Co-Precipitation Synthesis of Co3[Fe(CN)6]2·10H2O@rGO Anode Electrode for Lithium-Ion Batteries
Abstract
:1. Introduction
2. Materials and Methods
2.1. Synthesis of Co3[Fe(CN)6]2·10H2O
2.2. Preparation of Graphene Oxide (GO)
2.3. Preparation of Co-Fe-PBA@rGO
2.4. Electrochemical Measurements
2.5. Material Characterization
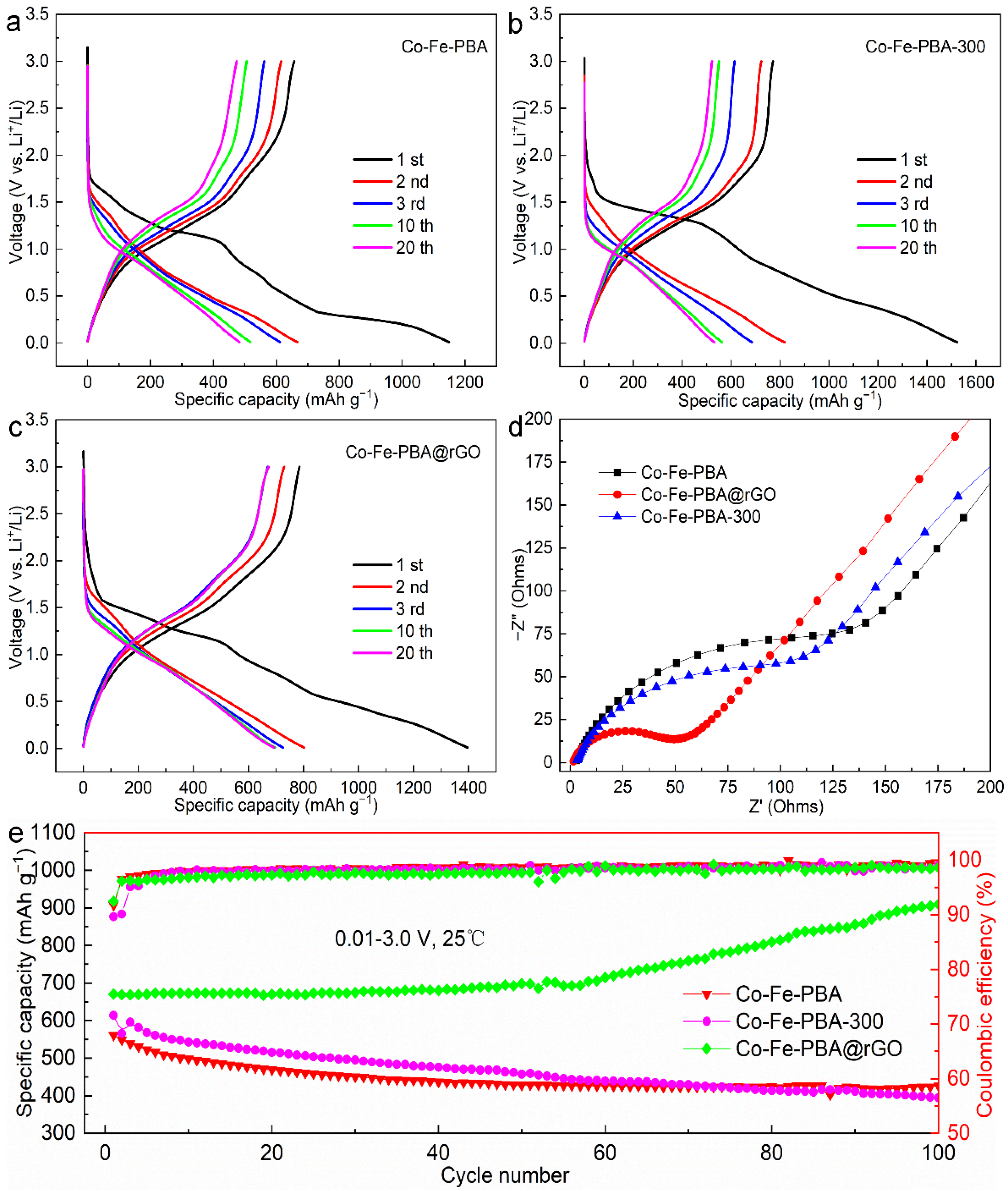
3. Results
4. Conclusions
Supplementary Materials
Author Contributions
Funding
Institutional Review Board Statement
Informed Consent Statement
Data Availability Statement
Conflicts of Interest
References
- Gao, X.; Zheng, Y.; Chang, J.; Xu, H.; Hui, Z.; Dai, H.; Wang, H.; Xia, Z.; Zhou, J.; Sun, G. Universal Strategy for Preparing Highly Stable PBA/Ti3C2Tx MXene toward Lithium-Ion Batteries via Chemical Transformation. ACS Appl. Mater. Interfaces 2022, 14, 15298–15306. [Google Scholar] [CrossRef] [PubMed]
- Miller, J.R.; Simon, P. Materials science. Electrochemical capacitors for energy management. Science 2008, 321, 651–652. [Google Scholar] [CrossRef] [PubMed] [Green Version]
- Zhao, L.; Bennett, J.C.; Obrovac, M.N. Hexagonal platelet graphite and its application in Li-ion batteries. Carbon 2018, 134, 507–518. [Google Scholar] [CrossRef]
- Li, Z.; Zhang, Y.; Liu, T.; Gao, X.; Li, S.; Ling, M.; Liang, C.; Zheng, J.; Lin, Z. Silicon Anode with High Initial Coulombic Efficiency by Modulated Trifunctional Binder for High-Areal-Capacity Lithium-Ion Batteries. Adv. Energy Mater. 2020, 10, 1903110. [Google Scholar] [CrossRef]
- Liu, X.Z.; Wang, Y.H.; Yang, Y.J.; Lv, W.; Lian, G.; Golberg, D.; Wang, X.; Zhao, X.; Ding, Y. A MoS2/Carbon hybrid anode for high-performance Li-ion batteries at low temperature. Nano Energy 2020, 70, 104550. [Google Scholar] [CrossRef]
- Wu, X.; Ru, Y.; Bai, Y.; Zhang, G.; Shi, Y.; Pang, H. PBA composites and their derivatives in energy and environmental applications. Coord. Chem. Rev. 2022, 451, 214260. [Google Scholar] [CrossRef]
- Hurlbutt, K.; Wheeler, S.; Capone, I.; Pasta, M. Prussian Blue Analogs as Battery Materials. Joule 2018, 2, 1950–1960. [Google Scholar] [CrossRef] [Green Version]
- Fan, L.; Guo, X.; Hang, X.; Pang, H. Synthesis of truncated octahedral zinc-doped manganese hexacyanoferrates and low-temperature calcination activation for lithium-ion battery. J. Colloid Interface Sci. 2022, 607, 1898–1907. [Google Scholar] [CrossRef]
- Wu, X.; Shao, M.; Wu, C.; Qian, J.; Cao, Y.; Ai, X.; Yang, H. Low Defect FeFe(CN)6 Framework as Stable Host Material for High Performance Li-Ion Batteries. ACS Appl. Mater. Interfaces 2016, 8, 23706–23712. [Google Scholar] [CrossRef]
- Xu, Y.F.; Du, Y.C.; Yi, Z.Y.; Zhang, Z.Z.; Lai, C.L.; Liao, J.Y.; Zhou, X.S. Coupling Co3[Co(CN)6]2 nanocubes with reduced graphene oxide for high-rate and long-cycle-life potassium storage. J. Energy Chem. 2021, 58, 593–601. [Google Scholar] [CrossRef]
- Deng, W.; Li, Z.; Ye, Y.; Zhou, Z.; Li, Y.; Zhang, M.; Yuan, X.; Hu, J.; Zhao, W.; Huang, Z.; et al. Zn2+ Induced Phase Transformation of K2MnFe(CN)6 Boosts Highly Stable Zinc-Ion Storage. Adv. Energy Mater. 2021, 11, 2003639. [Google Scholar] [CrossRef]
- Zeng, Y.X.; Lu, X.F.; Zhang, S.L.; Luan, D.Y.; Li, S.; Lou, X.W. Construction of Co-Mn Prussian Blue Analog Hollow Spheres for Efficient Aqueous Zn-ion Batteries. Angew. Chem.-Int. Ed. 2021, 60, 22189–22194. [Google Scholar] [CrossRef]
- Rashad, M.; Asif, M.; Wang, Y.; He, Z.; Ahmed, I. Recent advances in electrolytes and cathode materials for magnesium and hybrid-ion batteries. Energy Storage Mater. 2020, 25, 342–375. [Google Scholar] [CrossRef]
- Chae, M.S.; Hyoung, J.; Jang, M.; Lee, H.; Hong, S.-T. Potassium nickel hexacyanoferrate as a high-voltage cathode material for nonaqueous magnesium-ion batteries. J. Power Sources 2017, 363, 269–276. [Google Scholar] [CrossRef]
- Xie, X.; Ye, M.; Liu, C.; Hsu, P.-C.; Criddle, C.S.; Cui, Y. Use of low cost and easily regenerated Prussian Blue cathodes for efficient electrical energy recovery in a microbial battery. Energy Environ. Sci. 2015, 8, 546–551. [Google Scholar] [CrossRef]
- Zhang, L.; Meng, T.; Mao, B.; Guo, D.; Qin, J.; Cao, M. Multifunctional Prussian blue analogous@polyaniline core-shell nanocubes for lithium storage and overall water splitting. RSC Adv. 2017, 7, 50812–50821. [Google Scholar] [CrossRef] [Green Version]
- Si, C.; Wu, Y.; Sun, Y.; Liu, Q.; Tang, L.; Zhang, X.; Guo, J. Co3[Fe(CN)6]2 nanocube derived architecture of Co,Fe co-doped MoS2 nanosheets for efficient water electrolysis. Electrochim. Acta 2019, 309, 116–124. [Google Scholar] [CrossRef]
- Ren, J.; Meng, Q.; Xu, Z.; Zhang, X.; Chen, J. CoS2 hollow nanocubes derived from Co-Co Prussian blue analogue: High-performance electrode materials for supercapacitors. J. Electroanal. Chem. 2019, 836, 30–37. [Google Scholar] [CrossRef]
- Wang, M.; Zhang, C.; Meng, T.; Pu, Z.; Jin, H.; He, D.; Zhang, J.; Mu, S. Iron oxide and phosphide encapsulated within N,P-doped microporous carbon nanofibers as advanced tri-functional electrocatalyst toward oxygen reduction/evolution and hydrogen evolution reactions and zinc-air batteries. J. Power Sources 2019, 413, 367–375. [Google Scholar] [CrossRef]
- Hou, X.; Zhu, G.; Niu, X.; Dai, Z.; Yin, Z.; Dong, Q.; Zhang, Y.; Dong, X. Ternary transition metal oxide derived from Prussian blue analogue for high-performance lithium ion battery. J. Alloys Compd. 2017, 729, 518–525. [Google Scholar] [CrossRef]
- Zhang, P.; Li, Z.; Zhang, S.; Shao, G. Recent Advances in Effective Reduction of Graphene Oxide for Highly Improved Performance Toward Electrochemical Energy Storage. Energy Environ. Mater. 2018, 1, 5–12. [Google Scholar] [CrossRef] [Green Version]
- Mu, Y.; Han, M.; Li, J.; Liang, J.; Yu, J. Growing vertical graphene sheets on natural graphite for fast charging lithium-ion batteries. Carbon 2021, 173, 477–484. [Google Scholar] [CrossRef]
- Fu, R.S.; Ji, J.J.; Yun, L.; Jiang, Y.B.; Zhang, J.; Zhou, X.F.; Liu, Z.P. Graphene wrapped silicon suboxides anodes with suppressed Li-uptake behavior enabled superior cycling stability. Energy Storage Mater. 2021, 35, 317–326. [Google Scholar] [CrossRef]
- Xu, J.; Yin, Q.; Li, X.; Tan, X.; Liu, Q.; Lu, X.; Cao, B.; Yuan, X.; Li, Y.; Shen, L.; et al. Spheres of Graphene and Carbon Nanotubes Embedding Silicon as Mechanically Resilient Anodes for Lithium-Ion Batteries. Nano Lett. 2022, 22, 3054–3061. [Google Scholar] [CrossRef]
- Wu, Z.-S.; Ren, W.; Gao, L.; Liu, B.; Jiang, C.; Cheng, H.-M. Synthesis of high-quality graphene with a pre-determined number of layers. Carbon 2009, 47, 493–499. [Google Scholar] [CrossRef]
- Albers, R.F.; Bini, R.A.; Souza, J.B., Jr.; Machado, D.T.; Varanda, L.C. A general one-pot synthetic strategy to reduced graphene oxide (rGO) and rGO-nanoparticle hybrid materials. Carbon 2019, 143, 73–84. [Google Scholar] [CrossRef]
- Zhang, Y.; Song, N.; He, J.; Chen, R.; Li, X. Lithiation-Aided Conversion of End-of-Life Lithium-Ion Battery Anodes to High-Quality Graphene and Graphene Oxide. Nano Lett. 2019, 19, 512–519. [Google Scholar] [CrossRef]
- Moon, I.K.; Lee, J.; Ruoff, R.S.; Lee, H. Reduced graphene oxide by chemical graphitization. Nat. Commun. 2010, 1, 73. [Google Scholar] [CrossRef] [Green Version]
- Zhang, J.; Cao, H.; Tang, X.; Fan, W.; Peng, G.; Qu, M. Graphite/graphene oxide composite as high capacity and binder-free anode material for lithium ion batteries. J. Power Sources 2013, 241, 619–626. [Google Scholar] [CrossRef]
- Hummers, J.W.; Offeman, R.E. Preparation of Graphitic Oxide. J. Am. Chem. Soc. 1958, 80, 1339. [Google Scholar] [CrossRef]
- Marina, P.E.; Ali, G.A.M.; See, L.M.; Teo, E.Y.L.; Ng, E.P.; Chong, K.F. In situ growth of redox-active iron-centered nanoparticles on graphene sheets for specific capacitance enhancement. Arab. J. Chem. 2019, 12, 3883–3889. [Google Scholar] [CrossRef] [Green Version]
- Jiang, W.-J.; Gu, L.; Li, L.; Zhang, Y.; Zhang, X.; Zhang, L.-J.; Wang, J.-Q.; Hu, J.-S.; Wei, Z.; Wan, L.-J. Understanding the High Activity of Fe-N-C Electrocatalysts in Oxygen Reduction: Fe/Fe3C Nanoparticles Boost the Activity of Fe-N-x. J. Am. Chem. Soc. 2016, 138, 3570–3578. [Google Scholar] [CrossRef] [PubMed]
- Peng, H.; Mo, Z.; Liao, S.; Liang, H.; Yang, L.; Luo, F.; Song, H.; Zhong, Y.; Zhang, B. High Performance Fe- and N- Doped Carbon Catalyst with Graphene Structure for Oxygen Reduction. Sci. Rep. 2013, 3, 1765–1767. [Google Scholar] [CrossRef] [Green Version]
- Suresh, R.; Vijayaraj, A.; Giribabu, K.; Manigandan, R.; Prabu, R.; Stephen, A.; Thirumal, E.; Narayanan, V. Fabrication of iron oxide nanoparticles: Magnetic and electrochemical sensing property. J. Mater. Sci. Mater. Electron. 2012, 24, 1256–1263. [Google Scholar] [CrossRef]
- Li, Y.; Li, Z.; Wu, Y.; Wu, H.; Zhang, H.; Wu, T.; Yuan, C.; Xu, Y.; Zeng, B.; Dai, L. Carbon particles co-doped with N, B and Fe from metal-organic supramolecular polymers for boosted oxygen reduction performance. J. Power Sources 2019, 412, 623–630. [Google Scholar] [CrossRef]
- Deng, L.; Yang, Z.; Tan, L.; Zeng, L.; Zhu, Y.; Guo, L. Investigation of the Prussian Blue Analog Co3[Co(CN)6]2 as an Anode Material for Nonaqueous Potassium-Ion Batteries. Adv. Mater. 2018, 30, 1802510. [Google Scholar] [CrossRef]
- Wehling, T.O.; Novoselov, K.S.; Morozov, S.V.; Vdovin, E.E.; Katsnelson, M.I.; Geim, A.K.; Lichtenstein, A.I. Molecular doping of graphene. Nano Lett. 2008, 8, 173–177. [Google Scholar] [CrossRef] [Green Version]
- Deifallah, M.; McMillan, P.F.; Cora, F. Electronic and structural properties of two-dimensional carbon nitride graphenes. J. Phys. Chem. C 2008, 112, 5447–5453. [Google Scholar] [CrossRef]
- Cervantes-Sodi, F.; Csanyi, G.; Piscanec, S.; Ferrari, A.C. Edge-functionalized and substitutionally doped graphene nanoribbons: Electronic and spin properties. Phys. Rev. B 2008, 77, 165427. [Google Scholar] [CrossRef] [Green Version]
- Roldan, R.; Lopez-Sancho, M.P.; Guinea, F. Effect of electron-electron interaction on the Fermi surface topology of doped graphene. Phys. Rev. B 2008, 77, 115410. [Google Scholar] [CrossRef] [Green Version]
- Martins, T.B.; Miwa, R.H.; da Silva, A.J.R.; Fazzio, A. Electronic and transport properties of boron-doped graphene nanoribbons. Phys. Rev. Lett. 2007, 98, 196803. [Google Scholar] [CrossRef] [PubMed]
- Wei, D.; Liu, Y.; Wang, Y.; Zhang, H.; Huang, L.; Yu, G. Synthesis of N-Doped Graphene by Chemical Vapor Deposition and Its Electrical Properties. Nano Lett. 2009, 9, 1752–1758. [Google Scholar] [CrossRef] [PubMed]
- Zhang, Y.; Chen, P.; Gao, X.; Wang, B.; Liu, H.; Wu, H.; Liu, H.; Dou, S. Nitrogen-Doped Graphene Ribbon Assembled Core-Sheath MnO@Graphene Scrolls as Hierarchically Ordered 3D Porous Electrodes for Fast and Durable Lithium Storage. Adv. Funct. Mater. 2016, 26, 7754–7765. [Google Scholar] [CrossRef] [Green Version]
- Wu, Z.-S.; Ren, W.; Wen, L.; Gao, L.; Zhao, J.; Chen, Z.; Zhou, G.; Li, F.; Cheng, H.-M. Graphene Anchored with Co3O4 Nanoparticles as Anode of Lithium Ion Batteries with Enhanced Reversible Capacity and Cyclic Performance. ACS Nano 2010, 4, 3187–3194. [Google Scholar] [CrossRef]
- Asakura, D.; Okubo, M.; Mizuno, Y.; Kudo, T.; Zhou, H.; Ikedo, K.; Mizokawa, T.; Okazawa, A.; Kojima, N. Fabrication of a Cyanide-Bridged Coordination Polymer Electrode for Enhanced Electrochemical Ion Storage Ability. J. Phys. Chem. C 2012, 116, 8364–8369. [Google Scholar] [CrossRef]
- Wu, X.; Deng, W.; Qian, J.; Cao, Y.; Ai, X.; Yang, H. Single-crystal FeFe(CN)6 nanoparticles: A high capacity and high rate cathode for Na-ion batteries. J. Mater. Chem. A 2013, 1, 10130–10134. [Google Scholar] [CrossRef]
- You, Y.; Wu, X.-L.; Yin, Y.-X.; Guo, Y.-G. High-quality Prussian blue crystals as superior cathode materials for room-temperature sodium-ion batteries. Energy Environ. Sci. 2014, 7, 1643–1647. [Google Scholar] [CrossRef]
- Kaskhedikar, N.A.; Maier, J. Lithium Storage ion Carbon Nanostructures. Adv. Mater. 2009, 21, 2664–2680. [Google Scholar] [CrossRef]
- Luo, Z.; Lim, S.; Tian, Z.; Shang, J.; Lai, L.; MacDonald, B.; Fu, C.; Shen, Z.; Yu, T.; Lin, J. Pyridinic N doped graphene: Synthesis, electronic structure, and electrocatalytic property. J. Mater. Chem. 2011, 21, 8038–8044. [Google Scholar] [CrossRef]
- Ma, X.C.; Wang, E.G. CNx/carbon nanotube junctions synthesized by microwave chemical vapor deposition. Appl. Phys. Lett. 2001, 78, 978–980. [Google Scholar] [CrossRef]
- Ma, X.; Wang, E.G.; Tilley, R.D.; Jefferson, D.A.; Zhou, W. Size-controlled short nanobells: Growth and formation mechanism. Appl. Phys. Lett. 2000, 77, 4136–4138. [Google Scholar] [CrossRef]
- Xiao, Y.; Cao, M. Carbon-Anchored MnO Nanosheets as an Anode for High-Rate and Long-Life Lithium-Ion Batteries. ACS Appl. Mater. Interfaces 2015, 7, 12840–12849. [Google Scholar] [CrossRef]






Publisher’s Note: MDPI stays neutral with regard to jurisdictional claims in published maps and institutional affiliations. |
© 2022 by the authors. Licensee MDPI, Basel, Switzerland. This article is an open access article distributed under the terms and conditions of the Creative Commons Attribution (CC BY) license (https://creativecommons.org/licenses/by/4.0/).
Share and Cite
Sun, D.; Wang, X.; Qu, M. Co-Precipitation Synthesis of Co3[Fe(CN)6]2·10H2O@rGO Anode Electrode for Lithium-Ion Batteries. Materials 2022, 15, 4705. https://doi.org/10.3390/ma15134705
Sun D, Wang X, Qu M. Co-Precipitation Synthesis of Co3[Fe(CN)6]2·10H2O@rGO Anode Electrode for Lithium-Ion Batteries. Materials. 2022; 15(13):4705. https://doi.org/10.3390/ma15134705
Chicago/Turabian StyleSun, Daming, Xiaojie Wang, and Meizhen Qu. 2022. "Co-Precipitation Synthesis of Co3[Fe(CN)6]2·10H2O@rGO Anode Electrode for Lithium-Ion Batteries" Materials 15, no. 13: 4705. https://doi.org/10.3390/ma15134705
APA StyleSun, D., Wang, X., & Qu, M. (2022). Co-Precipitation Synthesis of Co3[Fe(CN)6]2·10H2O@rGO Anode Electrode for Lithium-Ion Batteries. Materials, 15(13), 4705. https://doi.org/10.3390/ma15134705
