Low-Loss Dual-Band Transparency Metamaterial with Toroidal Dipole
Abstract
:1. Introduction
2. Design and Fabrication
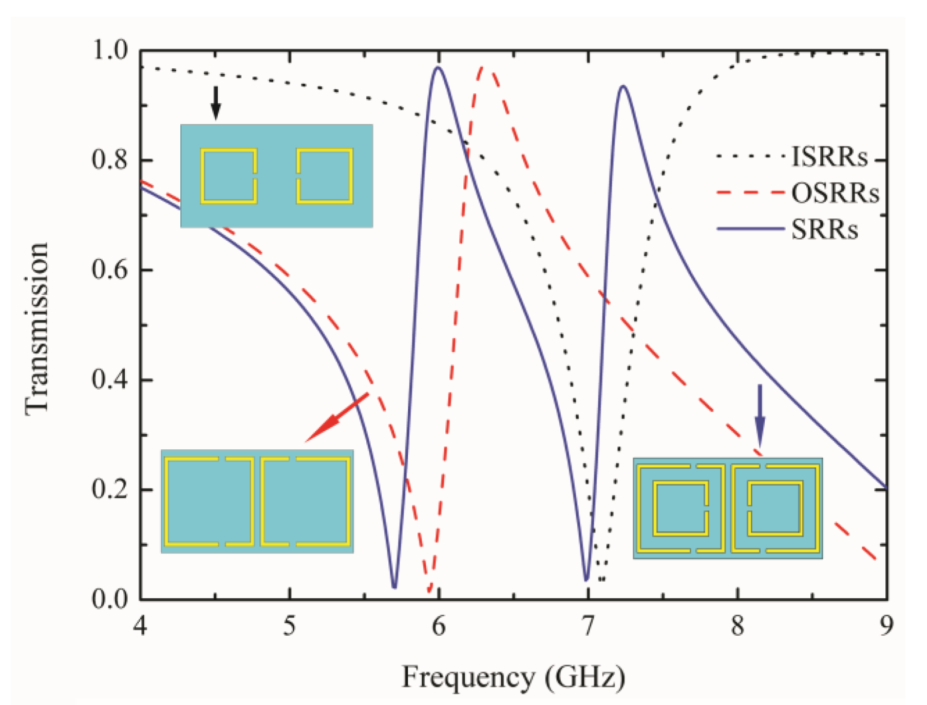
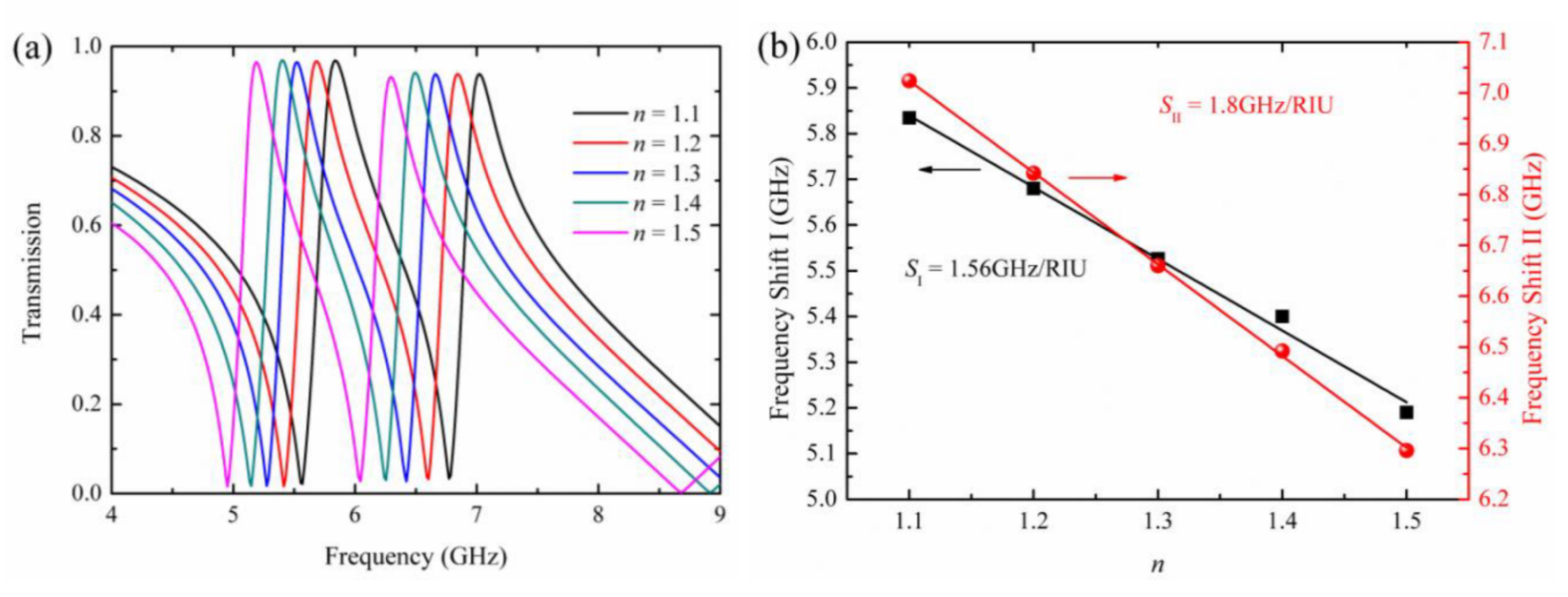
3. Analysis and Discussion
4. Conclusions
Author Contributions
Funding
Institutional Review Board Statement
Informed Consent Statement
Data Availability Statement
Conflicts of Interest
References
- Jackson, J.D. Classical Electrodynamics, 3rd ed.; Wiley: New York, NY, USA, 1999; pp. 407–448. [Google Scholar]
- Zel’Dovich, I.B. Electromagnetic Interaction with Parity Violation. Sov. Phys. JETP 1958, 6, 1184–1186. [Google Scholar]
- Zhang, J.; Mu, N.; Liu, L.; Xie, J.; Feng, H.; Yao, J.; Chen, T.; Zhu, W. Highly sensitive detection of malignant glioma cells using metamaterial-inspired THz biosensor based on electromagnetically induced transparency. Biosens. Bioelectron. 2021, 185, 113241. [Google Scholar] [CrossRef]
- Tian, F.; Ma, X.; Hao, H.; Li, X.; Fan, J.; Guo, L.; Huang, X. Broadband Bi-Directional Polarization-Insensitive Metamaterial Absorber. Materials 2021, 14, 7339. [Google Scholar] [CrossRef]
- Shlezinger, N.; Alexandropoulos, G.C.; Imani, M.F.; Eldar, Y.C.; Smith, D.R. Dynamic Metasurface Antennas for 6G Extreme Massive MIMO Communications. IEEE Wirel. Commun. 2021, 28, 106–113. [Google Scholar] [CrossRef]
- Qiu, T.; Shi, X.; Wang, J.; Li, Y.; Qu, S.; Cheng, Q.; Cui, T.; Sui, S. Deep Learning: A Rapid and Efficient Route to Automatic Metasurface Design. Adv. Sci. 2019, 6, 1900128. [Google Scholar] [CrossRef]
- Chen, F.; Cheng, Y.; Luo, H. A Broadband Tunable Terahertz Metamaterial Absorber Based on Single-Layer Complementary Gammadion-Shaped Graphene. Materials 2020, 13, 860. [Google Scholar] [CrossRef] [Green Version]
- Kaelberer, T.; Fedotov, V.A.; Papasimakis, N.; Tsai, D.P.; Zheludev, N.I. Toroidal Dipolar Response in a Metamaterial. Science 2010, 330, 1510–1512. [Google Scholar] [CrossRef] [Green Version]
- He, F.; Han, B.; Li, X.; Lang, T.; Jing, X.; Hong, Z. Analogue of Electromagnetically Induced Transparency with High Q Factor in Metal-Dielectric Metamaterials. Opt. Express 2019, 27, 37590–37600. [Google Scholar] [CrossRef]
- Pan, H.; Zhang, H. Thermally Tunable Polarization-Insensitive Ultra-Broadband Terahertz Metamaterial Absorber Based on the Coupled Toroidal Dipole Modes. Opt. Express 2021, 29, 18081–18094. [Google Scholar] [CrossRef]
- Raybould, T.A.; Fedotov, V.A.; Papasimakis, N.; Kuprov, I.; Youngs, I.J.; Chen, W.T.; Tsai, D.P.; Zheludev, N.I. Toroidal Circular Dichroism. Phys. Rev. B 2016, 94, 035119. [Google Scholar] [CrossRef] [Green Version]
- Ahmadivand, A.; Gerislioglu, B.; Ramezani, Z.; Kaushik, A.; Manickam, P.; Ghoreishi, S.A. Functionalized Terahertz Plasmonic Metasensors: Femtomolar-Level Detection of SARS-CoV-2 Spike Proteins. Biosens. Bioelectron. 2021, 177, 112971. [Google Scholar] [CrossRef]
- Li, B.; Yao, J.; Zhu, H.; Cai, G.; Liu, Q. Asymmetric Excitations of Toroidal Dipole Resonance and the Magnetic Dipole Quasi-Bound State in the Continuum in an All-Dielectric Metasurface. Opt. Mater. Express 2021, 11, 2359–2368. [Google Scholar] [CrossRef]
- Jin, R.C.; Li, J.; Wang, Y.H.; Zhu, M.J.; Li, J.Q.; Dong, Z.G. Optical Force Enhancement and Annular Trapping by Plasmonic Toroidal Resonance in a Double-Disk Metastructure. Opt. Express 2016, 24, 27563–27568. [Google Scholar] [CrossRef]
- Wu, J.; Zhang, F.; Li, Q.; Feng, Q.; Wu, Y.; Wu, L. Strong Field Enhancement in Individual Φ-Shaped Dielectric Nanostructures Based on Anapole Mode Resonances. Opt. Express 2020, 28, 570–579. [Google Scholar] [CrossRef]
- Liu, L.; Ge, L. Toroidal Dipole Resonances by a Sub-Wavelength All-Dielectric Torus. Opt. Express 2022, 30, 7491–7500. [Google Scholar] [CrossRef]
- Pan, H.; Zhang, H.F. Broadband Polarization-Insensitive Coherent Rasorber in Terahertz Metamaterial with Enhanced Anapole Response and Coupled Toroidal Dipole Modes. Adv. Opt. Mater. 2022, 10, 2101688. [Google Scholar] [CrossRef]
- Hsiao, H.H.; Liu, A.Y. Ultrasensitive and Broadband Optical Toroidal Modes in All-Dielectric Nanostructures. Laser Photon. Rev. 2022, 16, 2100404. [Google Scholar] [CrossRef]
- Wu, P.C.; Liao, C.Y.; Savinov, V.; Chung, T.L.; Chen, W.T.; Huang, Y.W.; Wu, P.R.; Chen, Y.H.; Liu, A.Q.; Zheludev, N.I.; et al. Optical Anapole Metamaterial. ACS Nano 2018, 12, 1920–1927. [Google Scholar] [CrossRef] [Green Version]
- Jeong, J.; Goldflam, M.D.; Campione, S.; Briscoe, J.L.; Vabishchevich, P.P.; Nogan, J.; Sinclair, M.B.; Luk, T.S.; Brener, I. High Quality Factor Toroidal Resonances in Dielectric Metasurfaces. ACS Photonics 2020, 7, 1699–1707. [Google Scholar] [CrossRef]
- Dmitriev, V.; Kupriianov, A.S.; Santos, S.D.S.; Tuz, V.R. Symmetry Analysis of Trimer-Based All-Dielectric Metasurfaces with Toroidal Dipole Modes. J. Phys. D Appl. Phys. 2021, 54, 115107. [Google Scholar] [CrossRef]
- Wang, S.; Wang, S.; Li, Q.; Zhao, X.; Zhu, J. Dual Toroidal Dipole Resonance Metamaterials under a Terahertz Domain. Materials 2018, 11, 2036. [Google Scholar] [CrossRef] [PubMed] [Green Version]
- Ahmed, A.M.; Mehaney, A. Ultra-High Sensitive 1D Porous Silicon Photonic Crystal Sensor Based on the Coupling of Tamm/Fano Resonances in the Mid-Infrared Region. Sci. Rep. 2019, 9, 6973. [Google Scholar] [CrossRef] [Green Version]
- Overvig, A.; Yu, N.; Alù, A. Chiral Quasi-Bound States in the Continuum. Phys. Rev. Lett. 2021, 126, 73001. [Google Scholar] [CrossRef] [PubMed]
- Wang, B.; Yu, P.; Wang, W.; Zhang, X.; Kuo, H.C.; Xu, H.; Wang, Z.M. High-Q Plasmonic Resonances: Fundamentals and Applications. Adv. Opt. Mater. 2021, 9, 2001520. [Google Scholar] [CrossRef]
- Algorri, J.F.; Dell’Olio, F.; Roldán-Varona, P.; Rodríguez-Cobo, L.; López-Higuera, J.M.; Sánchez-Pena, J.M.; Zografopoulos, D.C. Strongly Resonant Silicon Slot Metasurfaces with Symmetry-Protected Bound States in the Continuum. Opt. Express 2021, 29, 10374–10385. [Google Scholar] [CrossRef]
- Li, H.; Yu, S.; Yang, L.; Zhao, T. High Q-Factor Multi-Fano Resonances in All-Dielectric Double Square Hollow Metamaterials. Opt. Laser Technol. 2021, 140, 107072. [Google Scholar] [CrossRef]
- Gupta, M.; Singh, R. Toroidal versus Fano Resonances in High Q Planar THz Metamaterials. Adv. Opt. Mater. 2016, 4, 2119–2125. [Google Scholar] [CrossRef]
- Wang, W.; Zheng, L.; Wang, Y. Polarization-Independent Fano Metasurface with Directional Toroidal Dipole for Magnetic Field Tunability. Opt. Commun. 2020, 454, 124516. [Google Scholar] [CrossRef]
- Srivastava, Y.K.; Manjappa, M.; Cong, L.; Cao, W.; Al-Naib, I.; Zhang, W.; Singh, R. Ultrahigh-Q Fano Resonances in Terahertz Metasurfaces: Strong Influence of Metallic Conductivity at Extremely Low Asymmetry. Adv. Opt. Mater. 2016, 4, 457–463. [Google Scholar] [CrossRef]
- Huang, T.C.; Wang, B.X.; Zhao, C.Y. Strong Coupling between a Plasmonic Fano Resonance and Anapole States in a Metallic-Dielectric Antenna. J. Phys. D Appl. Phys. 2019, 52, 445102. [Google Scholar] [CrossRef] [Green Version]
- Zhou, C.; Li, S.; Wang, Y.; Zhan, M. Multiple Toroidal Dipole Fano Resonances of Asymmetric Dielectric Nanohole Arrays. Phys. Rev. B 2019, 100, 195306. [Google Scholar] [CrossRef]
- Sun, B.; Yu, Y. Destroyed-Toroidal-Localized-Spoof-Plasmon-Induced Fano Resonance in Plasmonic Metamaterial for Self-Reference Plasmonic Sensor. J. Phys. D Appl. Phys. 2019, 52, 245001. [Google Scholar] [CrossRef]
- Zografopoulos, D.C.; Algorri, J.F.; Fuscaldo, W.; López-Higuera, J.M.; Vergaz, R.; Sánchez-Pena, J.M.; Karolos, I.A.; Beccherelli, R.; Tsioukas, V.E.; Yioultsis, T.V.; et al. All-Dielectric Toroidal Metasurfaces for Angular-Dependent Resonant Polarization Beam Splitting. Adv. Opt. Mater. 2021, 9, 2002143. [Google Scholar] [CrossRef]
- Xu, N.; Manjappa, M.; Singh, R.; Zhang, W. Tailoring the Electromagnetically Induced Transparency and Absorbance in Coupled Fano–Lorentzian Metasurfaces: A Classical Analog of a Four-Level Tripod Quantum System. Adv. Opt. Mater. 2016, 4, 1179–1185. [Google Scholar] [CrossRef]
- Gupta, M.; Srivastava, Y.K.; Manjappa, M.; Singh, R. Sensing with Toroidal Metamaterial. Appl. Phys. Lett. 2017, 110, 121108. [Google Scholar] [CrossRef]
- Fan, Y.; Zhang, F.; Shen, N.H.; Fu, Q.; Wei, Z.; Li, H.; Soukoulis, C.M. Achieving a High-Q Response in Metamaterials by Manipulating the Toroidal Excitations. Phys. Rev. A 2018, 97, 033816. [Google Scholar] [CrossRef] [Green Version]
- Liu, X.; Liu, Z.; Hua, M.; Wang, L.; Wang, K.; Zhang, W.; Ning, Y.; Shi, Y.; Wang, X.; Yang, F. Tunable Terahertz Metamaterials Based on Anapole Excitation with Graphene for Reconfigurable Sensors. ACS Appl. Nano Mater. 2020, 3, 2129–2133. [Google Scholar] [CrossRef]
- Luk’Yanchuk, B.; Zheludev, N.I.; Maier, S.A.; Halas, N.J.; Nordlander, P.; Giessen, H.; Chong, C.T. The Fano Resonance in Plasmonic Nanostructures and Metamaterials. Nat. Mater. 2010, 9, 707–715. [Google Scholar] [CrossRef]








Publisher’s Note: MDPI stays neutral with regard to jurisdictional claims in published maps and institutional affiliations. |
© 2022 by the authors. Licensee MDPI, Basel, Switzerland. This article is an open access article distributed under the terms and conditions of the Creative Commons Attribution (CC BY) license (https://creativecommons.org/licenses/by/4.0/).
Share and Cite
Xiang, T.; Lei, T.; Chen, T.; Shen, Z.; Zhang, J. Low-Loss Dual-Band Transparency Metamaterial with Toroidal Dipole. Materials 2022, 15, 5013. https://doi.org/10.3390/ma15145013
Xiang T, Lei T, Chen T, Shen Z, Zhang J. Low-Loss Dual-Band Transparency Metamaterial with Toroidal Dipole. Materials. 2022; 15(14):5013. https://doi.org/10.3390/ma15145013
Chicago/Turabian StyleXiang, Tianyu, Tao Lei, Ting Chen, Zhaoyang Shen, and Jing Zhang. 2022. "Low-Loss Dual-Band Transparency Metamaterial with Toroidal Dipole" Materials 15, no. 14: 5013. https://doi.org/10.3390/ma15145013
APA StyleXiang, T., Lei, T., Chen, T., Shen, Z., & Zhang, J. (2022). Low-Loss Dual-Band Transparency Metamaterial with Toroidal Dipole. Materials, 15(14), 5013. https://doi.org/10.3390/ma15145013
