Mechanical Properties of Single-Crystal Calcite and Their Temperature and Strain-Rate Effects
Abstract
1. Introduction
2. Model and Method
2.1. Interatomic Interaction Potential
2.2. The Computer Model
3. Results and Discussion
3.1. Uniaxial Tensile Behaviors in Different Directions
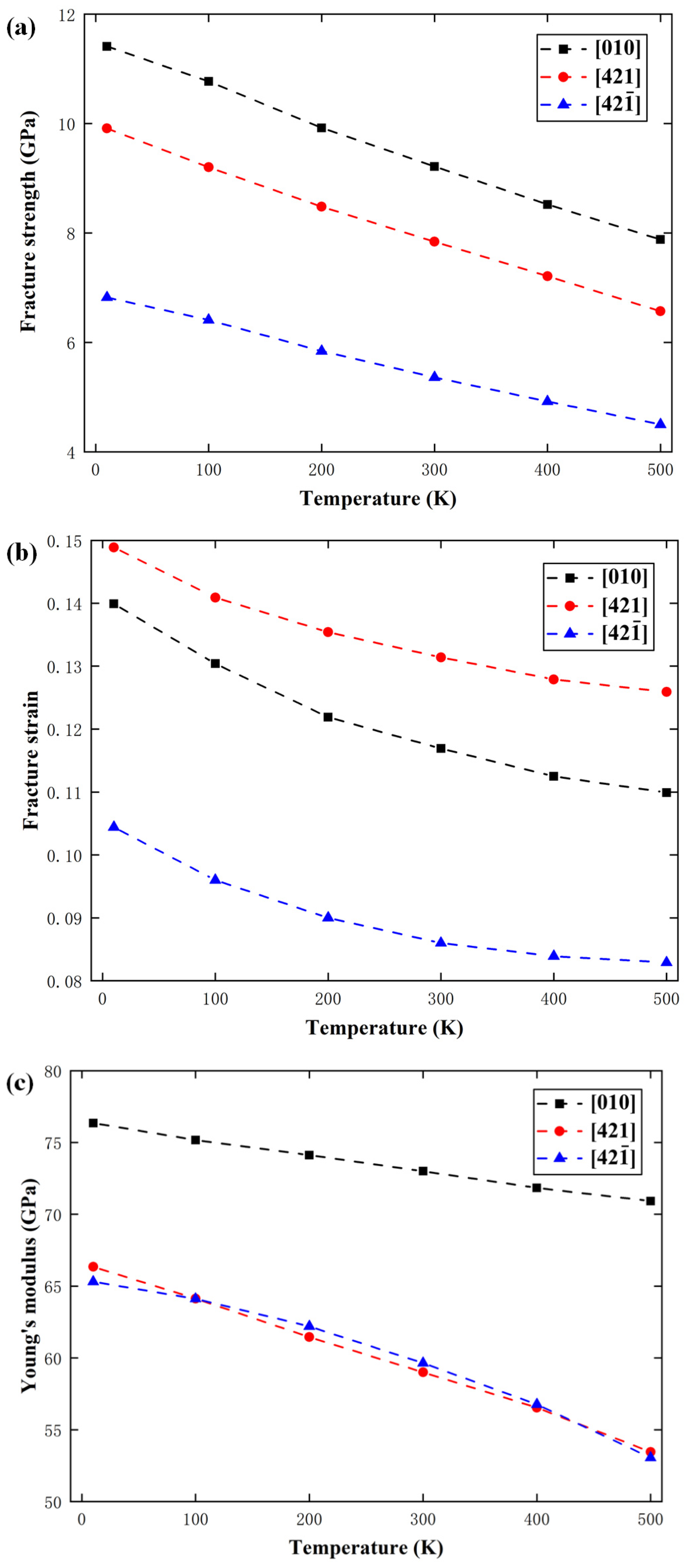
3.2. Influence of Temperature and Strain Rate
3.3. Fracture Dynamics Analysis
4. Conclusions
Author Contributions
Funding
Institutional Review Board Statement
Informed Consent Statement
Data Availability Statement
Conflicts of Interest
References
- Kim, Y.Y.; Ribeiro, L.; Maillot, F.; Ward, O.; Eichhorn, S.J.; Meldrum, F.C. Bio-inspired synthesis and mechanical properties of calcite-polymer particle composites. Adv. Mater. 2010, 22, 2082–2086. [Google Scholar] [CrossRef] [PubMed]
- Marin, F.; Luquet, G.; Marie, B.; Medakovic, D. Molluscan Shell Proteins: Primary Structure, Origin, and Evolution. Curr. Top. Dev. Biol. 2007, 80, 209–276. [Google Scholar] [CrossRef]
- Li, J.; Jiang, H.; Ouyang, X.; Han, S.; Wang, J.; Xie, R.; Zhu, W.; Ma, N.; Wei, H.; Jiang, Z. CaCO3/Tetraethylenepentamine-Graphene Hollow Microspheres as Biocompatible Bone Drug Carriers for Controlled Release. ACS Appl. Mater. Interfaces 2016, 8, 30027–30036. [Google Scholar] [CrossRef] [PubMed]
- Ghosh, S.; Wu, V.; Pernal, S.; Uskokovic, V. Self-Setting Calcium Phosphate Cements with Tunable Antibiotic Release Rates for Advanced Antimicrobial Applications. ACS Appl. Mater. Interfaces 2016, 8, 7691–7708. [Google Scholar] [CrossRef]
- Chen, C.L.; Qi, J.; Zuckermann, R.N.; DeYoreo, J.J. Engineered biomimetic polymers as tunable agents for controlling CaCO3 mineralization. J. Am. Chem. Soc. 2011, 133, 5214–5217. [Google Scholar] [CrossRef]
- Tamimi, F.; Torres, J.; Al-Abedalla, K.; Lopez-Cabarcos, E.; Alkhraisat, M.H.; Bassett, D.C.; Gbureck, U.; Barralet, J.E. Osseointegration of dental implants in 3D-printed synthetic onlay grafts customized according to bone metabolic activity in recipient site. Biomaterials 2014, 35, 5436–5445. [Google Scholar] [CrossRef]
- Cusack, M.; Freer, A. Biomineralization: Elemental and organic influence in carbonate systems. Chem. Rev. 2008, 108, 4433–4454. [Google Scholar] [CrossRef]
- Rae Cho, K.; Kim, Y.Y.; Yang, P.; Cai, W.; Pan, H.; Kulak, A.N.; Lau, J.L.; Kulshreshtha, P.; Armes, S.P.; Meldrum, F.C.; et al. Direct observation of mineral-organic composite formation reveals occlusion mechanism. Nat. Commun. 2016, 7, 10187. [Google Scholar] [CrossRef]
- Kim, Y.Y.; Ganesan, K.; Yang, P.; Kulak, A.N.; Borukhin, S.; Pechook, S.; Ribeiro, L.; Kroger, R.; Eichhorn, S.J.; Armes, S.P.; et al. An artificial biomineral formed by incorporation of copolymer micelles in calcite crystals. Nat. Mater. 2011, 10, 890–896. [Google Scholar] [CrossRef]
- Wang, D.; Hamm, L.M.; Giuffre, A.J.; Echigo, T.; Rimstidt, J.D.; De Yoreo, J.J.; Grotzinger, J.; Dove, P.M. Revisiting geochemical controls on patterns of carbonate deposition through the lens of multiple pathways to mineralization. Faraday Discuss. 2012, 159, 371–386. [Google Scholar] [CrossRef]
- King, H.E.; Mattner, D.C.; Plümper, O.; Geisler, T.; Putnis, A. Forming Cohesive Calcium Oxalate Layers on Marble Surfaces for Stone Conservation. Cryst. Growth Des. 2014, 14, 3910–3917. [Google Scholar] [CrossRef]
- Pike, A.W.; Hoffmann, D.L.; Garcia-Diez, M.; Pettitt, P.B.; Alcolea, J.; De Balbin, R.; Gonzalez-Sainz, C.; de las Heras, C.; Lasheras, J.A.; Montes, R.; et al. U-series dating of Paleolithic art in 11 caves in Spain. Science 2012, 336, 1409–1413. [Google Scholar] [CrossRef] [PubMed]
- Winograd, I.J.; Coplen, T.B.; Landwehr, J.M.; Riggs, A.C.; Ludwig, K.R.; Szabo, B.J.; Kolesar, P.T.; Revesz, K.M. Continuous 500,000-Year Climate Record from Vein Calcite in Devils Hole, Nevada. Science 1992, 258, 255–260. [Google Scholar] [CrossRef] [PubMed]
- Rink, W.J. Electron spin resonance (ESR) dating and ESR applications in quaternary science and archaeometry. Radiat. Meas. 1997, 27, 975–1025. [Google Scholar] [CrossRef]
- Gilbert, B.; Davies, M.J.; Murphy, D.M.; Ikeya, M. ESR Dating, Dosimetry and Microscopy for Terrestrial and Planetary Materials. ChemInform 2005, 36, 1–32. [Google Scholar]
- Huwald, E. Calcium carbonate—Pigment and filler. In Calcium Carbonate; Birkhäuser: Basel, Switzerland, 2001; pp. 160–170. [Google Scholar]
- Bridgman, P.W. The high pressure behavior of miscellaneous minerals. Am. J. Sci. 1939, 237, 7–18. [Google Scholar] [CrossRef]
- Tyburczy, J.A.; Ahrens, T.J. Dynamic compression and volatile release of carbonates. J. Geophys. Res. 1986, 91, 4730–4744. [Google Scholar] [CrossRef]
- Biellmann, C.; Guyot, F.; Gillet, P.; Reynard, B. High-pressure stability of carbonates; quenching of calcite-II, high-pressure polymorph of CaCO3. Eur. J. Mineral. 1993, 5, 503–510. [Google Scholar] [CrossRef]
- Fiquet, G.; Guyot, F.; Itie, J.P. High-pressure X-ray diffraction study of carbonates: MgCO3, CaMg(CO3)2, and CaCO3. Am. Mineral. 1994, 79, 15–23. [Google Scholar]
- Suito, K.; Namba, J.; Horikawa, T.; Taniguchi, Y.; Sakurai, N.; Kobayashi, M.; Onodera, A.; Shimomura, O.; Kikegawa, T. Phase relations of CaCO3 at high pressure and high temperature. Am. Mineral. 2001, 86, 997–1002. [Google Scholar] [CrossRef]
- Ivanov, B.A.; Deutsch, A. The phase diagram of CaCO3 in relation to shock compression and decomposition. Phys. Earth Planet. Inter. 2002, 129, 131–143. [Google Scholar] [CrossRef]
- Ono, S.; Kikegawa, T.; Ohishi, Y. High-pressure transition of CaCO3. Am. Mineral. 2007, 92, 1246–1249. [Google Scholar] [CrossRef]
- Oganov, A.R.; Glass, C.W.; Ono, S. High-pressure phases of CaCO3: Crystal structure prediction and experiment. Earth Planet. Sci. Lett. 2006, 241, 95–103. [Google Scholar] [CrossRef]
- Liu, J.; Duan, C.G.; Ossowski, M.M.; Mei, W.N.; Smith, R.W.; Hardy, J.R. Simulation of structural phase transition in NaNO3 and CaCO3. Phys. Chem. Miner. 2001, 28, 586–590. [Google Scholar] [CrossRef]
- Bearchell, C.A.; Heyes, D.M. Molecular modelling studies of calcium carbonate and its nanoparticles. Mol. Simul. 2002, 28, 517–538. [Google Scholar] [CrossRef]
- Akiyama, T.; Nakamura, K.; Ito, T. Effects of Atomic Arrangements on Structural Stability and Electronic Structures of Twin Boundary Interfaces in CaCO3 Calcite. J. Phys. Chem. C 2011, 116, 987–993. [Google Scholar] [CrossRef]
- Akiyama, T.; Nakamura, K.; Ito, T. Atomic and electronic structures of CaCO3 surfaces. Phys. Rev. B Condens. Matter. 2011, 84, 49–51. [Google Scholar] [CrossRef]
- Sokolá, R.; Vodová, L.; Grygarová, S.; Štubňa, I.; Šín, P. Mechanical properties of ceramic bodies based on calcite waste. Ceram. Int. 2012, 38, 6607–6612. [Google Scholar] [CrossRef]
- Kunitake, M.E.; Mangano, L.M.; Peloquin, J.M.; Baker, S.P.; Estroff, L.A. Evaluation of strengthening mechanisms in calcite single crystals from mollusk shells. Acta Biomater. 2013, 9, 5353–5359. [Google Scholar] [CrossRef]
- Schuster, R.; Schafler, E.; Schell, N.; Kunz, M.; Abart, R. Microstructure of calcite deformed by high-pressure torsion: An X-ray line profile study. Tectonophysics 2017, 721, 448–461. [Google Scholar] [CrossRef]
- Dick, B.G.; Overhauser, A.W. Theory of the Dielectric Constants of Alkali Halide Crystals. Phys. Rev. 1958, 112, 90–103. [Google Scholar] [CrossRef]
- Yip, S. Handbook of Materials Modeling: Methods. Mater. Today 2005, 8, 345–348. [Google Scholar]
- Dove, M.T.; Winkler, B.; Leslie, M.; Harris, M.J.; Salje, E.K. A new interatomic potential model for calcite; applications to lattice dynamics studies, phase transition, and isotope fractionation. Am. Mineral. 1992, 77, 244–250. [Google Scholar]
- Pavese, A.; Catti, M.; Price, G.D.; Jackson, R.A. Interatomic potentials for CaCO3 polymorphs (calcite and aragonite), fitted to elastic and vibrational data. Phys. Chem. Miner. 1992, 19, 80–87. [Google Scholar] [CrossRef]
- Jackson, R.A.; Price, G.D. A Transferable Interatomic Potential for Calcium Carbonate. Mol. Simul. 1992, 9, 175–177. [Google Scholar] [CrossRef]
- Catti, M.; Pavese, A.; Price, G.D. Thermodynamic properties of CaCO3 calcite and aragonite: A quasi-harmonic calculation. Phys. Chem. Miner. 1993, 19, 472–479. [Google Scholar] [CrossRef]
- Jackson, R.A.; Meenan, P.A.; Price, G.D.; Roberts, K.J.; Telfer, G.B.; Wilde, P.J. Deriving empirical potentials for molecular ionic materials. Mineral. Mag. 1995, 59, 617–622. [Google Scholar] [CrossRef]
- Jackson, R.A. Computer modelling of molecular ionic materials. Curr. Opin. Solid State Mater. Sci. 2001, 5, 463–467. [Google Scholar] [CrossRef]
- Braybrook, A.L.; Heywood, B.R.; Jackson, R.A.; Pitt, K. Parallel computational and experimental studies of the morphological modification of calcium carbonate by cobalt. J. Cryst. Growth 2002, 243, 336–344. [Google Scholar] [CrossRef]
- Pavese, A.; Catti, M.; Parker, S.C.; Wall, A. Modelling of the thermal dependence of structural and elastic properties of calcite, CaCO3. Phys. Chem. Miner. 1996, 23, 89–93. [Google Scholar] [CrossRef]
- Fisler, D.K.; Gale, J.D.; Cygan, R.T. A shell model for the simulation of rhombohedral carbonate minerals and their point defects. Am. Mineral. 2000, 85, 217–224. [Google Scholar] [CrossRef]
- Archer, T.D.; Birse, S.; Dove, M.T.; Redfern, S.; Gale, J.D.; Cygan, R.T. An interatomic potential model for carbonates allowing for polarization effects. Phys. Chem. Miner. 2003, 30, 416–424. [Google Scholar] [CrossRef]
- Graf, D.L. Crystallographic tables for the rhombohedral carbonates. Am. Mineral. 1961, 46, 1283–1316. [Google Scholar]
- Plimpton, S. Fast Parallel Algorithms for Short-Range Molecular Dynamics. J. Comput. Phys. 1995, 117, 1–19. [Google Scholar] [CrossRef]
- Hockney, R.W.; Eastwood, J.W. Computer Simulation Using Particles; CRC Press: Boca Raton, FL, USA, 1988; p. 540. [Google Scholar]
- Polishchuk, I.; Bracha, A.A.; Bloch, L.; Levy, D.; Kozachkevich, S.; Etinger-Geller, Y.; Kauffmann, Y.; Burghammer, M.; Giacobbe, C.; Villanova, J. Coherently aligned nanoparticles within a biogenic single crystal: A biological prestressing strategy. Science 2017, 358, 1294–1298. [Google Scholar] [CrossRef]
- Kabacinska, Z.; Yate, L.; Wencka, M.; Krzyminiewski, R.; Tadyszak, K.; Coy, E. Nanoscale Effects of Radiation (UV, X-ray, and γ) on Calcite Surfaces: Implications for its Mechanical and Physico-Chemical Properties. J. Phys. Chem. C 2017, 121, 13357–13369. [Google Scholar] [CrossRef]
- Orme, C.A.; Noy, A.; Wierzbicki, A.; McBride, M.T.; Grantham, M.; Teng, H.H.; Dove, P.M.; DeYoreo, J.J. Formation of chiral morphologies through selective binding of amino acids to calcite surface steps. Nature 2001, 411, 775–779. [Google Scholar] [CrossRef]
- Titiloye, J.O.; Parker, S.C.; Mann, S. Atomistic simulation of calcite surfaces and the influence of growth additives on their morphology. J. Cryst. Growth 1993, 131, 533–545. [Google Scholar] [CrossRef]
- Sekkal, W.; Zaoui, A. Nanoscale analysis of the morphology and surface stability of calcium carbonate polymorphs. Sci. Rep. 2013, 3, 1587. [Google Scholar] [CrossRef]
- Ihli, J.; Clark, J.N.; Côté, A.; Kim, Y.Y.; Schenk, A.S.; Kulak, A.N.; Comyn, T.P.; Chammas, O.; Harder, R.J.; Duffy, D.M. Strain-relief by single dislocation loops in calcite crystals grown on self-assembled monolayers. Nat. Commun. 2016, 7, 11878. [Google Scholar] [CrossRef]
- Zhang, N.; Hong, Y.; Chen, Y. Dynamic crack propagation behaviors of calcium carbonate: Aragonite. J. Mater. Sci. 2019, 54, 2779–2786. [Google Scholar] [CrossRef]
- Zhou, J.; Liang, Y. Effect of Water on the Dynamic Tensile Mechanical Properties of Calcium Silicate Hydrate: Based on Molecular Dynamics Simulation. Materials 2019, 12, 2837. [Google Scholar] [CrossRef] [PubMed]
- Hao, X.; Lin, W.; Jia, F.; Li, W.; Wang, Z. Temperature Effects on Tensile and Compressive Mechanical Behaviors of C-S-H Structure via Atomic Simulation. J. Nanomater. 2017, 2017, 8476258. [Google Scholar]
- Zhao, H.; Aluru, N.R. Temperature and strain-rate dependent fracture strength of graphene. J. Appl. Phys. 2010, 108, 064321. [Google Scholar] [CrossRef]
- Bailey, J. An attempt to correlate some tensile strength measurements on glass III. Glass Ind. 1939, 20, 21. [Google Scholar]
- Zhurkov, S. Thermofluctuation mechanism of fracture. Int. J. Fract. Mech. 1965, 1, 311–323. [Google Scholar] [CrossRef]
- Slutsker, A.I.; Betekhtin, V.I.; Lee, J.C.; Yusupov, D.; Kadomtsev, A.G.; Amosova, O.V. Temperature dependence of rupture strength of the amorphous alloy Ni82.1Cr7.8Si4.6Fe3.1Mn0.3Al0.1Cu<0.1B2. Acta Mater. 2004, 52, 2733–2738. [Google Scholar] [CrossRef]

















| Charges (|e|) | ||
|---|---|---|
| Ion | q | |
| Ca | +1.64203 | |
| C | +1.04085 | |
| O | −0.894293 | |
| Short-range potentials | ||
| Interaction | ||
| Ca–O | 3943.5977 | 0.251570 |
| O–O | 2879.1262 | 0.252525 |
| C–O | 1.7411 × 1015 | 0.03873 |
| Force constants | ||
| Bond-bending constant for O–C–O (eV rad−2) | 3.69441 | |
| Torsional constant | 0.125125 | |
Publisher’s Note: MDPI stays neutral with regard to jurisdictional claims in published maps and institutional affiliations. |
© 2022 by the authors. Licensee MDPI, Basel, Switzerland. This article is an open access article distributed under the terms and conditions of the Creative Commons Attribution (CC BY) license (https://creativecommons.org/licenses/by/4.0/).
Share and Cite
Luo, C.; Yang, X.; Li, J. Mechanical Properties of Single-Crystal Calcite and Their Temperature and Strain-Rate Effects. Materials 2022, 15, 4613. https://doi.org/10.3390/ma15134613
Luo C, Yang X, Li J. Mechanical Properties of Single-Crystal Calcite and Their Temperature and Strain-Rate Effects. Materials. 2022; 15(13):4613. https://doi.org/10.3390/ma15134613
Chicago/Turabian StyleLuo, Chaocai, Xinhua Yang, and Jie Li. 2022. "Mechanical Properties of Single-Crystal Calcite and Their Temperature and Strain-Rate Effects" Materials 15, no. 13: 4613. https://doi.org/10.3390/ma15134613
APA StyleLuo, C., Yang, X., & Li, J. (2022). Mechanical Properties of Single-Crystal Calcite and Their Temperature and Strain-Rate Effects. Materials, 15(13), 4613. https://doi.org/10.3390/ma15134613
