S⋯N Conformational Lock Acceptor Based on Indacenodithiophene (IDT) Structure and High Electronegative Terminal End Group
Abstract
:1. Introduction
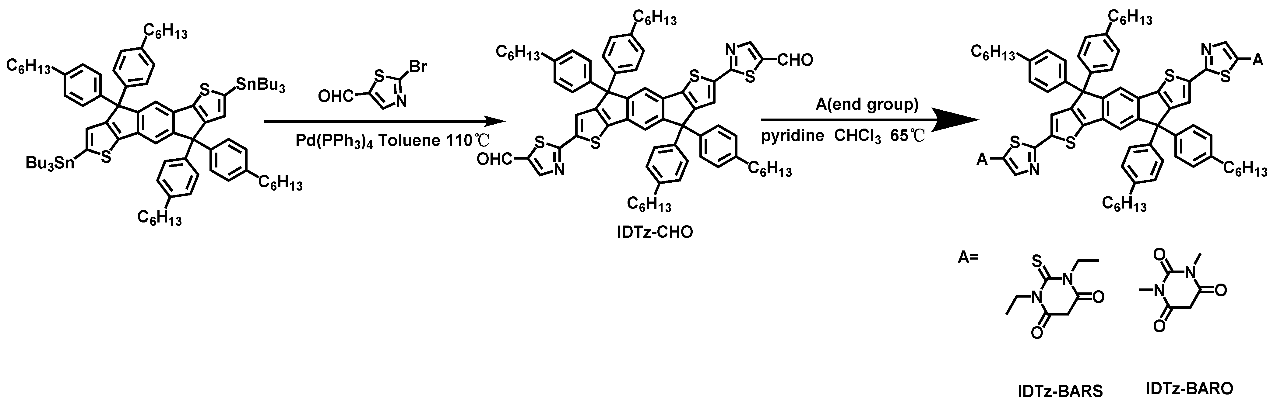
2. Materials Synthesis
3. Results and Discussion
3.1. Optical and Thermal Property of Acceptors
3.2. Electrochemical Properties
3.3. Theoretical Calculation
3.4. Film Morphologies and Organic Solar Cell Performance
4. Conclusions
Supplementary Materials
Author Contributions
Funding
Data Availability Statement
Acknowledgments
Conflicts of Interest
References
- Na, S.I.; Seo, Y.H.; Nah, Y.C.; Kim, S.S.; Heo, H.; Kim, J.E.; Rolston, N.; Dauskardt, R.H.; Gao, M.; Lee, Y.; et al. High Performance Roll-to-Roll Produced Fullerene-Free Organic Photovoltaic Devices via Temperature-Controlled Slot Die Coating. Adv. Funct. Mater. 2019, 29, 1805825.1–1805825.10. [Google Scholar] [CrossRef]
- Sprau, C.; Buss, F.; Wagner, M.; Landerer, D.; Koppitz, M.; Schulz, A.; Bahro, D.; Schabel, W.; Scharfer, P.; Colsmann, A. Highly efficient polymer solar cells cast from non-halogenated xylene/anisaldehyde solution. Energy Environ. Sci. 2015, 8, 2744–2752. [Google Scholar] [CrossRef] [Green Version]
- Yan, T.; Song, W.; Huang, J.; Peng, R.; Huang, L.; Ge, Z. 16.67% Rigid and 14.06% Flexible Organic Solar Cells Enabled by Ternary Heterojunction Strategy. Adv. Mater. 2019, 31, 1902210. [Google Scholar] [CrossRef] [PubMed]
- Seo, K.W.; Lee, J.; Jo, J.; Cho, C.; Lee, J.Y. Highly Efficient (>10%) Flexible Organic Solar Cells on PEDOT-Free and ITO-Free Transparent Electrodes. Adv. Mater. 2019, 31, 1902447.1–1902447.6. [Google Scholar] [CrossRef] [PubMed]
- He, Z.C.; Xiao, B.; Liu, F.; Wu, H.B.; Yang, Y.L.; Xiao, S.; Wang, C.G.; Russell, T.P.; Cao, Y. Single-junction polymer solar cells with high efficiency and photovoltage. Nat. Photonics 2015, 9, 174–179. [Google Scholar] [CrossRef]
- Lin, Y.; Wang, J.; Zhang, Z.G.; Bai, H.; Li, Y.; Zhu, D.; Zhan, X. An Electron Acceptor Challenging Fullerenes for Efficient Polymer Solar Cells. Adv. Mater. 2015, 27, 1170–1174. [Google Scholar] [CrossRef]
- Yang, Y.; Zhang, Z.G.; Bin, H.; Chen, S.; Gao, L.; Xue, L.; Yang, C.; Li, Y. Side-Chain Isomerization on an n-type Organic Semiconductor ITIC Acceptor Makes 11.77% High Efficiency Polymer Solar Cells. J. Am. Chem. Soc. 2016, 138, 15011–15018. [Google Scholar] [CrossRef]
- Lin, Y.; Zhao, F.; He, Q.; Huo, L.; Wu, Y.; Parker, T.C.; Ma, W.; Sun, Y.; Wang, C.; Zhu, D.; et al. High-Performance Electron Acceptor with Thienyl Side Chains for Organic Photovoltaics. J. Am. Chem. Soc. 2016, 138, 4955–4961. [Google Scholar] [CrossRef]
- Zhao, F.; Dai, S.; Wu, Y.; Zhang, Q.; Wang, J.; Jiang, L.; Ling, Q.; Wei, Z.; Ma, W.; You, W.; et al. Single-Junction Binary-Blend Nonfullerene Polymer Solar Cells with 12.1% Efficiency. Adv. Mater. 2017, 29, 1700144. [Google Scholar] [CrossRef] [Green Version]
- Yuan, J.; Zhang, Y.; Zhou, L.; Zhang, G.; Yip, H.-L.; Lau, T.-K.; Lu, X.; Zhu, C.; Peng, H.; Johnson, P.A.; et al. Single-Junction Organic Solar Cell with over 15% Efficiency Using Fused-Ring Acceptor with Electron-Deficient Core. Joule 2019, 3, 1140–1151. [Google Scholar] [CrossRef]
- Cui, Y.; Yao, H.; Zhang, J.; Xian, K.; Zhang, T.; Hong, L.; Wang, Y.; Xu, Y.; Ma, K.; An, C.; et al. Single-Junction Organic Photovoltaic Cells with Approaching 18% Efficiency. Adv. Mater. 2020, 32, 1908205. [Google Scholar] [CrossRef] [PubMed]
- Zhan, L.; Li, S.; Lau, T.K.; Cui, Y.; Lu, X.; Shi, M.; Li, C.-Z.; Li, H.; Hou, J.; Chen, H. Over 17% efficiency ternary organic solar cells enabled by two non-fullerene acceptors working in an alloy-like model. Energy Environ. Sci. 2020, 13, 635–645. [Google Scholar] [CrossRef]
- Ma, R.; Liu, T.; Luo, Z.; Guo, Q.; Xiao, Y.; Chen, Y.; Li, X.; Luo, S.; Lu, X.; Zhang, M.; et al. Improving open-circuit voltage by a chlorinated polymer donor endows binary organic solar cells efficiencies over 17%. Sci. China-Chem. 2020, 63, 325–330. [Google Scholar] [CrossRef] [Green Version]
- Ye, W.; Yang, Y.; Zhang, Z.; Zhu, Y.; Ye, L.; Miao, C.; Lin, Y.; Zhang, S. Nonfullerene All-Small-Molecule Organic Solar Cells: Prospect and Limitation. Sol. Rrl 2020, 4, 2000258. [Google Scholar] [CrossRef]
- Yuan, J.; Zhang, C.; Chen, H.; Zhu, C.; Cheung, S.H.; Qiu, B.; Cai, F.; Wei, Q.; Liu, W.; Yin, H.; et al. Understanding energetic disorder in electron-deficient-core-based non-fullerene solar cells. Sci. China-Chem. 2020, 63, 1159–1168. [Google Scholar] [CrossRef]
- Li, D.; Chen, X.; Cai, J.; Li, W.; Chen, M.; Mao, Y.; Du, B.; Smith, J.A.; Kilbride, R.C.; O’Kane, M.E.; et al. Non-fullerene acceptor fibrils enable efficient ternary organic solar cells with 16.6% efficiency. Sci. China-Chem. 2020, 63, 1461–1468. [Google Scholar] [CrossRef]
- Chen, H.; Zhao, T.; Li, L.; Tan, P.; Lai, H.; Zhu, Y.; Lai, X.; Han, L.; Zheng, N.; Guo, L.; et al. 17.6%-Efficient Quasiplanar Heterojunction Organic Solar Cells from a Chlorinated 3D Network Acceptor. Adv. Mater. 2021, 33, 2102778. [Google Scholar] [CrossRef]
- Yin, Y.L.; Zhan, L.L.; Liu, M.; Yang, C.Q.; Guo, F.; Liu, Y.; Gao, S.; Zhao, L.C.; Chen, H.Z.; Zhang, Y. Boosting photovoltaic performance of ternary organic solar cells by integrating a multi-functional guest acceptor. Nano Energy 2021, 90, 106538. [Google Scholar] [CrossRef]
- Zhao, D.; Wu, Q.; Cai, Z.; Zheng, T.; Chen, W.; Lu, J.; Yu, L. Electron Acceptors Based on alpha-Substituted Perylene Diimide (PDI) for Organic Solar Cells. Chem. Mater. 2016, 28, 1139–1146. [Google Scholar] [CrossRef]
- Bhosale, S.V.; al Kobaisi, M.; Jadhav, R.W.; Morajkar, P.P.; Jones, L.A.; George, S. Naphthalene diimides: Perspectives and promise. Chem. Soc. Rev. 2021, 50, 9845–9998. [Google Scholar] [CrossRef]
- Huang, H.; Zhou, N.J.; Ortiz, R.P.; Chen, Z.H.; Loser, S.; Zhang, S.M.; Guo, X.G.; Casado, J.; Navarrete, J.T.L.; Yu, X.G.; et al. Alkoxy-Functionalized Thienyl-Vinylene Polymers for Field-Effect Transistors and All-Polymer Solar Cells. Adv. Funct. Mater. 2014, 19, 2782–2793. [Google Scholar] [CrossRef]
- Huang, H.; Chen, Z.; Ortiz, R.P.; Newman, C.; Usta, H.; Lou, S.; Youn, J.; Noh, Y.Y.; Baeg, K.J.; Chen, L.X.; et al. Combining Electron-Neutral Building Blocks with Intramolecular “Conformational Locks” Affords Stable, High-Mobility P- and N-Channel Polymer Semiconductors. J. Am. Chem. Soc. 2012, 134, 10966–10973. [Google Scholar] [CrossRef] [PubMed]
- Ye, P.; Chen, Y.; Wu, J.; Wu, X.; Yu, S.; Xing, W.; Liu, Q.; Jia, X.; Peng, A.; Huang, H. Wide bandgap small molecular acceptors for low energy loss organic solar cells. J. Mater. Chem. C 2017, 5, 12591–12596. [Google Scholar] [CrossRef]
- Yu, S.; Chen, Y.; Yang, L.; Ye, P.; Wu, J.; Yu, J.; Zhang, S.; Gao, Y.; Huang, H. Significant enhancement of photovoltaic performance through introducing S center dot center dot center dot N conformational locks. J. Mater. Chem. A 2017, 5, 21674–21678. [Google Scholar] [CrossRef]
- Zhong, W.; Cui, J.; Fan, B.; Ying, L.; Wang, Y.; Wang, X.; Zhang, G.; Jiang, X.F.; Huang, F.; Cao, Y. Enhanced Photovoltaic Performance of Ternary Polymer Solar Cells by Incorporation of a Narrow-Bandgap Nonfullerene Acceptor. Chem. Mater. 2017, 29, 8177–8186. [Google Scholar] [CrossRef]
- Guo, X.; Liao, Q.; Manley, E.F.; Wu, Z.; Wang, Y.; Wang, W.; Yang, T.; Shin, Y.-E.; Cheng, X.; Liang, Y.; et al. Materials Design via Optimized Intramolecular Noncovalent Interactions for High-Performance Organic Semiconductors. Chem. Mater. 2016, 28, 2449–2460. [Google Scholar] [CrossRef]
- Liu, X.; Wei, Y.; Zhang, X.; Qin, L.Q.; Wei, Z.X.; Huang, H. An A-D-A′-D-A type unfused nonfullerene acceptor for organic solar cells with approaching 14% efficiency. Sci. China Chem. 2021, 64, 228–231. [Google Scholar] [CrossRef]
- Huang, H.; Yang, L.; Facchetti, A.; Marks, T.J. Organic and Polymeric Semiconductors Enhanced by Noncovalent Conformational Locks. Chem. Rev. 2017, 117, 10291–10318. [Google Scholar] [CrossRef]
- Fu, B.; Wang, C.Y.; Rose, B.D.; Jiang, Y.; Chang, M.; Chu, P.H.; Yuan, Z.; Fuentes-Hernandez, C.; Kippelen, B.; Bredas, J.L.; et al. Molecular Engineering of Nonhalogenated Solution-Processable Bithiazole-Based Electron-Transport Polymeric Semiconductors. Chem. Mater. 2015, 27, 2928–2937. [Google Scholar] [CrossRef] [Green Version]
- Lin, Y.; Fan, H.; Li, Y.; Zhan, X. Thiazole-Based Organic Semiconductors for Organic Electronics. Adv. Mater. 2012, 24, 3087–3106. [Google Scholar] [CrossRef]
- Dong, T.; Lv, L.; Feng, L.; Xia, Y.; Deng, W.; Ye, P.; Yang, B.; Ding, S.; Facchetti, A.; Dong, H.; et al. Noncovalent Se center dot center dot center dot O Conformational Locks for Constructing High-Performing Optoelectronic Conjugated Polymers. Adv. Mater. 2017, 29, 1606025. [Google Scholar] [CrossRef] [PubMed]
- Yu, S.; Peng, A.; Zhang, S.; Huang, H. Noncovalent conformational locks in organic semiconductors. Sci. China Chem. 2018, 61, 1359–1367. [Google Scholar] [CrossRef]
- Feng, K.; Shan, W.; Ma, S.; Wu, Z.; Chen, J.; Guo, H.; Liu, B.; Wang, J.; Li, B.; Woo, H.Y.; et al. Fused Bithiophene Imide Dimer-Based n-Type Polymers for High-Performance Organic Electrochemical Transistors. Angew. Chem. Int. Ed. 2021, 60, 24198–24205. [Google Scholar] [CrossRef] [PubMed]
- Zhang, X.; Qin, L.; Li, Y.; Yu, J.; Chen, H.; Gu, X.; Huang, H. High-Performance All-Small-Molecule Organic Solar Cells Enabled by Regio-Isomerization of Noncovalently Conformational Locks. Adv. Funct. 2022, 32, 2112433. [Google Scholar] [CrossRef]
- Kao, Y.W.; Lee, W.H.; Jeng, R.J.; Huang, C.F.; Wu, J.Y.; Lee, R.H. Peripheral group effects on the photophysical and photovoltaic properties of bulk-heterojunction type solar cells based on star-shaped conjugate molecules with triphenylamine core. Mater. Chem. Phys. 2015, 163, 138–151. [Google Scholar] [CrossRef]
- Choe, J.C.; Lee, T.H.; Lim, E. Non-Fullerene Small Molecule Acceptors Containing Barbituric Acid End Groups for Use in High-performance OPVs. Bull. Korean Chem. Soc. 2019, 40, 20–23. [Google Scholar] [CrossRef] [Green Version]
- Lin, Y.; He, Q.; Zhao, F.; Huo, L.; Mai, J.; Lu, X.; Su, C.J.; Li, T.; Wang, J.; Zhu, J.; et al. A Facile Planar Fused-Ring Electron Acceptor for As-Cast Polymer Solar Cells with 8.71% Efficiency. J. Am. Chem. Soc. 2016, 138, 2973–2976. [Google Scholar] [CrossRef]
- Yu, J.; Tang, Y.; Miao, C.; Yang, K.; Zhou, X.; Yu, S.; Sun, H.; Huang, J.; Guo, H.; Guo, X.; et al. Fine-tuning head-to-head bithiophene-difluorobenzothiadiazole polymers for photovoltaics via side-chain engineering. Org. Electron. 2019, 68, 135–142. [Google Scholar] [CrossRef]
- Long, G.K.; Wan, X.J.; Kan, B.; Liu, Y.S.; He, G.R.; Li, Z.; Zhang, Y.W.; Zhang, Y.; Zhang, Q.; Zhang, M.T.; et al. Investigation of Quinquethiophene Derivatives with Different End Groups for High Open Circuit Voltage Solar Cells. Adv. Energy Mater. 2013, 3, 639–646. [Google Scholar] [CrossRef]
- Cha, H.; Fish, G.; Luke, J.; Alraddadi, A.; Lee, H.H.; Zhang, W.; Dong, Y.; Limbu, S.; Wadsworth, A.; Maria, I.P.; et al. Suppression of Recombination Losses in Polymer:Nonfullerene Acceptor Organic Solar Cells due to Aggregation Dependence of Acceptor Electron Affinity. Adv. Energy Mater. 2019, 9, 1901254. [Google Scholar] [CrossRef]
- Qing, Q.H.; Wu, D.L.; Alexander, M.; Chen, W.; Yu, L.P. Covalently Bound Clusters of Alpha-Substituted PDI—Rival Electron Acceptors to Fullerene for Organic Solar Cells. J. Am. Chem. Soc. 2016, 138, 7248–7251. [Google Scholar]






| Molecule | λmax (Sol) (nm) | λmax (Film) (nm) | λonset (Film) (nm) | EHOMO (eV) | ELUMO (eV) | Egopt (eV) |
|---|---|---|---|---|---|---|
| IDTz-BARO | 598 | 605 | 665 | −5.75 | −4.22 | 1.86 |
| IDTz-BARS | 624 | 641 | 691 | −5.59 | −4.34 | 1.79 |
| Molecule | Annealing a Temperature (°C) | VOC (V) | Jsc (mA cm−2) | FF (%) | PCE b,c (%) |
|---|---|---|---|---|---|
| IDTz-BARS | 100 | 1.00 | 8.09 | 54.13 | 4.39 ± 0.33 (4.10) |
| IDTz-BARO | 100 | 0.87 | 1.24 | 33.99 | 0.37 ± 0.05 (0.29) |
Publisher’s Note: MDPI stays neutral with regard to jurisdictional claims in published maps and institutional affiliations. |
© 2022 by the authors. Licensee MDPI, Basel, Switzerland. This article is an open access article distributed under the terms and conditions of the Creative Commons Attribution (CC BY) license (https://creativecommons.org/licenses/by/4.0/).
Share and Cite
Zhu, J.; Wang, Z.; Li, Y.; Liu, X.; Miao, C.; Wu, B.; Zhang, S. S⋯N Conformational Lock Acceptor Based on Indacenodithiophene (IDT) Structure and High Electronegative Terminal End Group. Materials 2022, 15, 4238. https://doi.org/10.3390/ma15124238
Zhu J, Wang Z, Li Y, Liu X, Miao C, Wu B, Zhang S. S⋯N Conformational Lock Acceptor Based on Indacenodithiophene (IDT) Structure and High Electronegative Terminal End Group. Materials. 2022; 15(12):4238. https://doi.org/10.3390/ma15124238
Chicago/Turabian StyleZhu, Jiejun, Zhangxu Wang, Yuanhao Li, Xuan Liu, Chunyang Miao, Bo Wu, and Shiming Zhang. 2022. "S⋯N Conformational Lock Acceptor Based on Indacenodithiophene (IDT) Structure and High Electronegative Terminal End Group" Materials 15, no. 12: 4238. https://doi.org/10.3390/ma15124238
APA StyleZhu, J., Wang, Z., Li, Y., Liu, X., Miao, C., Wu, B., & Zhang, S. (2022). S⋯N Conformational Lock Acceptor Based on Indacenodithiophene (IDT) Structure and High Electronegative Terminal End Group. Materials, 15(12), 4238. https://doi.org/10.3390/ma15124238

