Complex Dielectric Permittivity Spectra of Rapeseed in the 20 MHz–3 GHz Frequency Range
Abstract
1. Introduction
2. Materials and Methods
2.1. Preparation of the Material under Test
2.2. Dielectric Spectra Measurement
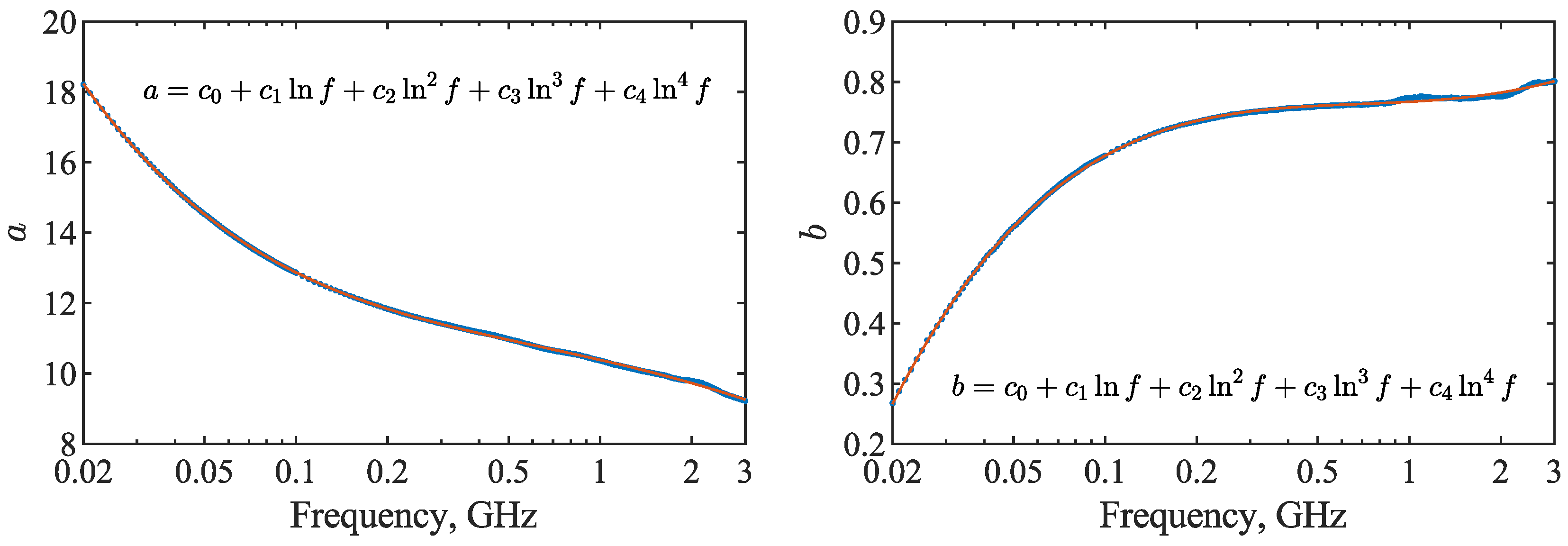
2.3. Dielectric Spectra Modeling and Analysis
- Linear function:
- Quadratic function:
- Segmented model consisting of two linear segments (introduced in [24]):where is the common point, in which both segments connect.
3. Results and Discussion
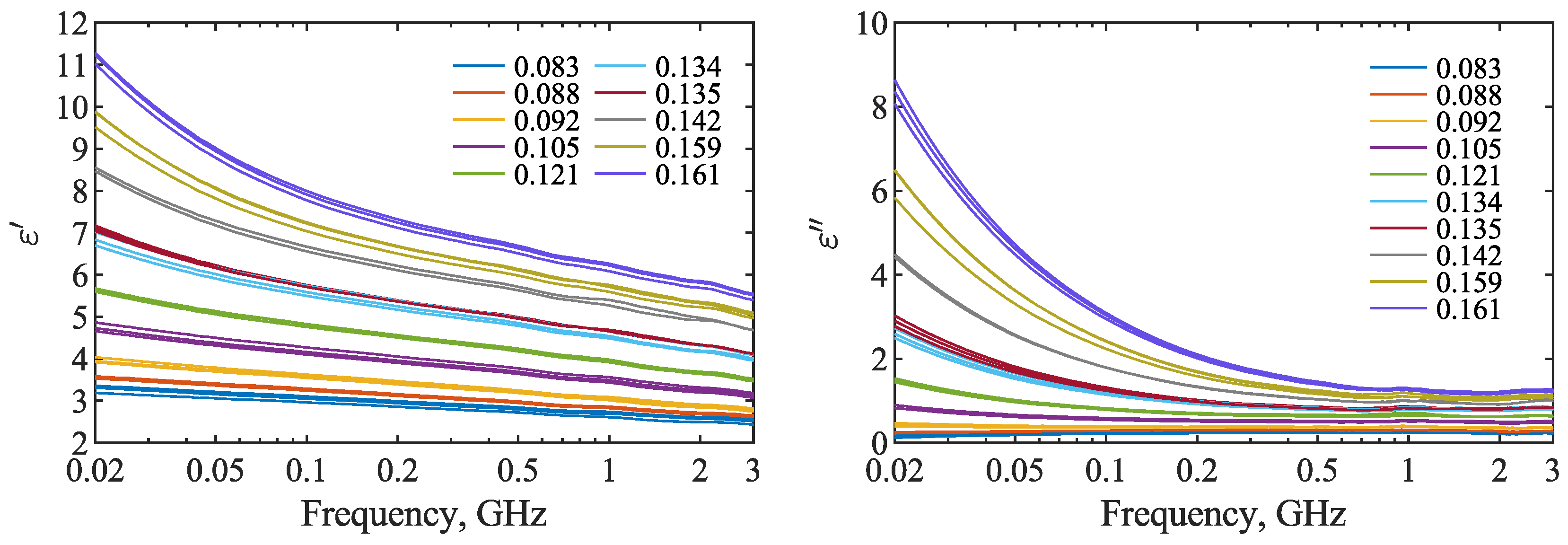
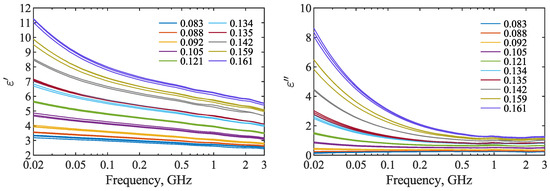
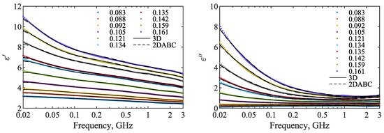
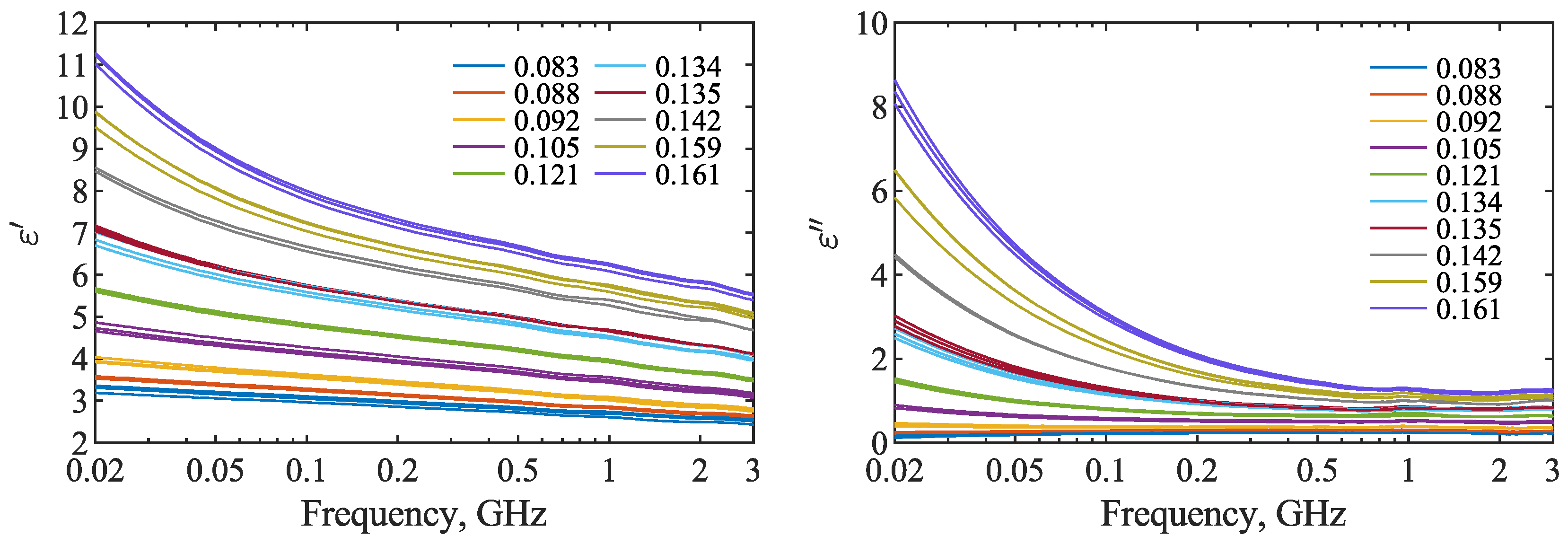
3.1. Dielectric Spectra
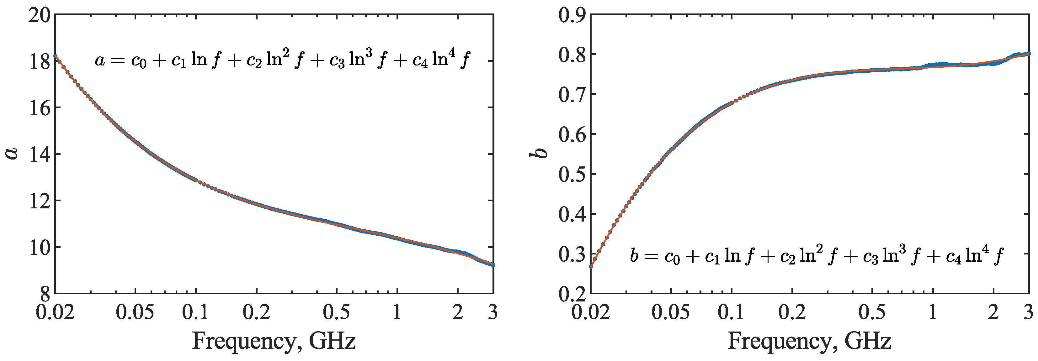
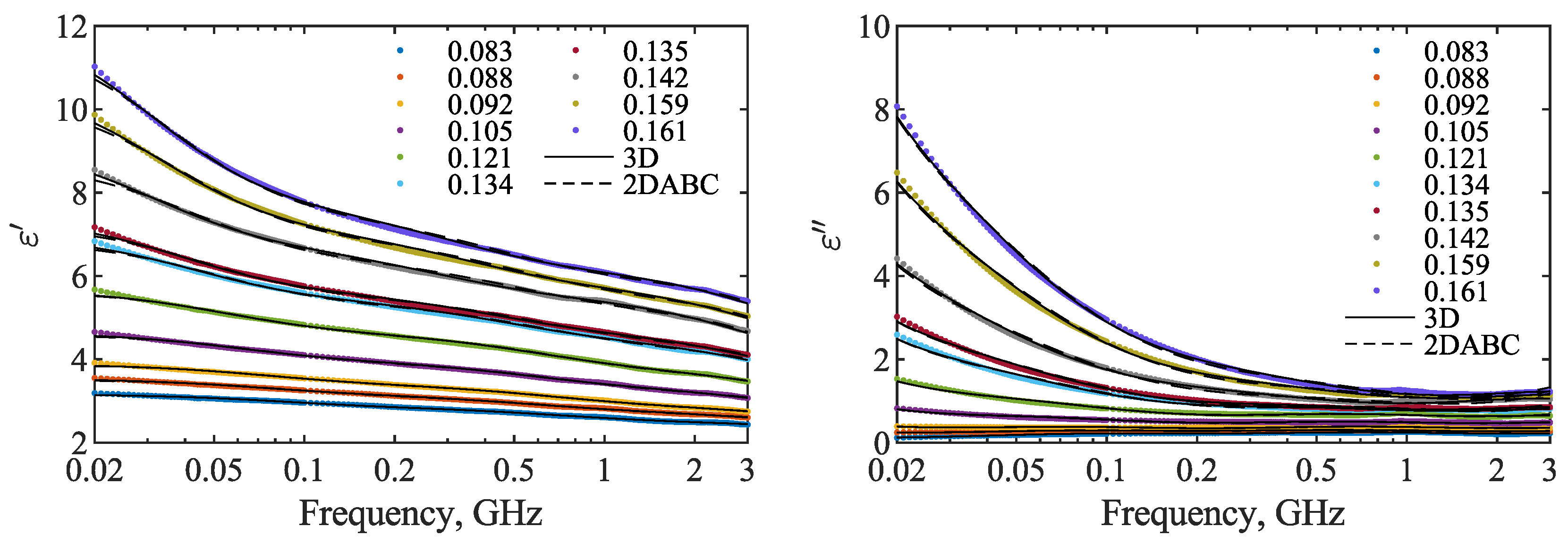
3.2. Dielectric Modeling and Analysis
4. Conclusions
Author Contributions
Funding
Institutional Review Board Statement
Informed Consent Statement
Data Availability Statement
Conflicts of Interest
References
- Feldman, Y.; Ermolina, I.; Hayashi, Y. Time domain dielectric spectroscopy study of biological systems. IEEE Trans. Dielectr. Electr. Insul. 2003, 10, 728–753. [Google Scholar] [CrossRef]
- Miura, N.; Yagihara, S.; Mashimo, S. Microwave Dielectric Properties of Solid and Liquid Foods Investigated by Time-domain Reflectometry. J. Food Sci. 2003, 68, 1396–1403. [Google Scholar] [CrossRef]
- Sosa-Morales, M.; Valerio-Junco, L.; López-Malo, A.; García, H. Dielectric properties of foods: Reported data in the 21st Century and their potential applications. LWT—Food Sci. Technol. 2010, 43, 1169–1179. [Google Scholar] [CrossRef]
- Jha, S.N.; Narsaiah, K.; Basediya, A.L.; Sharma, R.; Jaiswal, P.; Kumar, R.; Bhardwaj, R. Measurement techniques and application of electrical properties for nondestructive quality evaluation of foods—A review. J. Food Sci. Technol. 2011, 48, 387–411. [Google Scholar] [CrossRef]
- Trabelsi, S.; Nelson, S.O. Microwave sensing of quality attributes of agricultural and food products. IEEE Instrum. Meas. Mag. 2016, 19, 36–41. [Google Scholar] [CrossRef]
- Zając, T.; Klimek-Kopyra, A.; Oleksy, A.; Lorenc-Kozik, A.; Ratajczak, K. Analysis of yield and plant traits of oilseedrape (Brassica napus L.) cultivated intemperate region in light of the possibilitiesof sowing in arid areas. Acta Agrobot. 2016, 69, 1696. [Google Scholar] [CrossRef]
- Nosenko, T.; Kot, T.; Kichshenko, V. Rape Seeds as a Source of Feed and Food Proteins. Pol. J. Food Nutr. Sci. 2014, 64, 109–114. [Google Scholar] [CrossRef][Green Version]
- Vuorela, S.; Meyer, A.S.; Heinonen, M. Impact of Isolation Method on the Antioxidant Activity of Rapeseed Meal Phenolics. J. Agric. Food Chem. 2004, 52, 8202–8207. [Google Scholar] [CrossRef]
- Xu, B.; Wei, B.; Ren, X.; Liu, Y.; Jiang, H.; Zhou, C.; Ma, H.; Chalamaiah, M.; Liang, Q.; Wang, Z. Dielectric Pretreatment of Rapeseed 1: Influence on the Drying Characteristics of the Seeds and Physico-chemical Properties of Cold-Pressed Oil. Food Bioprocess Technol. 2018, 11, 1236–1247. [Google Scholar] [CrossRef]
- Niu, Y.; Rogiewicz, A.; Wan, C.; Guo, M.; Huang, F.; Slominski, B.A. Effect of Microwave Treatment on the Efficacy of Expeller Pressing of Brassica napus Rapeseed and Brassica juncea Mustard Seeds. J. Agric. Food Chem. 2015, 63, 3078–3084. [Google Scholar] [CrossRef]
- Bansal, A.K.; Singh, P.J.; Sharma, K.S. Microwave dielectric measurements in different varieties of rapeseed-mustard seeds in powder form. In. J. Pure Appl. Phys. 2001, 39, 799–803. [Google Scholar]
- Gawrysiak-Witulska, M.; Rudzińska, M.; Wawrzyniak, J.; Siger, A. The Effect of Temperature and Moisture Content of Stored Rapeseed on the Phytosterol Degradation Rate. J. Am. Oil Chem. Soc. 2012, 89, 1673–1679. [Google Scholar] [CrossRef] [PubMed]
- Nelson, S.O.; Trabelsi, S. Measurement of grain and seed moisture and density through permittivity relationships. In Proceedings of the 2010 IEEE Instrumentation & Measurement Technology Conference Proceedings, Austin, TX, USA, 3–6 May 2010. [Google Scholar] [CrossRef]
- Boguta, A.; Majcher, J. The Method of Determining Seed Moisture Based on the Signal Generated by the Piezoelectric Plate. Przegląd Elektrotechniczny 2021, 1, 127–129. [Google Scholar] [CrossRef]
- Jones, S.B.; Sheng, W.; Or, D. Dielectric Measurement of Agricultural Grain Moisture—Theory and Applications. Sensors 2022, 22, 2083. [Google Scholar] [CrossRef] [PubMed]
- Bansal, N.; Dhaliwal, A.S.; Mann, K.S. Dielectric characterization of rapeseed (Brassica napus L.) from 10 to 3000 MHz. Biosyst. Eng. 2016, 143, 1–8. [Google Scholar] [CrossRef]
- Bansal, A.K.; Singh, P.J.; Sharma, K.S.; Kumar, S.; Kumar, P.R. Dielectric properties of different varieties of rapeseed-mustard oil at different temperatures. Indian J. Pure Appl. Phys. 2001, 39, 532–540. [Google Scholar]
- Ulrych, J.; Mentlik, V. Dielectric properties of sunflower, rapeseed and commonly used mineral oil. In Proceedings of the 2016 17th International Scientific Conference on Electric Power Engineering (EPE), Prague, Czech Republic, 16–18 May 2016. [Google Scholar] [CrossRef]
- Yu, D.U.; Shrestha, B.L.; Baik, O.D. Radio Frequency Dielectric Properties of Bulk Canola Seeds under Different Temperatures, Moisture Contents, and Frequencies for Feasibility of Radio Frequency Disinfestation. Int. J. Food Prop. 2015, 18, 2746–2763. [Google Scholar] [CrossRef]
- Lewandowski, A.; Szypłowska, A.; Wilczek, A.; Kafarski, M.; Szerement, J.; Skierucha, W. One-Port Vector Network Analyzer Characterization of Soil Dielectric Spectrum. IEEE Trans. Geosci. Remote Sens. 2019, 57, 3661–3676. [Google Scholar] [CrossRef]
- Vaz, C.M.; Jones, S.; Meding, M.; Tuller, M. Evaluation of Standard Calibration Functions for Eight Electromagnetic Soil Moisture Sensors. Vadose Zone J. 2013, 12, 1–16. [Google Scholar] [CrossRef]
- Szypłowska, A.; Lewandowski, A.; Jones, S.B.; Sabouroux, P.; Szerement, J.; Kafarski, M.; Wilczek, A.; Skierucha, W. Impact of soil salinity, texture and measurement frequency on the relations between soil moisture and 20 MHz–3 GHz dielectric permittivity spectrum for soils of medium texture. J. Hydrol. 2019, 579, 124155. [Google Scholar] [CrossRef]
- MATLAB. 9.6.0.1114505 (R2019a) Update 2; The MathWorks Inc.: Natick, MA, USA, 2019. [Google Scholar]
- Szypłowska, A.; Lewandowski, A.; Yagihara, S.; Saito, H.; Furuhata, K.; Szerement, J.; Kafarski, M.; Wilczek, A.; Majcher, J.; Woszczyk, A.; et al. Dielectric models for moisture determination of soils with variable organic matter content. Geoderma 2021, 401, 115288. [Google Scholar] [CrossRef]
- MATLAB Fitlm Function; The MathWorks Inc.: Natick, MA, USA; Available online: https://www.mathworks.com/help/stats/fitlm.html (accessed on 5 July 2022).
- Boguta, A.; Majcher, J. Using the physical parameters of rape seeds to assess germination force. In Proceedings of the 2017 International Conference on Electromagnetic Devices and Processes in Environment Protection with Seminar Applications of Superconductors (ELMECO & AoS), Naleczow, Poland, 3–6 December 2017. [Google Scholar] [CrossRef]





| f, GHz | a | b | R2 | RMSE |
|---|---|---|---|---|
| 0.02 | 18.2 | 0.268 | 0.9788 | 0.076 |
| 0.05 | 14.5 | 0.560 | 0.9852 | 0.051 |
| 0.10 | 12.9 | 0.678 | 0.9876 | 0.041 |
| 0.20 | 11.8 | 0.734 | 0.9885 | 0.036 |
| 0.50 | 11.0 | 0.760 | 0.9886 | 0.034 |
| 1.00 | 10.4 | 0.773 | 0.9864 | 0.035 |
| 2.00 | 9.79 | 0.776 | 0.9846 | 0.035 |
| 3.00 | 9.22 | 0.801 | 0.9827 | 0.035 |
| Parameter | Coefficient | Estimate | t-Statistic | p-Value | |
|---|---|---|---|---|---|
| a | 10.3864 | 0.0022 | 4715.20 | 0 | |
| −0.8566 | 0.0032 | −263.795 | 0 | ||
| −0.0969 | 0.0029 | −33.5964 | 2 | ||
| −0.0616 | 0.0025 | −24.9570 | 2.6 | ||
| 0.0098 | 0.0005 | 20.4419 | 2.1 | ||
| b | 0.7671 | 0.0002 | 3487.80 | 0 | |
| 0.0121 | 0.0003 | 37.4090 | 5 | ||
| 0.0094 | 0.0003 | 32.4952 | 9 | ||
| 0.0079 | 0.0002 | 31.8873 | 4 | ||
| −5.4 | 5 | −11.2541 | 4.3 |
| Parameter | Model | Linear Function (Equation (8)) | Quadratic Function (Equation (9)) | |||||||
|---|---|---|---|---|---|---|---|---|---|---|
| 3D | — | — | — | — | 864.5 | −160.8 | 7.87 | 0.9730 | 0.26 | |
| 2D-ABC | — | — | — | — | 809.8 | −150.8 | 7.43 | 0.9726 | 0.24 | |
| 3D | 12.99 | −0.74 | 0.9742 | 0.06 | — | — | — | — | — | |
| 2D-ABC | 13.40 | -0.74 | 0.9829 | 0.05 | — | — | — | — | — | |
| 3D | 21.94 | −1.50 | 0.9802 | 0.09 | — | — | — | — | — | |
| 2D-ABC | 22.30 | −1.51 | 0.9764 | 0.10 | — | — | — | — | — | |
| 3D | 21.13 | 0.41 | 0.9428 | 0.15 | 162.7 | −18.44 | 2.69 | 0.9680 | 0.11 | |
| 2D-ABC | 18.44 | 0.54 | 0.9256 | 0.15 | 166.1 | −21.95 | 2.87 | 0.9595 | 0.11 | |
| , GHz | 3D | −0.5013 | 0.1087 | 0.8336 | 0.0064 | 2.285 | −1.057 | 0.1407 | 0.8414 | 0.0064 |
| 2D-ABC | −0.6296 | 0.1342 | 0.9654 | 0.0034 | 2.662 | −1.277 | 0.1715 | 0.9732 | 0.0031 | |
| , GHz | 3D | −2.751 | 0.785 | 0.4861 | 0.081 | −29.14 | 4.334 | 0.376 | 0.5107 | 0.080 |
| 2D-ABC | −3.059 | 0.991 | 0.8260 | 0.040 | −42.24 | 7.211 | 0.399 | 0.8972 | 0.031 | |
| , GHz | 3D | −6.39 | 4.95 | 0.0358 | 0.95 | — | — | — | — | — |
| 2D-ABC | −17.72 | 9.04 | 0.3925 | 0.63 | — | — | — | — | — | |
| , mS | 3D | — | — | — | — | 1178 | −216.4 | 10.07 | 0.9678 | 0.40 |
| 2D-ABC | — | — | — | — | 1207 | −220.5 | 10.23 | 0.9689 | 0.40 | |
| Parameter | Dielectric Model | ||||||
|---|---|---|---|---|---|---|---|
| 3D | 19.57 | 100.28 | −1.31 | 0.129 | 0.9776 | 0.24 | |
| 2D-ABC | 18.81 | 94.48 | −1.22 | 0.130 | 0.9780 | 0.22 | |
| , mS | 3D | 29.09 | 139.02 | −2.41 | 0.129 | 0.9717 | 0.38 |
| 2D-ABC | 29.96 | 142.65 | −2.46 | 0.128 | 0.9724 | 0.39 |
Publisher’s Note: MDPI stays neutral with regard to jurisdictional claims in published maps and institutional affiliations. |
© 2022 by the authors. Licensee MDPI, Basel, Switzerland. This article is an open access article distributed under the terms and conditions of the Creative Commons Attribution (CC BY) license (https://creativecommons.org/licenses/by/4.0/).
Share and Cite
Kafarski, M.; Szypłowska, A.; Majcher, J.; Wilczek, A.; Lewandowski, A.; Hlaváčová, Z.; Skierucha, W. Complex Dielectric Permittivity Spectra of Rapeseed in the 20 MHz–3 GHz Frequency Range. Materials 2022, 15, 4844. https://doi.org/10.3390/ma15144844
Kafarski M, Szypłowska A, Majcher J, Wilczek A, Lewandowski A, Hlaváčová Z, Skierucha W. Complex Dielectric Permittivity Spectra of Rapeseed in the 20 MHz–3 GHz Frequency Range. Materials. 2022; 15(14):4844. https://doi.org/10.3390/ma15144844
Chicago/Turabian StyleKafarski, Marcin, Agnieszka Szypłowska, Jacek Majcher, Andrzej Wilczek, Arkadiusz Lewandowski, Zuzana Hlaváčová, and Wojciech Skierucha. 2022. "Complex Dielectric Permittivity Spectra of Rapeseed in the 20 MHz–3 GHz Frequency Range" Materials 15, no. 14: 4844. https://doi.org/10.3390/ma15144844
APA StyleKafarski, M., Szypłowska, A., Majcher, J., Wilczek, A., Lewandowski, A., Hlaváčová, Z., & Skierucha, W. (2022). Complex Dielectric Permittivity Spectra of Rapeseed in the 20 MHz–3 GHz Frequency Range. Materials, 15(14), 4844. https://doi.org/10.3390/ma15144844

