Discontinuity in the Electronic Structure and Magnetic Order of β-Co1+xGa1−x
Abstract
1. Introduction
2. Results and Discussion
2.1. Stoichiometric -CoGa
2.2. -CoGa with Vacancies or Ga Excess
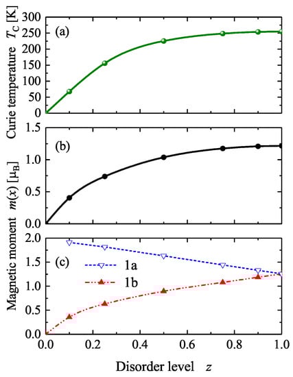
2.3. Anti-Site Disordered CoGa
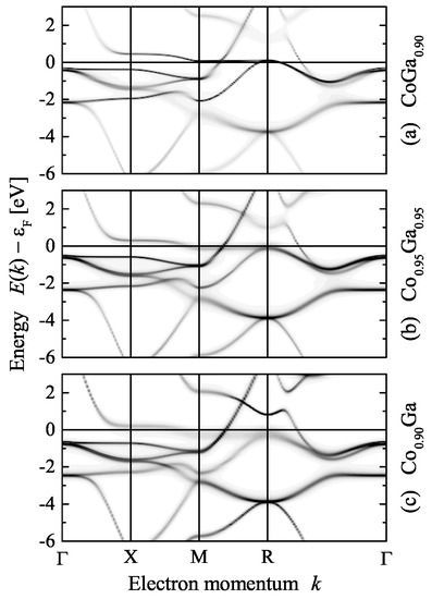
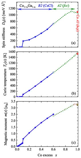
2.4. -CoGa with Co Excess (CoGa, )
2.5. From Half to Full Co Content: From CoGa to Co
3. Summary and Conclusions
Funding
Data Availability Statement
Conflicts of Interest
Appendix A. Calculational Details
References
- Suzuki, K.Z.; Ranjbar, R.; Sugihara, A.; Miyazaki, T.; Mizukami, S. Room temperature growth of ultrathin ordered MnGa films on a CoGa buffer layer. Jpn. J. Appl. Phys. 2016, 55, 010305. [Google Scholar] [CrossRef]
- Suzuki, K.Z.; Ono, A.; Ranjbar, R.; Sugihara, A.; Mizukami, S. Effect of Buffer Layer Annealing on the Growth of (001)-Textured MnGa Ultrathin Films With Perpendicular Magnetic Anisotropy. IEEE Trans. Magn. 2017, 53, 211004. [Google Scholar] [CrossRef]
- Suzuki, K.Z.; Ranjbar, R.; Okabayashi, J.; Miura, Y.; Sugihara, A.; Tsuchiura, H.; Mizukami, S. Perpendicular magnetic tunnel junction with a strained Mn-based nanolayer. Sci. Rep. 2016, 6, 30249. [Google Scholar] [CrossRef] [PubMed]
- Takikawa, M.; Suzuki, K.Z.; Ranjbar, R.; Mizukami, S. In-plane current-induced magnetization switching in CoGa/MnGa/MgO films. Appl. Phys. Express 2017, 10, 073004. [Google Scholar] [CrossRef]
- Ranjbar, R.; Suzuki, K.Z.; Mizukami, S. Current-induced switching in CoGa/L10 MnGa/(CoGa)/Pt structure with different thicknesses. J. Magn. Magn. Mater. 2018, 456, 22. [Google Scholar] [CrossRef]
- Oshima, D.; Kato, T.; Iwata, S. Highly (001) oriented MnAl thin film fabricated on CoGa buffer layer. AIP Adv. 2020, 10, 025012. [Google Scholar] [CrossRef]
- Lau, Y.; Lee, H.; Hayashi, M. Unexpected strong spin Hall effect in heavy-element-free paramagnetic CoGa. In Proceedings of the 2017 IEEE International Magnetics Conference (INTERMAG), Dublin, Ireland, 24–28 April 2017. [Google Scholar]
- Lau, Y.C.; Lee, H.; Qu, G.; Nakamura, K.; Hayashi, M. Spin Hall effect from hybridized 3d-4p orbitals. Phys. Rev. B 2019, 99, 064410. [Google Scholar] [CrossRef]
- Filippou, P.C.; Jeong, J.; Ferrante, Y.; Yang, S.H.; Topuria, T.; Samant, M.G.; Parkin, S.S. Chiral domain wall motion in unit-cell thick perpendicularly magnetized Heusler films prepared by chemical templating. Nat. Commun. 2018, 9, 4653. [Google Scholar] [CrossRef] [PubMed]
- Balster, T.; Kovacs, D.A.; Pflitsch, C.; Verheij, L.K.; David, R.; Franchy, R. Structure and magnetic properties of ultrathin iron films deposited on the CoGa (100) surface. Phys. Rev. B 2002, 66, 184406. [Google Scholar] [CrossRef]
- Yasin, S.M.; Saha, R.; Srinivas, V.; Kasiviswanathan, S.; Nigam, A.K. Giant magnetoresistance in the cluster glass regime of Co-Ga alloys. AIP Adv. 2016, 6, 055815. [Google Scholar] [CrossRef]
- Yasin, S.M.; Saha, R.; Srinivas, V.; Kasiviswanathan, S.; Nigam, A.K. Evolution of ferromagnetic interactions from cluster spin glass state in Co–Ga alloy. J. Magn. Magn. Mater. 2016, 418, 158. [Google Scholar] [CrossRef]
- Meisel, M.W.; Halperin, W.P.; Ochiai, Y.; Brittain, J.O. Spin glass behaviour of CoGa compounds. J. Phys. F Met. Phys. 1980, 10, L105. [Google Scholar] [CrossRef]
- Meisel, M.W.; Zhou, W.S.; Owers-Bradley, J.R.; Ochiai, Y.; Brittain, J.O.; Halperin, W.P. Magnetic properties of CoGa alloys and the transition from spin glass to ferromagnetism. J. Phys. F Met. Phys. 1982, 12, 317. [Google Scholar] [CrossRef]
- Okamoto, H. Co-Ga (Cobalt-Gallium). J. Phase Equilib. Diffus. 2005, 26, 197. [Google Scholar] [CrossRef]
- Chari, A.; Garay, A.; Arroyave, R. Thermodynamic remodeling of the Co-Ga system. Calphad 2010, 34, 189. [Google Scholar] [CrossRef]
- Feschotte, P.; Eggimann, P. Les systemes binaires cobalt-gallium et nickel-gallium-étude comparée. J. Less-Common Met. 1974, 63, 15. [Google Scholar] [CrossRef]
- Wunsch, K.M.; Wachtel, E. Defect Structure and Lattice Parameter of Co-Ga Alloys with B2-Structure. Z. Met. 1982, 73, 311. [Google Scholar]
- Binary Alloy Phase Diagrams, 2nd ed.; ASM International: Almere, The Netherlands, 1990.
- Alloy Phase Diagrams. In ASM Handbook; ASM International The Materials Information Company: Almere, The Netherlands, 1992; Volume 3.
- Wachtel, E.; Linsei, V.; Gerold, V. Defect structure and magnetic moments in the beta-phases of CoAl and CoGa. J. Phys. Chem. Solids 1973, 34, 1461. [Google Scholar] [CrossRef]
- Berner, D.; Geibel, G.; Gerold, V.; Wachtel, E. Structural defects and magnetic properties in the ordered compound CoGa. J. Phys. Chem. Solids 1975, 36, 221. [Google Scholar] [CrossRef]
- Meisel, M.W.; Zhou, W.S.; Owers-Bradley, J.R.; Halperin, W.P.; Ochiai, Y.; Brittain, J.O. Magnetic phase diagram of slow cooled β-phase CoGa alloys. Physica 1981, 107B, 249. [Google Scholar] [CrossRef]
- Buschow, K.H.J.; van Engen, P.; Jongbreur, R. Magneto-optical properties of metallic ferromagnetic materials. J. Magn. Magn. Mater. 1983, 38, 1. [Google Scholar] [CrossRef]
- Yakhmi, J.V. Electrical resistivity of beta CoxGa1−x. J. Phys. F Met. Phys. 1983, 13, 659. [Google Scholar] [CrossRef]
- Whittle, G.L.; Fletcher, G.C.; Clark, P.E.; Cywinskis, R. The electronic band structure of a B2 intermetallic compound: Localised states in CoGa. J. Phys. F Met. Phys. 1982, 12, 303. [Google Scholar] [CrossRef]
- Stefanou, N.; Zeller, R.; Dederichs, P.H. Ab initio electronic structure calculations for point defects in CoAl and CoGa. Phys. Rev. B 1987, 35, 2705. [Google Scholar] [CrossRef]
- Heusler, F. Über magnetische Manganlegierungen. Verh. d. DPG 1903, 5, 219. [Google Scholar]
- Felser, C.; Hirohata, A. Heusler Alloys; Springer Series in Materials Science; Springer: Berlin/Heidelberg, Germany, 2016. [Google Scholar]
- Buschow, K.H.J.; van Engen, P. Magnetic and magneto-optical properties of Heusler alloys based on Aluminium and Gallium. J. Magn. Magn. Mater. 1981, 25, 90. [Google Scholar] [CrossRef]
- de Groot, R.A.; Müller, F.M.; van Engen, P.G.; Buschow, K.H.J. New Class of Materials: Half-Metallic Ferromagnets. Phys. Rev. Lett. 1983, 50, 2024. [Google Scholar] [CrossRef]
- Felser, C.; Fecher, G.H. Spintronics; Springer: Berlin/Heidelberg, Germany, 2013. [Google Scholar]
- Bader, R.F.W. Atoms in Molecules. A Quantum Theory; Oxford University Press: Oxford, UK, 1990. [Google Scholar]
- Otero-de-la Roza, A.; Blanco, M.A.; Pendas, A.M.; Luana, V. Critic: A new program for the topological analysis of solid-state electron densities. Comp. Phys. Commun. 2009, 180, 157. [Google Scholar] [CrossRef]
- Otero-de-la Roza, A.; Johnson, E.R.; Luana, V. Critic2: A program for real-space analysis of quantum chemical interactions in solids. Comp. Phys. Commun. 2014, 185, 1007. [Google Scholar] [CrossRef]
- Fecher, G.H.; Ebke, D.; Ouardi, S.; Agrestini, S.; Kuo, C.Y.; Hollmann, N.; Hu, Z.; Gloskovskii, A.; Yakhou, F.; Brookes, N.B.; et al. State of Co and Mn in half-metallic ferromagnet Co2MnSi explored by magnetic circular dichroism in hard X-ray photoelectron emission and soft X-ray absorption spectroscopies. Spin 2014, 4, 1440017. [Google Scholar] [CrossRef]
- Mori-Sanchez, P.; Pendas, A.M.; Luana, V. A Classification of Covalent, Ionic, and Metallic Solids Based on the Electron Density. J. Am. Chem. Soc. 2002, 124, 14721. [Google Scholar] [CrossRef] [PubMed]
- Madelung, E. Das elektrische Feld in Systemen von regelmäßig angeordneten Punktladungen. Phys. Z. 1918, 19, 542. [Google Scholar]
- Wei, S.H.; Zunger, A. Electronic Structure and Phase Stability of LiXnAs: A Half Ionic and Half Covalent Tetrahedral Semiconductor. Phys. Rev. Lett. 1986, 56, 528. [Google Scholar] [CrossRef] [PubMed]
- Bende, D.; Grin, Y.; Wagner, F.R. Covalence and Ionicity in MgAgAs-Type Compounds. Chem. Eur. J. 2014, 20, 9702. [Google Scholar] [CrossRef]
- Koster, G.F.; Dimmok, J.O.; Wheeler, R.G.; Statz, H. The Properties of the Thirty-Two Point Groups; The M.I.T. Press: Cambridge, MA, USA, 1963. [Google Scholar]
- Ebert, H.; Vernes, A.; Banhart, J. Anisotropic electrical resistivity of ferromagnetic Co-Pd and Co-Pt alloys. Phys. Rev. B 1996, 54, 8479. [Google Scholar] [CrossRef] [PubMed]
- Di, L.M.; Bakker, H.; Tamminga, Y.; Boer, F.R.d. Mechanical attrition and magnetic properties of CsCl-structure Co-Ga. Phys. Rev. B 1991, 44, 2444. [Google Scholar] [CrossRef] [PubMed][Green Version]
- Yasin, S.M.; Saha, R.; Srinivas, V.; Kasiviswanathan, S.; Nigam, A.K. Spin correlations and magnetic order in Co-Ga alloys: A comprehensive study. J. Alloys Compd. 2015, 649, 1011. [Google Scholar] [CrossRef]
- Linse, V.; Wachtel, E. Zum magnetischen Tieftemperaturverhalten der beta-Phasen CoAl und CoGa. Z. Met. 1976, 64, 211. [Google Scholar]
- Yusheng, X.; Ghafari, M.; Hahn, H.; Gonser, U.; Molnart, B. Investigation of constitutional and thermal defects in the ordered beta-phases CoGa and NiGa alloys by Mossbauer spectroscopy. Solid State Commun. 1987, 61, 779. [Google Scholar] [CrossRef]
- Kübler, J.; Fecher, G.H.; Felser, C. Half-Metallic Ferromagnets. In Spintronics; Felser, C., Fecher, G.H., Eds.; Springer: Berlin/Heidelberg, Germany, 2013; Chapter 5; p. 71. [Google Scholar]
- Fecher, G.H.; Chadov, S.; Felser, C. Theory of the Half-Metallic Heusler Compounds. In Spintronics; Felser, C., Fecher, G.H., Eds.; Springer: Berlin/Heidelberg, Germany, 2013; Chapter 7; p. 115. [Google Scholar]
- Fecher, G.H.; Kandpal, H.C.; Wurmehl, S.; Felser, C.; Schönhense, G. Slater-Pauling rule and Curie temperature of Co2-based Heusler compounds. J. Appl. Phys. 2006, 99, 08J106. [Google Scholar] [CrossRef]
- Blaha, P.; Schwarz, K.; Madsen, G.K.H.; Kvasnicka, D.; Luitz, J. WIEN2k: An Augmented PlaneWave + Local Orbitals Program for Calculating Crystal Properties; Universität Wien: Vienna, Austria, 2013. [Google Scholar]
- Schwarz, K.; Blaha, P. Solid state calculations using WIEN2k. Comput. Mater. Sci. 2003, 28, 259. [Google Scholar] [CrossRef]
- Ebert, H. Fully Relativistic Band Structure Calculations for Magnetic Solids—Formalism and Application. In Electronic Structure and Physical Properties of Solids. The Use of the LMTO Method; Lecture Notes in Physics; Dreysee, H., Ed.; Springer: Berlin/Heidelberg, Germany, 1999; Volume 535, pp. 191–246. [Google Scholar]
- Ebert, H.; Ködderitzsch, D.; Minar, J. Calculating condensed matter properties using the KKR-Green’s function method: Recent developments and applications. Rep. Prog. Phys. 2011, 74, 096501. [Google Scholar] [CrossRef]
- Perdew, J.P.; Burke, K.; Ernzerhof, M. Generalized Gradient Approximation Made Simple. Phys. Rev. Lett. 1996, 77, 3865. [Google Scholar] [CrossRef] [PubMed]
- Villars, P.; Cenzual, K. Pearson’s Crystal Data—Crystal Structure Database for Inorganic Compounds Release 2019/2020; ASM International, The Materials Information Company: Materials Park, OH, USA, 2020. [Google Scholar]
- Gröbner, J.; Wenzel, R.; Fischer, G.G.; Schmid-Fetzer, R. Thermodynamic Calculation of the Binary Systems M-Ga and Investigation of Ternary M-Ga-N Phase Equilibria (M = Ni, Co, Pd, Cr). J. Phase Equilib. 1999, 20, 615. [Google Scholar] [CrossRef]
- Soven, P. Coherent-Potential Model of Substitutional Disordered Alloys. Phys. Rev. 1967, 156, 809. [Google Scholar] [CrossRef]
- Rowlands, D.A.; Staunton, J.B.; Györffy, B.L. Korringa-Kohn-Rostoker nonlocal coherent-potential approximation. Phys. Rev. B 2003, 67, 115109. [Google Scholar] [CrossRef]
- Kautzsch, L.; Mende, F.; Fecher, G.H.; Jürgen Winterlik, J.; Felser, C. Are AuPdTM (T = Sc, Y and M = Al, Ga, In) Heusler compounds superconductors without inversion symmetry? Materials 2019, 12, 2580. [Google Scholar] [CrossRef] [PubMed]
- Tulip, P.R.; Staunton, J.B.; Lowitzer, S.; Ködderitzsch, D.; Ebert, H. Theory of electronic transport in random alloys with short-range order: Korringa-Kohn-Rostoker nonlocal coherent potential approximation. Phys. Rev. B 2008, 77, 165116. [Google Scholar] [CrossRef]
- Lloyd, P. Wave propagation through an assembly of spheres II. The density of single-particle eigenstates. Proc. Phys. Soc 1967, 90, 207. [Google Scholar] [CrossRef]
- Zeller, R. An elementary derivation of Lloyd’s formula valid for full-potential multiple-scattering theory. J. Phys. Condens. Matter 2004, 16, 6453. [Google Scholar] [CrossRef]
- Liechtenstein, A.I.; Katsnelson, M.I.; Gubanov, V.A. Exchange interactions and spin-wave stiffness in ferromagnetic metals. J. Phys. F Met. Phys. 1984, 14, L125. [Google Scholar] [CrossRef]
- Liechtenstein, A.I.; Katsnelson, M.I.; Antropov, V.P.; Gubanov, V.A. Local Spin Density Functional Approach to the Theory of Exchange Interactions in Ferromagnetic Metals and Alloys. J. Magn. Magn. Mater. 1987, 67, 65. [Google Scholar] [CrossRef]
- Pajda, M.; Kudrnovsky, J.; Turek, I.; Drchal, V.; Bruno, P. Ab initio calculations of exchange interactions, spin-wave stiffness constants, and Curie temperatures of Fe, Co, and Ni. Phys. Rev. B 2001, 64, 174402. [Google Scholar] [CrossRef]
- Butler, W.H. Theory of electronic transport in random alloys: Korringa-Kohn-Rostoker coherent-potential approximation. Phys. Rev. B 1985, 31, 3260. [Google Scholar] [CrossRef] [PubMed]
- Weinberger, P. Electron Scattering Theory for Ordered and Disordered Matter; Clarendon Press: Oxford, UK, 1990. [Google Scholar]
- Ouardi, S.; Fecher, G.H.; Balke, B.; Kozina, X.; Stryganyuk, G.; Felser, C.; Lowitzer, S.; Ködderitzsch, D.; Ebert, H.; Ikenaga, E. Electronic transport properties of electron- and hole-doped semiconducting C1b Heusler compounds: NiTi1-xMxSn (M=Sc, V). Phys. Rev. B 2010, 82, 085108. [Google Scholar] [CrossRef]











| Type | Position | W | Name | |||
|---|---|---|---|---|---|---|
| nucleus | 0 | 0 | 0 | 1a | Ga | |
| nucleus | 1/2 | 1/2 | 1/2 | 1b | Co | |
| bond | 1/2 | 1/2 | 0 | 3c | ||
| bond | 1/2 | 0 | 0 | 3d | ||
| bond | 0.2481 | 0.2481 | 0.2481 | 8g | ||
| ring | 0.0828 | 0.0828 | 1/2 | 12j | ||
| ring | 0.4011 | 0.4011 | 0 | 12i | ||
| cage | 1/2 | 0.2106 | 0 | 12h | c | |
Publisher’s Note: MDPI stays neutral with regard to jurisdictional claims in published maps and institutional affiliations. |
© 2022 by the author. Licensee MDPI, Basel, Switzerland. This article is an open access article distributed under the terms and conditions of the Creative Commons Attribution (CC BY) license (https://creativecommons.org/licenses/by/4.0/).
Share and Cite
Fecher, G.H. Discontinuity in the Electronic Structure and Magnetic Order of β-Co1+xGa1−x. Materials 2022, 15, 5523. https://doi.org/10.3390/ma15165523
Fecher GH. Discontinuity in the Electronic Structure and Magnetic Order of β-Co1+xGa1−x. Materials. 2022; 15(16):5523. https://doi.org/10.3390/ma15165523
Chicago/Turabian StyleFecher, Gerhard H. 2022. "Discontinuity in the Electronic Structure and Magnetic Order of β-Co1+xGa1−x" Materials 15, no. 16: 5523. https://doi.org/10.3390/ma15165523
APA StyleFecher, G. H. (2022). Discontinuity in the Electronic Structure and Magnetic Order of β-Co1+xGa1−x. Materials, 15(16), 5523. https://doi.org/10.3390/ma15165523

