Electrochemical and Mechanical Properties of Cathodically Protected X80 Steel in Different Temperature Soil
Abstract
:1. Introduction
2. Experimental Setup
2.1. Sample Preparation
2.2. Corrosion Medium
2.3. Electrochemical Measurements
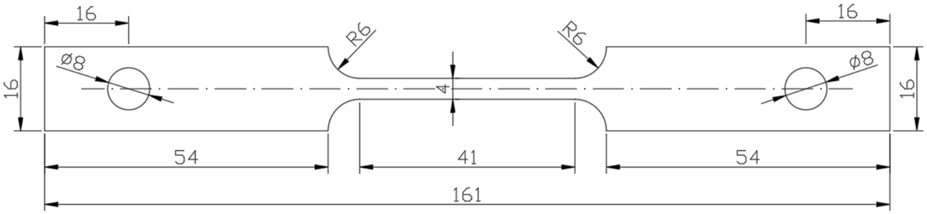
2.4. SSRT Tests
2.5. SEM Surface Morphologies
3. Results and Discussion
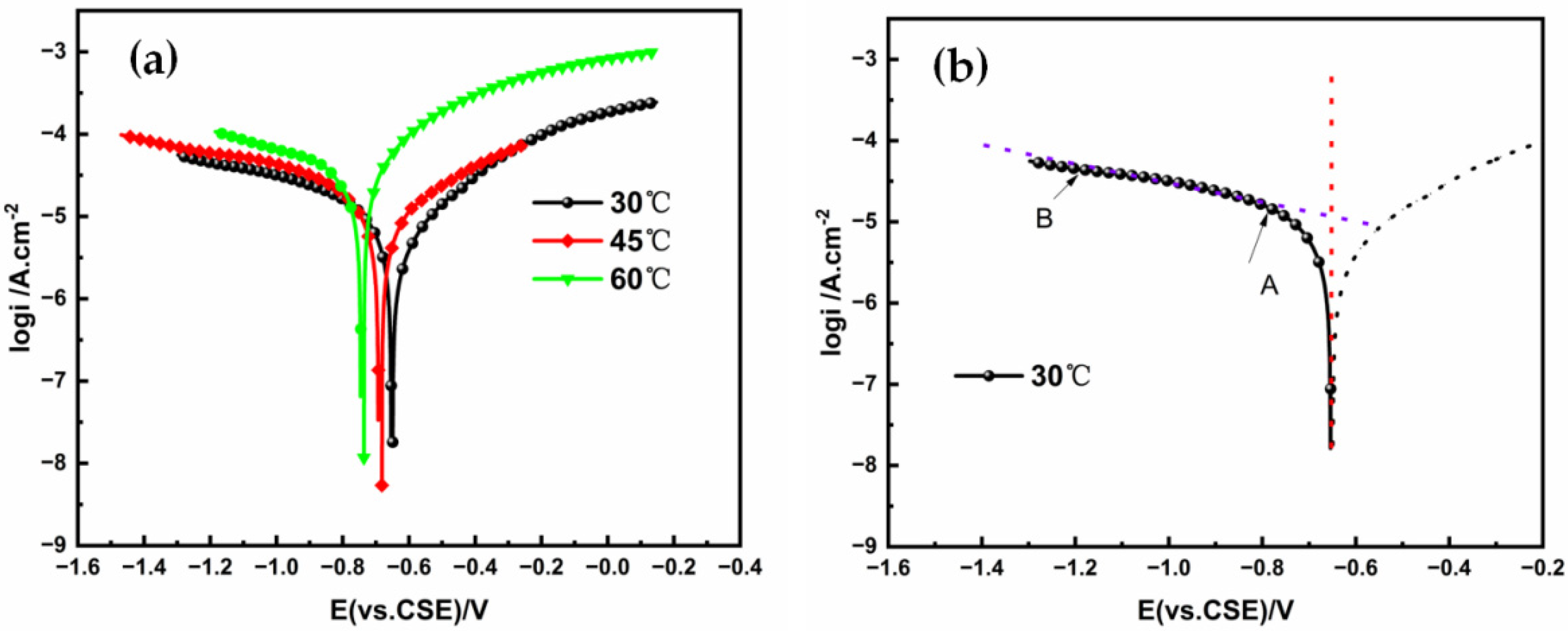
3.1. CP Potential of X80 Steel at Different Temperatures
3.1.1. Potentiodynamic Polarization Test
3.1.2. EIS
3.2. Hydrogen Embrittlement Sensitivity of X80 Steel
3.2.1. SSRT
3.2.2. Fracture Morphology
4. Conclusions
- (1)
- The appropriate cathodic protection potential for X80 in Heilongjiang soil at the temperatures of concern was established to be between −900 mV (vs. CSE) and −1100 mV (vs. CSE).
- (2)
- The mechanical properties of X80 decreased with an increasing negative cathodic potential due to the absorption of the generated hydrogen into the steel.
- (3)
- The elongation of the SSRT test specimens decreased when the applied CP potential became more negative due to the increasing hydrogen embrittlement susceptibility of the steel at a high CP potential.
Author Contributions
Funding
Informed Consent Statement
Conflicts of Interest
References
- Liu, Z.Y.; Li, Q.; Cui, Z.Y. Field experiment of stress corrosion cracking behavior of high strength pipeline steels in typical soil environments. Constr. Build. Mater. 2017, 148, 131–139. [Google Scholar] [CrossRef]
- Liang, P.; Du, C.W.; Li, X.G.; Chen, X. Effect of hydrogen on the stress corrosion cracking behavior of X80 pipeline steel in Ku’erle soil simulated solution. Int. J. Miner. Metall. Mater. 2009, 16, 407–413. [Google Scholar] [CrossRef]
- Dong, C.F.; Xiao, K.; Liu, Z.Y.; Yang, W.J.; Li, X.G. Hydrogen induced cracking of X80 pipeline steel. Int. J. Miner. Metall. Mater 2010, 17, 579–586. [Google Scholar] [CrossRef]
- Hartt, W.H. 2012 frank newman speller award: Cathodic protection of offshore structuresdhistory and current status. Corrosion 2012, 68, 1063–1075. [Google Scholar] [CrossRef]
- Dang, D.N.; Lanarde, L.; Jeannin, M.; Sabot, R.; Refait, P. Influence of soil moisture on the residual corrosion rates of buried carbon steel structures under cathodic protection. Electrochim. Acta 2015, 176, 1410–1419. [Google Scholar] [CrossRef]
- Elboujdaini, M.; Revie, W. Susceptibility to hydrogen embrittlement under cathodic protection of high-strength pipeline steels. In Proceedings of the 14th Middle East Corrosion Conference & Exhibition 2012, Manama, Bahrain, 12–15 February 2012. [Google Scholar]
- Liu, Y.; Li, Q. Effect of cathodic polarization on hydrogen embrittlement susceptibility of X80 pipeline steel in simulated deep sea environment. Acta Metall. Sin. 2013, 49, 1089–1097. [Google Scholar] [CrossRef]
- Zhang, T.M.; Zhao, W.M.; Guo, W.; Yong, W. Hydrogen permeation behavior through HSLA steels and its implications on hydrogen embrittlement susceptibility. Appl. Mech. Mater. 2013, 302, 310–316. [Google Scholar] [CrossRef]
- Chatzidouros, E.V.; Traidia, A.; Devarapalli, R.S.; Pantelis, D.I.; Steriotis, T.A.; Jouiad, M. Effect of hydrogen on fracture toughness properties of a pipeline steel under simulated sour service conditions. Int. J. Hydrog. Energy 2018, 43, 5747–5759. [Google Scholar] [CrossRef]
- Dwivedi, S.K.; Vishwakarma, M. Hydrogen embrittlement in different materials: A review. Int. J. Hydrog. Energy 2018, 43, 21603–21616. [Google Scholar] [CrossRef]
- Hoyos, J.J.; Masoumi, M.; Pereira, V.F.; Tschiptschin, A.P.; Paes, M.T.P.; Avila, J.A. Influence of hydrogen on the microstructure and fracture toughness of friction stir welded plates of API 5L X80 pipeline steel. Int. J. Hydrog. Energy 2019, 44, 23458–23471. [Google Scholar] [CrossRef]
- Hardie, D.; Charles, E.A.; Lopez, A.H. Hydrogen embrittlement of high strength pipeline steels. Corros. Sci. 2006, 48, 4378–4385. [Google Scholar] [CrossRef]
- Cabrini, M.; Lorenzi, S.; Pellegrini, S. Environmentally assisted cracking and hydrogen diffusion in traditional and high-strength pipeline steels. Corros. Rev. 2015, 33, 529–545. [Google Scholar] [CrossRef]
- Rosado, D.B.; Waele, W.D.; Hertele, S.; Vanderschueren, D. Latest developments in mechanical properties and metallurgical features of high strength line pipe steels. Int. J. Sustain. Constr. Des. 2013, 4. [Google Scholar] [CrossRef]
- Liu, Z.Y.; Li, X.G.; Du, C.W. Local additional potential model for effect of strain rate on SCC of pipeline steel in an acidic soil solution. Corros. Sci. 2009, 51, 2863–2871. [Google Scholar] [CrossRef]
- Wang, X.H.; Wang, C.; Tang, X.H. A Comparison of Cathodic Protection arameters with High-Strength Pipeline Steels in Soil Solution. Int. J. Electrochem. Sci. 2014, 9, 8199–8210. [Google Scholar]
- Zhang, W.J.; Zhu, Z.X.; Xiao, P. Influence of applied potential on stress corrosion cracking of X80 Steel in Manchurian soil. J. Southwest Pet. Univ. Sci. Technol. Ed. 2019, 41, 181–188. [Google Scholar]
- Wu, S.X.; Gao, Z.M.; Zhao, J. Cathodic protection criteria for X80 steel in soil extract. Int. J. Electrochem. Sci. 2020, 15, 868–878. [Google Scholar] [CrossRef]
- Fang, Y.C.; Lu, M.X.; Xing, Y.Y. Investigation of hydrogen embrittlement of high strength pipeline steels under typical service environment. In Proceedings of the 2017 World Congress On Advances in Structural Engineering and Mechanics (ASME17), Seoul, Korea, 28 August–1 September 2017. [Google Scholar]
- Revie, R.W.; Elboujdaini, M.; Attard, M. The Effect of Cathodic Protection on Cracking of High-Strength Steel; CANMET Materials Technology Laboratory: Hamilton, ON, Canada, 2009. [Google Scholar]
- Xie, F.; Li, J.H.; Zou, T. Stress corrosion cracking behavior induced by sulfate-reducing bacteria and cathodic protection on X80 pipeline steel. Constr. Build. Mater. 2021, 308, 125093. [Google Scholar] [CrossRef]
- Zhang, L.; Shen, H.J.; Lu, K.D. Investigation of hydrogen concentration and hydrogen damage on API X80 steel surface under cathodic overprotection. Int. J. Hydrog. Energy 2017, 42, 29888–29896. [Google Scholar] [CrossRef]
- Amir, G.; Anijdan, S.H.M.; Sabzi, M. The effect of natural inhibitor concentration of Fumaria officinalis and temperature on corrosion protection mechanism in API X80 pipeline steel in 1 M H2SO4 solution. Int. J. Press. Vessel. Pip. 2020, 188, 104241. [Google Scholar]
- Okonkwo, P.C.; Ahmed, E.; Mohamed, A.M.A. Effect of temperature on the corrosion behavior of API X80 steel pipeline. Int. J. Electrochem. Sci. 2015, 10, 10246. [Google Scholar]
- ISO 15589-2015; Petroleum, Petrochemical and Natural Gas Industries—Cathodic Protection of Pipeline Transportation Systems—Part 1: Onshore Pipeline. ISO: Geneva, Switzerland, 2015.
- Liu, Z.Y.; Li, X.G.; Cheng, Y.F. Mechanistic aspect of near-neutral pH stress corrosion cracking of pipelines under cathodic polarization. Corros. Sci. 2012, 55, 54–60. [Google Scholar] [CrossRef]
- Liu, Z.Y.; Li, X.G.; Cheng, Y.F. Electrochemical state conversion model for occurrence of pitting corrosion on a cathodically polarized carbon steel in a near-neutral pH solution. Electrochim. Acta 2011, 56, 4167–4175. [Google Scholar] [CrossRef]
- Han, M.-S.; Ko, S.; Kim, K.-S. Optimization of corrosion protection potential for stress corrosion cracking and hydrogen embrittlement of 5083-H112 Alloy in seawater. Met. Mater. Int. 2008, 14, 203–211. [Google Scholar] [CrossRef]
- Okayasu, M.; Sato, M. Examination of Hydrogen Diffusivity in Carbon Steels Using a Newly Developed Hydrogen Permeation System. Exp. Mech. 2021, 61, 1443–1453. [Google Scholar] [CrossRef]
- Hajime, K.; Hideki, M.; Shigenobu, O. Effect of temperature on fast hydrogen diffusion in iron: A path-integral quantum dynamics approach. Phys. Rev. B 2011, 83, 094110. [Google Scholar]
- Gao, Z.; Liu, X.; Wen, L.; Kang, W. Effect of calcareous sediments on hydrogen evolution potential of 16Mn steel in seawater. Int. J. Electrochem. Sci. 2016, 11, 3007–3023. [Google Scholar] [CrossRef]
- Gao, Z.M.; Liu, Y.Y.; Lin, F. EIS characteristic under cathodic protection and effect of applied cathodic potential on surface microhardness of Q235 Steel. Int. J. Electrochem. Sci. 2013, 8, 10446–10453. [Google Scholar]
- Liu, Z.Y.; Lu, L.; Huang, Y.Z. Mechanistic aspect of non-steady electrochemical characteristic during stress corrosion cracking of an X70 pipeline steel in simulated underground water. Corrosion 2014, 70, 678–685. [Google Scholar] [CrossRef]
- Ma, H.H.; Zhao, B.; Liu, Z.Y.; Du, C.W. Local chemistry–electrochemistry and stress corrosion susceptibility of X80 steel below disbonded coating in acidic soil environment under cathodic protection. Constr. Build. Mater. 2020, 243, 118203. [Google Scholar] [CrossRef]












| Soil Type | pH | Cl− | SO42− | HCO3− | Ca2+ | Mg2+ | K+ | Na+ |
|---|---|---|---|---|---|---|---|---|
| Meadow | 6.01 | 0.044 | 0.24 | 0.0725 | 1.7 | 1.6 | 19 | 1.3 |
| E(CSE)/mV | σb/Mpa | σs/Mpa | Fracture Energy E/(J·cm−2) | δ/% | ψ/% | Fracture Energy Loss (IE)/% |
|---|---|---|---|---|---|---|
| OCP | 585.913 | 494.838 | 73.2233 | 14.146 | 65.00 | 1.0070 |
| −800 | 593.713 | 511.225 | 73.5343 | 14.001 | 67.24 | 0.00586 |
| −900 | 611.113 | 523.113 | 69.5261 | 13.065 | 74.11 | 6.0053 |
| −1000 | 590.538 | 519.200 | 63.5686 | 12.311 | 68.32 | 14.0594 |
| −1100 | 565.813 | 500.550 | 59.4923 | 12.103 | 67.36 | 19.5703 |
| E(CSE)/mV | σb/Mpa | σs/Mpa | Fracture Energy E/(J·cm−2) | δ/% | ψ/% | Fracture Energy Loss (IE)/% |
|---|---|---|---|---|---|---|
| OCP | 587.850 | 512.875 | 56.4625 | 11.093 | 57.265 | 23.0566 |
| −800 | 602.463 | 529.488 | 57.3156 | 10.873 | 60.625 | 20.2727 |
| −900 | 609.888 | 526.938 | 62.5581 | 11.766 | 65.35 | 27.0676 |
| −1000 | 607.688 | 528.188 | 57.2155 | 10.678 | 34.75 | 30.0478 |
| −1100 | 584.288 | 509.050 | 54.0241 | 10.619 | 57.565 | 26.8721 |
| −1200 | 592.638 | 526.825 | 49.2806 | 9.451 | 34.9 | 35.3617 |
| E(CSE)/mV | σb/Mpa | σs/Mpa | Fracture Energy E/(J·cm−2) | δ/% | ψ/% | Fracture Energy Loss (IE)/% |
|---|---|---|---|---|---|---|
| OCP | 592.688 | 512.588 | 56.9136 | 10.819 | 56.800 | 23.6664 |
| −800 | 606.050 | 531.000 | 58.9728 | 11.082 | 50.200 | 22.5131 |
| −900 | 576.075 | 503.650 | 53.9467 | 10.650 | 45.4 | 15.4256 |
| −1000 | 579.600 | 495.838 | 51.7423 | 10.563 | 41.4 | 22.6625 |
| −1100 | 587.138 | 505.913 | 54.0913 | 10.364 | 25.525 | 26.9807 |
| −1200 | 570.438 | 494.750 | 47.8117 | 9.329 | 31.112 | 33.3880 |
Publisher’s Note: MDPI stays neutral with regard to jurisdictional claims in published maps and institutional affiliations. |
© 2022 by the authors. Licensee MDPI, Basel, Switzerland. This article is an open access article distributed under the terms and conditions of the Creative Commons Attribution (CC BY) license (https://creativecommons.org/licenses/by/4.0/).
Share and Cite
Liu, W.; Meng, Y.; Zhao, J.; Wen, W.; Gong, M.; Wu, S.; Li, S.; Yu, M.; Liu, J. Electrochemical and Mechanical Properties of Cathodically Protected X80 Steel in Different Temperature Soil. Materials 2022, 15, 5526. https://doi.org/10.3390/ma15165526
Liu W, Meng Y, Zhao J, Wen W, Gong M, Wu S, Li S, Yu M, Liu J. Electrochemical and Mechanical Properties of Cathodically Protected X80 Steel in Different Temperature Soil. Materials. 2022; 15(16):5526. https://doi.org/10.3390/ma15165526
Chicago/Turabian StyleLiu, Wenhui, Yanbing Meng, Jun Zhao, Wen Wen, Ming Gong, Shixiong Wu, Songmei Li, Mei Yu, and Jianhua Liu. 2022. "Electrochemical and Mechanical Properties of Cathodically Protected X80 Steel in Different Temperature Soil" Materials 15, no. 16: 5526. https://doi.org/10.3390/ma15165526
APA StyleLiu, W., Meng, Y., Zhao, J., Wen, W., Gong, M., Wu, S., Li, S., Yu, M., & Liu, J. (2022). Electrochemical and Mechanical Properties of Cathodically Protected X80 Steel in Different Temperature Soil. Materials, 15(16), 5526. https://doi.org/10.3390/ma15165526

