Efficient Activation of Peroxymonosulfate by Cobalt Supported Used Resin Based Carbon Ball Catalyst for the Degradation of Ibuprofen
Abstract
:1. Introduction
2. Materials and Methods
2.1. Materials and Instruments
2.2. Material Preparation
2.3. Analysis Method
3. Results and Discussion
3.1. Material Characterization
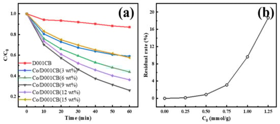
3.2. Material Catalytic Activity
3.3. Mechanism Exploration
4. Conclusions
Supplementary Materials
Author Contributions
Funding
Conflicts of Interest
References
- Jiang, L.P.; Wei, Z.Y.; Ding, Y.H.; Ma, Y.H.; Fu, X.; Sun, J.; Ma, M.; Zhu, W.X.; Wang, J.L. In-situ synthesis of self-standing cobalt-doped nickel sulfide nanoarray as a recyclable and integrated catalyst for peroxymonosulfate activation. Appl. Catal. B Enviton. 2022, 307, 121184. [Google Scholar] [CrossRef]
- Kleemiss, F.; Justies, A.; Duvinage, D.; Watermann, P.; Ehrke, E.; Sugimoto, K.; Fugel, M. Sila-Ibuprofen. J. Med. Chem. 2020, 63, 12614–12622. [Google Scholar] [CrossRef] [PubMed]
- Zhang, Y.; Yang, T.S.; Li, R.; Cao, X.Q.; Kan, Y.J.; Wei, B.; Sun, X.J. Efficient degradation of ibuprofen by Co/Fe@CNFs catalyst in the presence of peroxymonosulfate and persulfate: Characterization, performance, and mechanism comparison. J. Taiwan Inst. Chem. Eng. 2022, 131, 104161. [Google Scholar] [CrossRef]
- Zheng, X.X.; Niu, X.J.; Zhang, D.Q.; Lv, M.Y.; Ye, X.Y.; Ma, J.L.; Lin, Z.; Fu, M.L. Metal-based catalysts for persulfate and peroxymonosulfate activation in heterogeneous ways: A review. Chem. Eng. J. 2022, 429, 132323. [Google Scholar] [CrossRef]
- Wang, Y.; Pan, T.; Yu, Y.F.; Wu, Y.; Pan, Y.H.; Yang, X. A novel peroxymonosulfate (PMS)-enhanced iron coagulation process for simultaneous removal of trace organic pollutants in water. Water Res. 2020, 185, 116136. [Google Scholar] [CrossRef]
- Ma, M.F.; Chen, L.; Zhao, J.Z.; Liu, W.; Ji, H.D. Efficient activation of peroxymonosulfate by hollow cobalt hydroxide for degradation of ibuprofen and theoretical study. Chin. Chem. Lett. 2019, 30, 2191–2195. [Google Scholar] [CrossRef]
- Zeng, H.; Deng, L.; Zhang, H.; Zhou, C.; Shi, Z. Development of oxygen vacancies enriched CoAl hydroxide@hydroxysulfide hollow flowers for peroxymonosulfate activation: A highly efficient singlet oxygen-dominated oxidation process for sulfamethoxazole degradation. J. Hazard. Mater. 2020, 400, 123297. [Google Scholar] [CrossRef]
- Xiong, P.; Zhang, H.; Li, G.; Liao, C.; Jiang, G. Adsorption removal of ibuprofen and naproxen from aqueous solution with Cu-doped Mil-101(Fe). Sci. Total Environ. 2021, 797, 149179. [Google Scholar] [CrossRef]
- Wang, Y.; Hu, Y.; Xu, J.; Luo, G.; Dai, Y. Immobilization of lipase with a special microstructure in composite hydrophilic CA/hydrophobic PTFE membrane for the chiral separation of racemic ibuprofen. J. Membr. Sci. 2007, 293, 133–141. [Google Scholar] [CrossRef]
- Brillas, E. A critical review on ibuprofen removal from synthetic waters, natural waters, and real wastewaters by advanced oxidation processes. Chemosphere 2022, 286, 131849. [Google Scholar] [CrossRef]
- Gong, H.; Chu, W.; Huang, Y.; Xu, L.; Chen, M.; Yan, M. Solar photocatalytic degradation of ibuprofen with a magnetic catalyst: Effects of parameters, efficiency in effluent, mechanism and toxicity evolution. Environ. Pollut. 2021, 276, 116691. [Google Scholar] [CrossRef] [PubMed]
- Sruthi, L.; Janani, B.; Sudheer, K.S. Ibuprofen removal from aqueous solution via light-harvesting photocatalysis by nano-heterojunctions: A review. Sep. Purif. Technol. 2021, 279, 119709. [Google Scholar] [CrossRef]
- Wang, Z.; Srivastava, V.; Ambat, I.; Safaei, Z.; Sillanpää, M. Degradation of Ibuprofen by UV-LED/catalytic advanced oxidation process. J. Water Process. Eng. 2019, 31, 100808. [Google Scholar] [CrossRef]
- Huang, Y.; Liang, M.; Ma, L.; Wang, Y.; Zhang, D.; Li, L. Ozonation catalysed by ferrosilicon for the degradation of ibuprofen in water. Environ. Pollut. 2021, 268, 115722. [Google Scholar] [CrossRef]
- Huang, K.H.A.; Miessner, H.; Mueller, S.; Kalass, D.; Moeller, D.; Khorshid, I.; Rashid, M.A.M. Degradation of pharmaceutical diclofenac and ibuprofen in aqueous solution, a direct comparison of ozonation, photocatalysis, and non-thermal plasma. Chem. Eng. J. 2017, 313, 1033–1041. [Google Scholar]
- Lee, Y.; Lee, S.; Cui, M.C.; Ren, Y.M.; Park, B.; Ma, J.J.; Han, Z.C.; Khim, J. Activation of peroxodisulfate and peroxymonosulfate by ultrasound with different frequencies: Impact on ibuprofen removal efficient, cost estimation and energy analysis. Chem. Eng. J. 2021, 413, 127487. [Google Scholar] [CrossRef]
- Wu, X.; Sun, D.D.; Ma, H.C.; Ma, C.; Zhang, X.X.; Hao, J. Activation of peroxymonosulfate by magnetic CuFe2O4@ZIF-67 composite catalyst for the study on the degradation of methylene blue. Colloids Surf. A Physicochem. Eng. Asp. 2022, 637, 128278. [Google Scholar] [CrossRef]
- Xu, H.D.; Jiang, N.; Wang, D.; Wang, L.H.; Song, Y.F.; Chen, Z.Q.; Ma, J.; Zhang, T. Improving PMS oxidation of organic pollutants by single cobalt atom catalyst through hybrid radical and non-radical pathways. Appl. Catal. B Environ. 2020, 263, 118350. [Google Scholar] [CrossRef]
- Song, H.R.; Yan, L.X.; Wang, Y.W.; Jiang, J.; Ma, J.; Li, C.P.; Wang, G.; Gu, J.; Liu, P. Electrochemically activated PMS and PDS: Radical oxidation versus nonradical oxidation. Chem. Eng. J. 2020, 391, 123560. [Google Scholar] [CrossRef]
- Naderi, M.; Darvishi, C.S.R. Hybrid of ZnFe layered double hydroxide/nano-scale carbon for activation of peroxymonosulfate to decompose ibuprofen: Thermodynamic and reaction pathways investigation. Environ. Technol. Innov. 2021, 24, 101951. [Google Scholar] [CrossRef]
- Cui, X.W.; Zhang, S.S.; Geng, Y.; Zhen, J.Y.; Zhan, J.H.; Cao, C.B.; Ni, S.Q. Synergistic catalysis by Fe3O4-biochar/peroxymonosulfate system for the removal of bisphenol A. Sep. Purif. Technol. 2021, 276, 119351. [Google Scholar] [CrossRef]
- Peng, Y.T.; Tang, H.M.; Yao, B.; Gao, X.; Yang, X.; Zhou, Y.Y. Activation of peroxymonosulfate (PMS) by spinel ferrite and their composites in degradation of organic pollutants: A Review. Chem. Eng. J. 2021, 414, 128800. [Google Scholar] [CrossRef]
- Wang, Z.M.; Wang, Z.H.; Li, W.; Lan, Y.Q.; Chen, C. Performance comparison and mechanism investigation of Co3O4-modified different crystallographic MnO2 (α, β, γ, and δ) as an activator of peroxymonosulfate (PMS) for sulfisoxazole degradation. Chem. Eng. J. 2022, 427, 130888. [Google Scholar] [CrossRef]
- Wu, C.H.; Yun, W.C.; Wi-Afedzi, T.; Lin, K.Y.A. ZIF-67 supported on marcoscale resin as an efficient and convenient heterogeneous catalyst for Oxone activation. J. Colloid Interf. Sci. 2018, 514, 262–271. [Google Scholar] [CrossRef]
- Zhu, M.P.; Yang, J.C.E.; Duan, X.G.; Wang, S.B.; Sun, D.D.; Yuan, B.L.; Fu, M.L. Engineered Co2AlO4/CoAl2O4@Al2O3 monolithic catalysts for peroxymonosulfate activation: Co3+/Co2+ and ODefect/OLattice ratios dependence and mechanism. Chem. Eng. J. 2021, 409, 128162. [Google Scholar] [CrossRef]
- Yu, Y.; Li, N.; Wang, C.B.; Cheng, Z.J.; Yan, B.B.; Chen, G.Y.; Hou, L.; Wang, S.B. Iron cobalt and nitrogen co-doped carbonized wood sponge for peroxymonosulfate activation: Performance and internal temperature-dependent mechanism. J. Colloid Interf. Sci. 2022, 61, 267–279. [Google Scholar] [CrossRef] [PubMed]
- Wang, L.L.; Guo, X.; Chen, Y.Y.; Ai, S.S.; Ding, H.M. Cobalt-doped g-C3N4 as a heterogeneous catalyst for photo-assisted activation of peroxymonosulfate for the degradation of organic contaminants. Appl. Surf. Sci. 2019, 467, 954–962. [Google Scholar] [CrossRef]
- Ding, Y.B.; Hu, Y.; Peng, X.Q.; Xiao, Y.W.; Huang, J. Micro-nano structured CoS: An efficient catalyst for peroxymonosulfate activation for removal of bisphenol A. Sep. Purif. Technol. 2020, 233, 116022. [Google Scholar] [CrossRef]
- Wang, S.Z.; Liu, H.Y.; Wang, J.L. Nitrogen, sulfur and oxygen co-doped carbon-armored Co/Co9S8 rods (Co/Co9S8@N-S-O-C) as efficient activator of peroxymonosulfate for sulfamethoxazole degradation. J. Hazard. Mater. 2020, 387, 121669. [Google Scholar] [CrossRef]
- Hou, K.J.; Pi, Z.J.; Chen, F.; He, L.; Yao, F.B.; Chen, S.J.; Li, X.M. Peroxymonosulfate (PMS) activation by mackinawite for the degradation of organic pollutants: Underappreciated role of dissolved sulfur derivatives. Sci. Total Environ. 2022, 811, 151421. [Google Scholar] [CrossRef]
- Han, X.L.; Zhang, W.; Li, S.; Cheng, C.Y.; Zhou, L.; Jia, Q.L.; Xiu, G.L. Efficient activation of peroxymonosulfate by MnS/Fe-MOF hybrid catalyst for sulfadiazine degradation: Synergistic effects and mechanism. Sep. Purif. Technol. 2022, 287, 120509. [Google Scholar] [CrossRef]
- Talha Aqueel Ahmed, A.; Ho Lee, C.; Saad Ansari, A.; Pawar, S.M.; Han, J.; Park, S.J.; Kim, H.; Im, H. Hybridized heterostructure of CoS and MoS2 nanoparticles for highly-efficient and robust bifunctional water electrolysis. Appl. Surf. Sci. 2022, 592, 153196. [Google Scholar] [CrossRef]
- Zhang, R.; Yu, J.R.; Zhang, T.Q.; Zhao, C.; Han, Q.; Li, Y.; Liu, Y.; Zeng, K.L.; Cai, L.; Yang, Z.; et al. A novel snowflake dual Z-scheme Cu2S/RGO/Bi2WO6 photocatalyst for the degradation of bisphenol A under visible light and its effect on crop growth. Colloids Surf. A Physicochem. Eng. Asp. 2022, 641, 128526. [Google Scholar] [CrossRef]
- Zhou, X.Q.; Luo, C.G.; Wang, J.; Wang, H.B.; Chen, Z.L.; Wang, S.L.; Chen, Z.Q. Recycling application of modified waste electrolytic manganese anode slag as efficient catalyst for PMS activation. Sci. Total Environ. 2021, 62, 143120. [Google Scholar] [CrossRef]
- Chung, W.Y.; Brahma, S.; Hou, S.C.; Chang, C.C.; Huang, J.L. Petroleum waste hydrocarbon resin as a carbon source modified on a Si composite as a superior anode material in lithium ion batteries. Mater. Chem. Phys. 2021, 259, 124011. [Google Scholar] [CrossRef]
- Wang, Q.F.; Qu, Z.T.; Chen, S.H.; Zhang, D.H. Metal organic framework derived P-doping CoS@C with sulfide defect to boost high-performance asymmetric supercapacitors. J. Colloid Interf. Sci. 2021, 624, 385–393. [Google Scholar] [CrossRef]
- Domga; Karnan, M.; Oladoyinbo, F.; Noumi, G.B.; Tchatchueng, J.B.; Sieliechi, M.J.; Marappan, S.; Pattanayak, D.K. A simple, economical one-pot microwave assisted synthesis of nitrogen and sulfur co-doped graphene for high energy supercapacitors. Electrochim. Acta 2020, 341, 135999. [Google Scholar] [CrossRef]
- Chen, P.; Gou, Y.J.; Ni, J.M.; Liang, Y.M.; Yang, B.Q.; Jia, F.F.; Song, S.X. Efficient Ofloxacin degradation with Co(II)-doped MoS2 nano-flowers as PMS activator under visible-light irradiation. Chem. Eng. J. 2020, 401, 125978. [Google Scholar] [CrossRef]
- Liu, X.X.; Wu, R.; Wang, Y.; Xiao, S.H.; He, Q.; Niu, X.B.; Blackwood, D.J.; Chen, J.S. Self-supported core/shell Co3O4@Ni3S2 nanowires for high-performance supercapacitors. Electrochim. Acta 2019, 311, 221–229. [Google Scholar] [CrossRef]
- Wei, J.; Jiang, C.; Chen, B.; Li, X.T. Hollow C/Co9S8 hybrid polyhedra-modified carbon nanofibers as sulfur hosts for promising Li–S batteries. Ceram. Int. 2021, 47, 25387–25397. [Google Scholar] [CrossRef]
- Arunpandian, M.; Selvakumar, K.; Raja, A.; Rajasekaran, P.; Ramalingan, C.; Nagarajan, E.R.; Pandikumar, A.; Arunachalam, S. Rational design of novel ternary Sm2WO6/ZnO/GO nanocomposites: An affordable photocatalyst for the mitigation of carcinogenic organic pollutants. Colloid Surf. A 2020, 59, 124721. [Google Scholar]
- Huang, H.; Yang, G.F.; Yu, J.G.; Zhang, J.; Xia, Y.; Wang, K.; Liang, C.; Gan, Y.P.; He, X.P.; Zhang, W.K. One-pot synthesis of nanocrystalline SnS@tremella-like porous carbon by supercritical CO2 method for excellent sodium storage performance. Electrochim. Acta 2021, 373, 137933. [Google Scholar] [CrossRef]
- Jiang, J.B.; Zhu, L.Y.; Sun, Y.X.; Chen, Y.K.; Chen, H.T.; Han, S.; Lin, H.L. Fe2O3 nanocatalysts on N-doped carbon nanomaterial for highly efficient electrochemical hydrogen evolution in alkaline. J. Power Sources 2019, 426, 74–83. [Google Scholar] [CrossRef]
- Ren, X.; Du, Y.Y.; Song, M.Y.; Zhou, Y.H.; Chen, Y.J.; Ma, F.W.; Wan, J.F. In-situ transformation of Ni foam into sandwich nanostructured Co1.29Ni1.71O4 nanoparticle@CoNi2S4 nanosheet networks for high-performance asymmetric supercapacitors. Chem. Eng. J. 2019, 375, 122063. [Google Scholar] [CrossRef]
- Zhang, X.L.; Wang, J.M.; Ji, X.; Sui, Y.W.; Wei, F.X.; Qi, J.Q.; Meng, Q.K.; Ren, Y.J.; He, Y.Z. Nickel/cobalt bimetallic metal-organic frameworks ultrathin nanosheets with enhanced performance for supercapacitors. J. Alloys Compd. 2020, 825, 154069. [Google Scholar] [CrossRef]
- Chen, X.; Li, Y.; Li, C.; Cao, H.L.; Wang, C.Z.; Cheng, S.Y.; Zhang, Q. A Novel Strategy of Multi-element Nanocomposite Synthesis for High Performance ZnO-CoSe2 Supercapacitor Material Development. Chin. J. Chem. 2021, 39, 2441–2450. [Google Scholar] [CrossRef]
- Qiu, W.D.; Xiao, H.B.; Yu, M.H.; Li, Y.; Lu, X.H. Surface modulation of NiCo2O4 nanowire arrays with significantly enhanced reactivity for ultrahigh-energy supercapacitors. Chem. Eng. J. 2018, 325, 996–1003. [Google Scholar] [CrossRef]
- Ren, Z.F.; Romar, H.; Varila, T.; Xu, X.; Wang, Z.; Sillanpää, M.; Leiviska, T. Ibuprofen degradation using a Co-doped carbon matrix derived from peat as a peroxymonosulphate activator. Environ. Res. 2021, 193, 110564. [Google Scholar] [CrossRef]
- Wang, S.Z.; Wang, J.L. Synergistic effect of PMS activation by FeO@Fe3O4 anchored on N, S, O co-doped carbon composite for degradation of sulfamethoxazole. Chem. Eng. J. 2022, 427, 131960. [Google Scholar] [CrossRef]
- Li, M.K.; Zhong, H.; He, Z.H.; Hu, L.; Sun, W.; Loganathan, P.; Xiong, D.L. Degradation of various thiol collectors in simulated and real mineral processing wastewater of sulfide ore in heterogeneous modified manganese slag/PMS system. Chem. Eng. J. 2020, 413, 127478. [Google Scholar] [CrossRef]
- Zhang, G.L.; Ding, Y.B.; Nie, W.S.; Tang, H.Q. Efficient degradation of drug ibuprofen through catalytic activation of peroxymonosulfate by Fe3C embedded on carbon. J. Environ. Sci. 2019, 78, 1–12. [Google Scholar] [CrossRef] [PubMed]









| Sample | Surface Area (m2/g) | Total Pore Volume (cm3/g) | Average Pore Diameter (nm) |
|---|---|---|---|
| New D001 carbon ball | 97.6269 | 0.057726 | 2.36517 |
| Used D001 carbon ball | 67.4460 | 0.046196 | 2.73971 |
| Co/Used D001 carbon ball (9 wt%) | 31.5425 | 0.021546 | 2.73233 |
| Co/Used D001 carbon ball (15 wt%) | 19.3434 | 0.014859 | 2.78263 |
Publisher’s Note: MDPI stays neutral with regard to jurisdictional claims in published maps and institutional affiliations. |
© 2022 by the authors. Licensee MDPI, Basel, Switzerland. This article is an open access article distributed under the terms and conditions of the Creative Commons Attribution (CC BY) license (https://creativecommons.org/licenses/by/4.0/).
Share and Cite
Zhou, G.; Xu, Y.; Zhang, X.; Sun, Y.; Wang, C.; Yu, P. Efficient Activation of Peroxymonosulfate by Cobalt Supported Used Resin Based Carbon Ball Catalyst for the Degradation of Ibuprofen. Materials 2022, 15, 5003. https://doi.org/10.3390/ma15145003
Zhou G, Xu Y, Zhang X, Sun Y, Wang C, Yu P. Efficient Activation of Peroxymonosulfate by Cobalt Supported Used Resin Based Carbon Ball Catalyst for the Degradation of Ibuprofen. Materials. 2022; 15(14):5003. https://doi.org/10.3390/ma15145003
Chicago/Turabian StyleZhou, Guangzhen, Yanhua Xu, Xiao Zhang, Yongjun Sun, Cheng Wang, and Peng Yu. 2022. "Efficient Activation of Peroxymonosulfate by Cobalt Supported Used Resin Based Carbon Ball Catalyst for the Degradation of Ibuprofen" Materials 15, no. 14: 5003. https://doi.org/10.3390/ma15145003
APA StyleZhou, G., Xu, Y., Zhang, X., Sun, Y., Wang, C., & Yu, P. (2022). Efficient Activation of Peroxymonosulfate by Cobalt Supported Used Resin Based Carbon Ball Catalyst for the Degradation of Ibuprofen. Materials, 15(14), 5003. https://doi.org/10.3390/ma15145003

