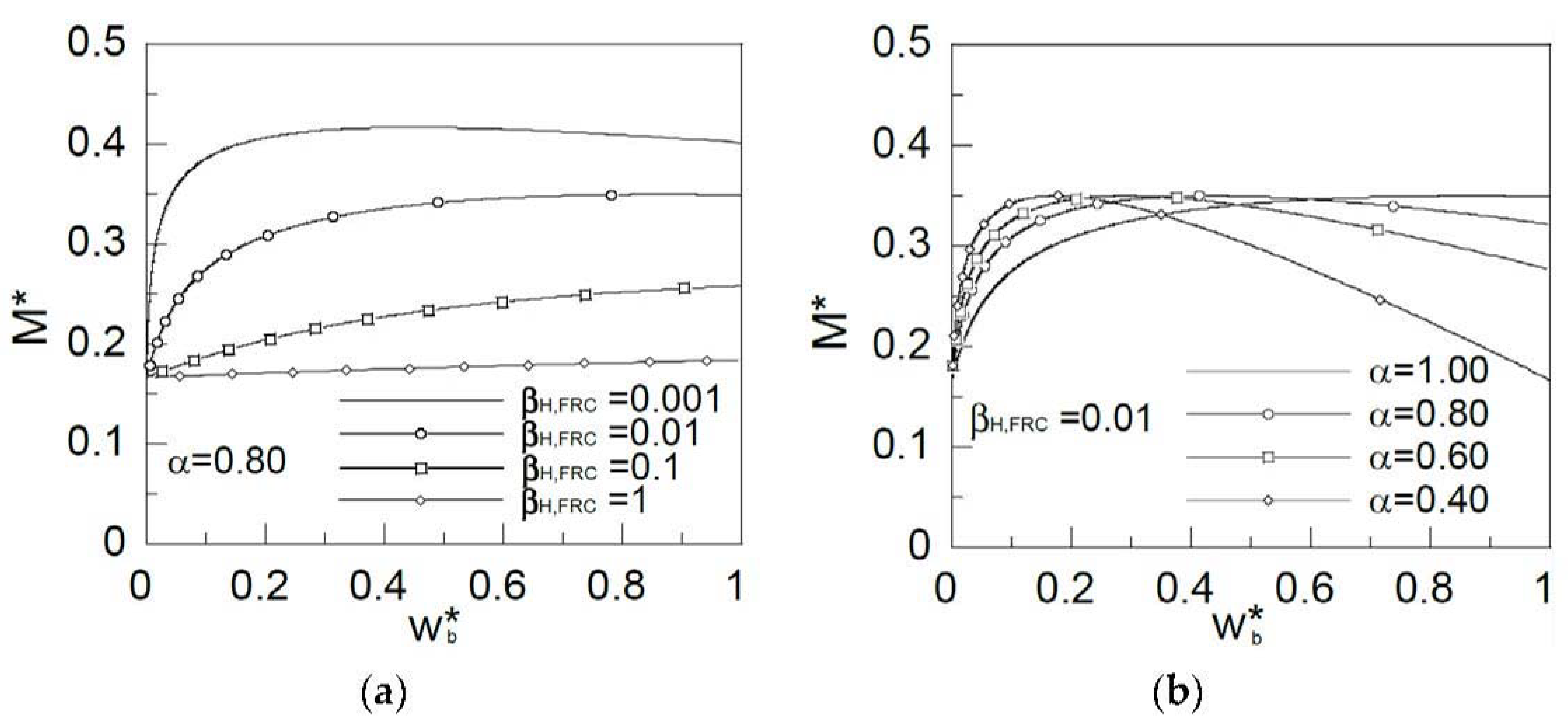
4. Model Response and Experimental Validation
5. Size Effect on Flexural Strength for FRC
6. Practical Expression to Determine the Flexural Strength in FRC
7. Brittle–Ductile Transition in Flexural Failure for FRC Sections
8. Conclusions
- The planar crack assumption can be considered as an alternative to Navier’s hypothesis to model the FRC cracked zone. Using this approach, we avoid using length parameters as lcs to evaluate strains from crack openings, as is commonly carried out in models based on stress–strain laws.
- We propose a brittleness number, βH,FRC, analogous to the one of Hillerborg, as a characterization parameter of FRC structural sections. It is derived from a nondimensional analysis, which includes the beam size and FRC softening characteristics.
- The model fits experimental results very well. Moreover, the model reproduces the asymptotic behavior expected from plastic limit solution for cohesive cracks—very short depths—to the linear elastic solution—overly large depths.
- We offer an expression to calculate the flexural strength of a fiber-reinforced concrete section based on the model results. It depends on the brittleness number, βH,FRC and on the serviceability residual stress, fFts. Its range of validity covers most of practical cases and thus, it can be profitably used for the structural design of FRC sections.
- The model, also, allows studying the ductile–brittle transition in FRC sections. It depends only on two parameters, namely the related tensile strength of the base concrete, ft, and the brittleness number, βH,FRC.
- The planar crack model contributes to a better understanding of the nature of flexural behavior of FRC sections and gives a more physical approach to their failure behavior. In addition, the expressions derived from the model results can be used for structural engineering purposes, constituting a design toolset that avoids complex calculations through finite elements.
Author Contributions
Funding
Institutional Review Board Statement
Informed Consent Statement
Data Availability Statement
Conflicts of Interest
Nomenclature
| b | beam width |
| Ec | longitudinal elastic modulus of concrete |
| fFts | serviceability residual stress of concrete |
| fFtu | ultimate residual stress of concrete |
| fR | flexural strength |
| fR* | non-dimensional flexural strength |
| fR1 | residual flexural tensile strength corresponding to CMOD = 0.5 mm |
| fR3 | residual flexure tensile strength corresponding to CMOD = 2.5 mm |
| ft | tensile strength of concrete |
| ft* | non-dimensional tensile strength of concrete |
| AF,FRC | area under the softening crack law (energy per unit area to open a crack up to the ultimate crack opening) |
| h | beam height |
| lcs,FRC | structural characteristic length of FRC |
| Li | specific internal length |
| M | bending moment |
| M* | nondimensional bending moment |
| Mcr | critical bending moment |
| Mmax | maximum bending moment during crack growth |
| Mmax* | maximum nondimensional bending moment during crack growth |
| w | crack opening |
| w* | nondimensional crack opening |
| wb | crack mouth opening displacement (opening of the crack at the bottom edge of the section) |
| wb* | non-dimensional crack mouth opening displacement |
| wu | ultimate crack opening |
| yn | neutral axis depth |
| z | crack depth |
| z0 | crack depth at critical opening |
| α | relation between fFtu and fFts |
| βH,FRC | brittleness number for FRC |
| γn | non-dimensional neutral axis depth |
| ε | strain |
| εb | strain at bottom part of the beam |
| εt | strain at the top part of the beam |
| ξ | non-dimensional crack depth |
| ξmax | maximum nondimensional crack depth |
| σ | stress |
| σb | stress at the bottom part of the beam |
| σb* | non-dimensional stress at the bottom part of the beam |
| σt | stress at the top part of the beam |
| σt* | non-dimensional stress at the top part of the beam |
References
- Di Prisco, M.; Plizzari, G.; Vandewalle, L. Fibre reinforced concrete: New design perspectives. Mater. Struct. 2009, 42, 1261–1281. [Google Scholar] [CrossRef]
- Azevedo, A.R.; Marvila, M.T.; Zanelato, E.B.; Alexandre, J.; Xavier, G.C.; Cecchin, D. Development of mortar for laying and coating with pineapple fibers. Rev. Bras. Eng. Agrícola Ambient. 2020, 24, 187–193. [Google Scholar] [CrossRef]
- Di Prisco, M.; Colombo, M.; Dozio, D. Fibre-reinforced concrete in fib Model Code 2010: Principles, models and test validation. Struct. Concr. 2013, 14, 342–361. [Google Scholar] [CrossRef]
- DBV. Merkblatt Stahlfaserbeton Deutsche Beton Vereins; DBV: Berlin, Germany, 2001. [Google Scholar]
- Vandewalle, L.; Nemegeer, D.; Balazs, G.L.; Barr, B.; Barros, J.A.O.; Bartos, P.; Banthia, N.; Criswell, M.; Denarie, E.; di Prisco, M.; et al. RILEM TC 162-TDF: Test and design methods for steel fibre reinforced concrete—σ-ε design method: Final Recommendation. Mater. Struct. 2003, 36, 262, 560–567. [Google Scholar]
- Comisión Permanente del Hormigón. EHE-08 Instrucción del Hormigón Estructural; Ministerio de Fomento: Madrid, Spain, 2008.
- Fib Model Code for Concrete Structures 2010; Wiley: New York, NY, USA, 2013; ISBN 978–3-43303-061-5.
- Facconi, L.; Amin, A.; Minelli, F.; Plizzari, G. A unified approach for determining the strength of FRC members subjected to torsion—Part I: Experimental investigation. Struct. Concr. 2021, 22, 3763–3779. [Google Scholar] [CrossRef]
- Bažant, Z.P.; Planas, J. Fracture and Size Effect in Concrete and Other Quasibrittle Materials; CRC Press: Boca Raton, FL, USA, 1998. [Google Scholar]
- Bažant, Z.P. Size effect in blunt fracture: Concrete, rock, metal. J. Eng. Mech. 1984, 110, 518–535. [Google Scholar] [CrossRef]
- Li, V.C.; Liang, E. Fracture Processes in Concrete and Fiber-Reinforced Cementitious Composites. ASCE J. Eng. Mech. 1986, 122, 6, 566–586. [Google Scholar] [CrossRef]
- Hillerborg, A.; Modéer, M.; Petersson, P.E. Analysis of crack formation and crack growth in concrete by means of fracture mechanics and finite elements. Cem. Concr. Res. 1976, 6, 773–781. [Google Scholar] [CrossRef]
- Bažant, Z.P.; Oh, B.H. Crack band theory for fracture of concrete. Mater. Constr. 1983, 16, 155–177. [Google Scholar] [CrossRef]
- Yu, R.C.; Ruiz, G.; Vieira, E.W. A comparative study between discrete and continuum models to simulate concrete fracture. Eng. Fract. Mech. 2008, 75, 117–127. [Google Scholar] [CrossRef]
- Belletti, B.; Hendriks, M.A.N.; Rots, J.G. Finite element modelling of FRC structures—Pitfalls & how to avoid them. In Proceedings of the 7th RILEM International Symposium on Fibre Reinforced Concrete (BEFIB 2008), Chennai, India, 17–19 September 2008; pp. 303–313. [Google Scholar]
- Červenka, V.; Pukl, R. Mesh sensitivity effects in smeared finite element analysis of concrete fracture. In Proceedings of the 2nd International Conference on Fracture Mechanics of Concrete Structures (FramCoS 2), Zurich, Switzerland, 25–28 July 1995; pp. 1387–1396. [Google Scholar]
- Ferrara, L.; di Prisco, M. Mode I fracture behavior in concrete: Non-local damage modelling, ASCE. J. Eng. Mech. 2001, 127, 678–692. [Google Scholar] [CrossRef]
- Bažant, Z.P.; Cedolin, L. Finite element modelling of crack band propagation. J. Struct. Eng. 1983, 109, 69–92. [Google Scholar]
- Alfaiate, J.; Wells, G.N.; Sluys, L.J. On the use of embedded discontinuity elements with crack path continuity for mode-I and mixed-mode fracture. Eng. Fract. Mech. 2002, 69, 661–686. [Google Scholar] [CrossRef]
- Oliver, J. Modelling strong discontinuities in solid mechanics via strain softening constitutive equations. 1. Fundamentals. Int. J. Numer. Methods Eng. 1996, 39, 3575–3600. [Google Scholar] [CrossRef]
- Oliver, J. Modelling strong discontinuities in solid mechanics via strain softening constitutive equations. 2. Numerical simulation. Int. J. Numer. Methods Eng. 1996, 39, 3601–3623. [Google Scholar] [CrossRef]
- Dias-da-Costa, D.; Alfaiate, J.; Sluys, L.J.; Júlio, E. A discrete strong discontinuity approach. Eng. Fract. Mech. 2009, 76, 9, 1176–1201. [Google Scholar] [CrossRef]
- Yu, R.C.; Ruiz, G. Explicit finite element modeling of static crack propagation in reinforced concrete. Int. J. Fract. 2006, 141, 357–372. [Google Scholar] [CrossRef]
- Hendriks, M.A.N.; Rots, J.G. Sequentially linear versus nonlinear analysis of RC structures. Eng. Comput. 2013, 30, 792–801. [Google Scholar] [CrossRef]
- Kang, M.-C.; Yoo, D.-Y.; Gupta, R. Machine learning-based prediction for compressive and flexural strengths of steel fiber-reinforced concrete. Constr. Build. Mater. 2021, 266, 121117. [Google Scholar] [CrossRef]
- Blanco, A.; Pujadas, P.; De la Fuente, A.; Calavaro, S.; Aguado, A. Application of constitutive models in European codes to RC–FRC. Constr. Build. Mater. 2013, 40, 246–259. [Google Scholar] [CrossRef]
- Bažant, Z.P. Fracture energy of heterogeneous materials and similitude. Mater. Struct. 1987, 26, 486–494. [Google Scholar]
- Bažant, Z.P.; Pijauder-Cabot, G. Measurement of characteristic length of non-local continuum. J. Eng. Mech. ASCE 1989, 115, 755–767. [Google Scholar] [CrossRef]
- Gali, S.; Subramaniam, K.V.L. Multi-linear stress-crack separation relationship for steel fiber reinforced concrete: Analytical framework and experimental evaluation. Theor. Appl. Fract. Mech. 2018, 93, 33–43. [Google Scholar] [CrossRef]
- Carmona, J.R.; Ruiz, G. Bond and size effects on the shear capacity of RC beams without stirrups. Eng. Struct. 2014, 66, 45–56. [Google Scholar] [CrossRef]
- Carmona, J.R.; Ruiz, G. Modelo analítico para el análisis de la flexión y la fisuración en secciones de hormigón armado como alternativa al diagrama de pivotes. Hormigón Acero 2017, 68, 147–154. [Google Scholar] [CrossRef]
- Zhang, J.; Stang, H.; Li, V.C. Fatigue life prediction of fiber reinforced concrete under flexural load. Int. J. Fatigue 1999, 21, 1033–1049. [Google Scholar] [CrossRef]
- Deng, P.; Matsumoto, T. Fracture Mechanics-Based Fatigue Life Prediction Method for RC Slabs in Punching Shear Failure Mode. J. Struct. Eng. 2020, 146, 04019186. [Google Scholar] [CrossRef]
- Tada, H.; Paris, H.; Irwin, G. The Stress Analysis of Cracks Handbook; Del Research Corporation: Hellertown, PA, USA, 1973. [Google Scholar]
- Nielsen, C.V.; Bicanic, N. Concrete modulus of rupture—Analytical description of strength, size-effect and brittleness. In Fracture Mechanics of Concrete Structures, Proceedings of the 4th International Conference on Fracture, Mechanics of Concrete Structures, Cachan, France, 28 May–1 June 2001; De Borst, R., Mazars, J., Pijaudier-Cabot, G., van Mier, J.G.M., Eds.; Swets & Zefttinger: Lisse, The Netherlands, 2001; pp. 713–718. [Google Scholar]
- EN 14651; Test method for metallic fibered concrete—Measuring the Flexural Tensile Strength (Limit of Proportionality (LOP), Residual). European Committee for Standardization: Brussels, Belgium, 2008.
- Carmona, J.R.; Rey-Rey, J.; Ruiz, G.; Madueño, J.M. Planar crack assumption as an alternative to Navier’s hypothesis in the modelling of fibre-reinforced concrete sections. In Proceedings of the 10th International Conference on Fracture Mechanics of Concrete Structures, Bayonne, France, 23–26 June 2019. [Google Scholar] [CrossRef]
- Carpinteri, A.; Cadamuro, E.; Ventura, G. Fiber-reinforced concrete in flexure: A cohesive/overlapping crack model application. Mater. Struct. 2015, 48, 235–247. [Google Scholar] [CrossRef]
- Pająk, M.; Ponikiewski, T. Investigation on concrete reinforces with two types of hooked fibers under flexure. Procedia Eng. 2017, 193, 128–135. [Google Scholar] [CrossRef]
- Michels, J.; Christen, R.; Waldmann, D. Experimental and numerical investigation on postcraking behavior of steel fiber reinforced concrete. Eng. Fract. Mech. 2013, 98, 326–349. [Google Scholar] [CrossRef]
- Zhang, J.; Stang, H. Applications of stress crack width relationship in predicting the flexural behavior of fibre-reinforced concrete. Cem. Concr. Res. 1998, 28, 439–452. [Google Scholar] [CrossRef]
- Yoo, D.-Y.; Banthia, N.; Yoon, Y.-S. Predicting the flexural behavior of ultra-high-performance fiber-reinforce concrete. Cem. Concr. Compos. 2016, 74, 71–87. [Google Scholar] [CrossRef]
- Barros, J.A.; Figueiras, J.A. Flexural behavior of sfrc: Testing and modeling. J. Mater. Civ. Eng. 1999, 11, 331–339. [Google Scholar] [CrossRef]
- Ali, A.; Iqbal, S.; Holschemacher, K.; Bier, T.A. Comparison of Flexural Performance of Lightweight Fibre-reinforced Concrete and Normalweight Fibre-reinforced Concrete. Period. Polytech. Civ. Eng. 2017, 61, 498–504. [Google Scholar] [CrossRef]
- Uchida, Y.; Rokugo, K.; Konayagi, W. Application of fracture mechanics to size effect on flexural strength of concrete. Proc. JSCE Concr. Eng. Pavements 1992, 442, 101–107. [Google Scholar] [CrossRef]
- Planas, J.; Guinea, G.; Elices, M. Rupture modulus and fracture properties of concrete. In FRAMCOS; Wittmann, F.H., Ed.; Aedificatio Publishers: Freiburg, Germany, 1995; Volume 1, pp. 95–110. [Google Scholar]
- EN 1992–1-1:2021–09; Eurocode 2: Design of Concrete Structures-Part. 1–1: General Rules—Rules for Buildings, Bridges and Civil Engineering Structures. European Committee for Standardization: Brussels, Belgium, 2021.
- Carpinteri, A.; Cadamuro, E.; Corrado, M. Minimum flexural reinforcement in rectangular and T-section concrete beams. Struct. Concr. 2014, 14, 61–372. [Google Scholar] [CrossRef]














| Reference | Vf (kg/m3) | Pmax (kN) | fR,1 (MPa) | fR,3 (MPa) | b (m) | h (m) | L (m) | Ec (MPa) | wu (mm) | fFts (MPa) | fFtu (MPa) | Af,FRC (N/mm) | βH |
|---|---|---|---|---|---|---|---|---|---|---|---|---|---|
| 40 kg/m3 [38] | 40 | 16.00 | 7.13 | 5.69 | 0.10 | 0.20 | 1.20 | 35,728 | 2.50 | 3.21 | 1.42 | 5.79 | 0.0080 |
| Malgorzata-0.57H [39] | 45 | 16.29 | 3.61 | 2.22 | 0.15 | 0.15 | 0.50 | 43,281 | 2.50 | 1.63 | 0.39 | 2.52 | 0.0034 |
| Malgorzata-0.57CH [39] | 45 | 16.49 | 3.27 | 1.78 | 0.15 | 0.15 | 0.50 | 41,903 | 2.50 | 1.47 | 0.24 | 2.13 | 0.0035 |
| Michels. 0.65% [40] | 51 | 31.40 | 7.73 | 6.93 | 0.15 | 0.15 | 0.60 | 30,000 | 2.50 | 3.48 | 1.92 | 6.75 | 0.0062 |
| Michels. 0.52% [40] | 41 | 30.60 | 7.47 | 6.67 | 0.15 | 0.15 | 0.60 | 30,000 | 2.50 | 3.36 | 1.84 | 6.50 | 0.0061 |
| Zhang (78.4 kg/m3) [41] | 78 | 16.50 | 9.60 | 6.00 | 0.10 | 0.10 | 0.40 | 32,000 | 2.50 | 4.32 | 1.08 | 6.75 | 0.0081 |
| Doo-S13 (157 kg/m3) [42] | 157 | 27.90 | 12.15 | 9.00 | 0.10 | 0.10 | 0.30 | 50,876 | 2.50 | 5.47 | 2.07 | 9.42 | 0.0053 |
| Doo-S16.3 (157 kg/m3) [42] | 157 | 32.90 | 13.50 | 12.60 | 0.10 | 0.10 | 0.30 | 46,260 | 2.50 | 6.08 | 3.60 | 12.09 | 0.0043 |
| Doo-S19.5 (157 kg/m3) [42] | 157 | 37.90 | 14.85 | 15.75 | 0.10 | 0.10 | 0.30 | 46,126 | 2.50 | 6.68 | 4.91 | 14.48 | 0.0031 |
| Barros (60 kg/m3) [43] | 60 | 11.50 | 2.20 | 1.90 | 0.15 | 0.15 | 0.45 | 33,366 | 2.50 | 0.99 | 0.51 | 1.88 | 0.0017 |
| Barros (45 kg/m3) [43] | 45 | 7.50 | 1.40 | 1.20 | 0.15 | 0.15 | 0.45 | 33,935 | 2.50 | 0.63 | 0.32 | 1.19 | 0.0011 |
| Ali (60 kg/m3) [44] | 60 | 28.00 | 7.00 | 5.67 | 0.15 | 0.15 | 0.60 | 34,484 | 2.50 | 3.15 | 1.43 | 5.73 | 0.0060 |
| Ali (40 kg/m3) [44] | 40 | 28.00 | 7.33 | 6.33 | 0.15 | 0.15 | 0.60 | 35,808 | 2.50 | 3.30 | 1.70 | 6.25 | 0.0054 |
Publisher’s Note: MDPI stays neutral with regard to jurisdictional claims in published maps and institutional affiliations. |
© 2022 by the authors. Licensee MDPI, Basel, Switzerland. This article is an open access article distributed under the terms and conditions of the Creative Commons Attribution (CC BY) license (https://creativecommons.org/licenses/by/4.0/).
Share and Cite
Carmona, J.R.; Cortés-Buitrago, R.; Rey-Rey, J.; Ruiz, G. Planar Crack Approach to Evaluate the Flexural Strength of Fiber-Reinforced Concrete Sections. Materials 2022, 15, 5821. https://doi.org/10.3390/ma15175821
Carmona JR, Cortés-Buitrago R, Rey-Rey J, Ruiz G. Planar Crack Approach to Evaluate the Flexural Strength of Fiber-Reinforced Concrete Sections. Materials. 2022; 15(17):5821. https://doi.org/10.3390/ma15175821
Chicago/Turabian StyleCarmona, Jacinto R., Raúl Cortés-Buitrago, Juan Rey-Rey, and Gonzalo Ruiz. 2022. "Planar Crack Approach to Evaluate the Flexural Strength of Fiber-Reinforced Concrete Sections" Materials 15, no. 17: 5821. https://doi.org/10.3390/ma15175821
APA StyleCarmona, J. R., Cortés-Buitrago, R., Rey-Rey, J., & Ruiz, G. (2022). Planar Crack Approach to Evaluate the Flexural Strength of Fiber-Reinforced Concrete Sections. Materials, 15(17), 5821. https://doi.org/10.3390/ma15175821

