Synthesis, Structure–Property Evaluation and Biological Assessment of Supramolecular Assemblies of Bioactive Glass with Glycyrrhizic Acid and Its Monoammonium Salt
Abstract
:1. Introduction
2. Materials and Methods
2.1. Synthesis of BG
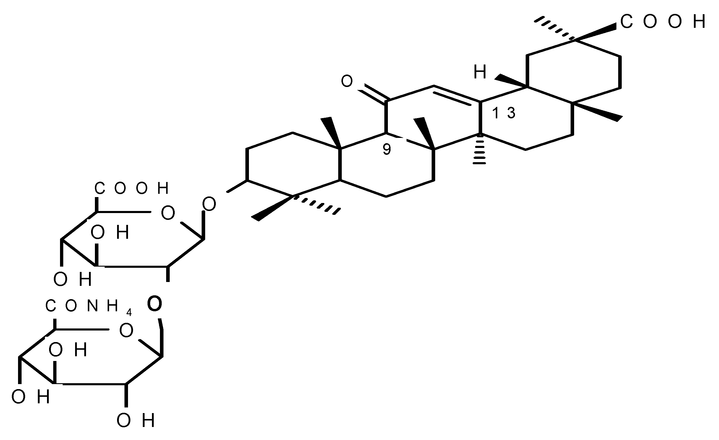
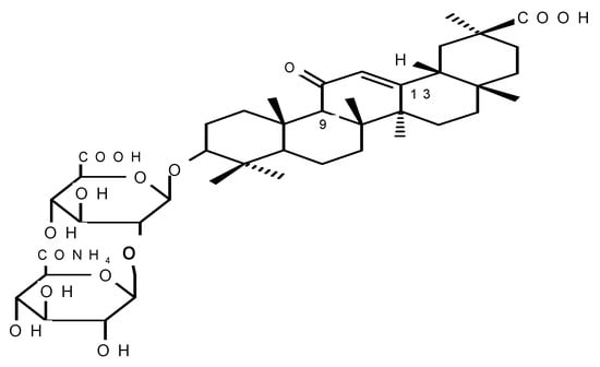
2.2. Preparation of GA and MSGA
2.3. Synthesis GA:BG and MSGA:BG. Supramolecular Assemblies of Bioactive Glass with Glycyrrhizic Acid and Its Salt
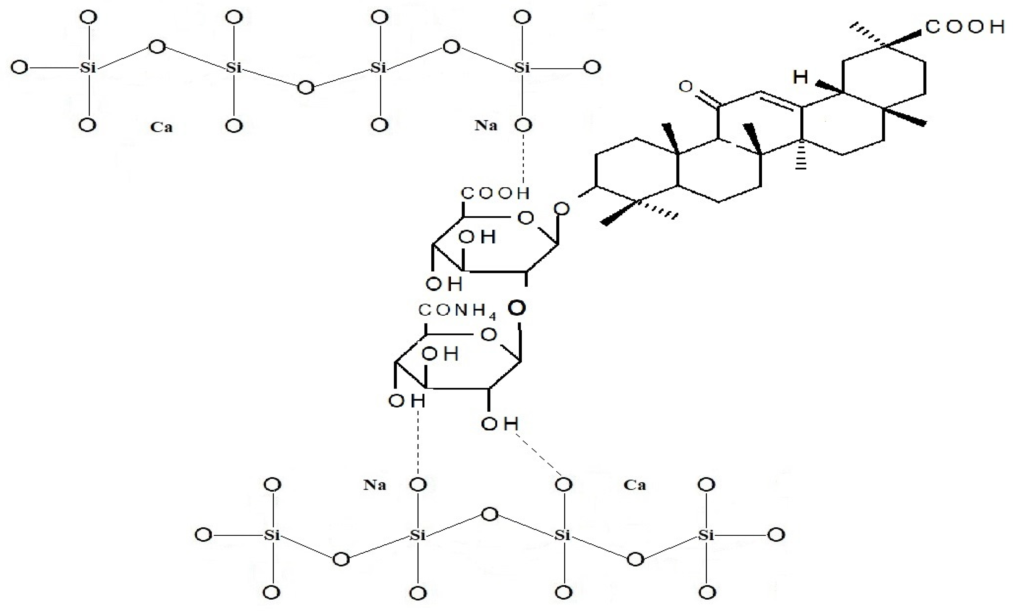
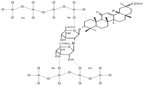
2.4. Structural Characterization of the Supramolecular Assemblies
2.5. Investigation of the Biocompatibility of MSGA:BG Supramolecular Assemblies of BG and MSGA Using BMSCs
2.5.1. Isolation and Cultivation of BMSCs
2.5.2. Determination of Cell Number by DAPI Quantification
2.5.3. Analysis of Cell Viability and Activity of Alkaline Phosphatase
2.6. Statistics
3. Results
3.1. Structural Features of Supramolecular Assemblies MSGA:BG and GA:BG
3.2. Influence of MSGA:BG Complexes on Cell Number, Cell Viability, and ALP Activity
4. Discussion
5. Conclusions
Author Contributions
Funding
Institutional Review Board Statement
Informed Consent Statement
Conflicts of Interest
References
- Krasova, E.G.; Bashura, P.S.; Muravyov, I.A. Investigation of the solubilization of hydrocortisone and prednisolone in aqueous solutions of glycyram. Pharmacy 1978, 27, 532–535. [Google Scholar]
- Li, J.; Xu, D.; Wang, L.; Zhang, M.; Zhang, G.; Li, E.; He, S. Glycyrrhizic Acid Inhibits SARS-CoV-2 Infection by Blocking Spike Protein-Mediated Cell Attachment. Molecules 2021, 26, 6090. [Google Scholar] [CrossRef] [PubMed]
- Yu, S.; Zhu, Y.; Xu, J.; Yao, G.; Zhang, P.; Wang, M.; Zhao, Y.; Lin, G.; Chen, H.; Chen, L.; et al. Glycyrrhizic acid exerts inhibitory activity against the spike protein of SARS-CoV-2. Phytomedicine 2021, 85, 153364. [Google Scholar] [CrossRef] [PubMed]
- Van de Sand, L.; Bormann, M.; Alt, M.; Schipper, L.; Heilingloh, C.S.; Steinmann, E.; Todt, D.; Dittmer, U.; Elsner, C.; Witzke, O.; et al. Glycyrrhizin Effectively Inhibits SARS-CoV-2 Replication by Inhibiting the Viral Main Protease. Viruses 2021, 13, 609. [Google Scholar] [CrossRef] [PubMed]
- Fomenko, V.V.; Rudometova, N.B.; Yarovaya, O.I.; Rogachev, A.D.; Fando, A.A.; Zaykovskaya, A.V.; Komarova, N.I.; Shcherbakov, D.N.; Pyankov, O.V.; Pokrovsky, A.G.; et al. Synthesis and In Vitro Study of Antiviral Activity of Glycyrrhizin Nicotinate Derivatives against HIV-1 Pseudoviruses and SARS-CoV-2 Viruses. Molecules 2022, 27, 295. [Google Scholar] [CrossRef]
- Ramli, E.S.M.; Suhaimi, F.; Fadziyah, S.; Asri, M.; Ahmad, F.; Soelaiman, I.M. Glycyrrhizic acid (GCA) as 11β-hydroxysteroid dehydrogenase inhibitor exerts protective. effect against glucocorticoid-induced osteoporosis. J. Bone Mineral. Metab. 2012, 31, 262–273. [Google Scholar] [CrossRef]
- Amini, A.R.; Laurencin, C.T.; Nukavarapu, S.P. Bone tissue engineering: Recent advances and challenges. Crit. Rev. Biomed. Eng. 2012, 40, 363–408. [Google Scholar] [CrossRef] [Green Version]
- Hench, L. The story of Bioglass. J. Mater. Sci Mater. Med. 2006, 17, 967–978. [Google Scholar] [CrossRef]
- Baino, F.; Hamzehlou, S.; Kargozar, S. Bioactive Glasses: Where Are We and Where Are We Going? J. Funct. Biomater. 2018, 9, 25. [Google Scholar] [CrossRef] [Green Version]
- Tulyaganov, D.U.; Makhkamov, M.E.; Urazbaev, A.; Goel, A.; Ferreira, J.M.F. Synthesis, processing and characterization of a bioactive glass composition for bone regeneration. Ceram. Int. 2013, 39, 2519–2526. [Google Scholar] [CrossRef]
- Schmitz, S.I.; Widholz, B.; Essers, C.; Becker, M.; Tulyaganov, D.U.; Moghaddama, A.; Gonzalo de Juan, I.; Westhauser, F. Superior biocompatibility and comparable osteoinductive properties: Sodium-reduced fluoride-containing bioactive glass belonging to the CaO–MgO–SiO2 system as a promising alternative to 45S5 bioactive glass. Bioact. Mater. 2020, 5, 55–65. [Google Scholar] [CrossRef] [PubMed]
- Hench, L.L.; Roki, N.; Fenn, M.B. Bioactive glasses: Importance of structure and properties in bone regeneration. J. Mol. Struct. 2014, 1073, 24–30. [Google Scholar] [CrossRef]
- Verné, E.; Ferraris, S. Surface Functionalization of Bioactive Glasses: Reactive Groups, Biomolecules and Drugs on Bioactive Surfaces for Smart and Functional Biomaterials. In Bioactive Glasses: Fundamentals, Technology and Applications; Boccaccini, R., Brauer, D.S., Hupa, L., Eds.; Royal Society of Chemistry: London, UK, 2017; pp. 221–235. [Google Scholar]
- Verné, E.; Vitale-Brovarone, C.; Bui, E.; Bianchi, C.L.; Boccaccini, A.R. Surface functionalization of bioactive glasses. J. Biomed. Mater. Res. 2009, 90, 981–992. [Google Scholar] [CrossRef] [PubMed]
- Chen, Q.Z.; Rezwan, K.; Armitage, D.; Nazhat, S.N.; Boccaccini, A.R. The surface functionalization of 45S5 Bioglassr-based glass-ceramic scaffolds and its impact on bioactivity. J. Mater. Sci. Mater. Med. 2006, 17, 979–987. [Google Scholar] [CrossRef]
- Ferrarisa, S.; Vitale-Brovaronea, C.; Bretcanua, O.; Cassinellib, C.; Verné, E. Surface functionalization of 3D glass–ceramic porous scaffolds for enhanced miner-alization in vitro. Appl. Surf. Sci. 2013, 271, 412–420. [Google Scholar] [CrossRef] [Green Version]
- Verné, E.; Ferraris, S.; Vitale-Brovarone, C.; Spriano, S.; Bianchi, C.L.; Naldoni, A.; Morra, M.; Cassinelli, C. Alkaline phosphatase grafting on bioactive glasses and glass ceramics. Acta Biomater. 2010, 6, 229–240. [Google Scholar] [CrossRef] [Green Version]
- Lou, T.; Bai, X.; He, X.; Yuan, C. Antifouling performance analysis of peptide-modified glass microstructural surfaces. Appl. Surf. Sci. 2021, 541, 148384. [Google Scholar] [CrossRef]
- Zhang, X.; Chen, J.; Li, E.; Hu, C.; Luo, S.-Z.; He, C. Ultrahigh Adhesion Force Between Silica-Binding Peptide SB7 and Glass Substrate Studied by Single-Molecule Force Spectroscopy and Molecular Dynamic Simulation. Front. Chem. 2020, 8, 600918. [Google Scholar] [CrossRef]
- Selyutina, O.Y.; Polyakov, N.E. Glycyrrhizic acid as a multifunctional drug carrier—From physicochemical properties to biomedical applications: A modern insight on the ancient drug. Int. J. Pharm. 2019, 559, 271–279. [Google Scholar] [CrossRef]
- Widholz, B.; Tsitlakidis, S.; Reible, B.; Moghaddam, A.; Westhauser, F. Pooling of Patient-Derived Mesenchymal Stromal Cells Reduces Inter-Individual Confounder-Associated Variation without Negative Impact on Cell Viability, Proliferation and Osteogenic Differentiation. Cells 2019, 8, 633. [Google Scholar] [CrossRef] [Green Version]
- Decker, S.; Kunisch, E.; Moghaddam, A.; Renkawitz, T.; Westhauser, F. Molybdenum trioxide enhances viability, osteogenic differentiation and extracellular matrix formation of human bone marrow-derived mesenchymal stromal cells. J. Trace Elem. Med. Biol. 2021, 6, 126827. [Google Scholar] [CrossRef] [PubMed]
- Ligasová, A.; Koberna, K. Quantification of fixed adherent cells using a strong enhancer of the fluorescence of DNA dyes. Sci. Rep. 2019, 18, 8701. [Google Scholar] [CrossRef] [PubMed]
- Wilkesmann, S.; Westhauser, F.; Fellenberg, J. Combined Fluorescence-Based in Vitro Assay for the Simultaneous Detection of Cell Viability and Alkaline Phosphatase Activity during Osteogenic Differentiation of Osteoblast Precursor Cells. Methods Protoc. 2020, 3, 30. [Google Scholar] [CrossRef] [PubMed]
- Sahin, F.; Oznurhan, F. Antibacterial efficacy and remineralization capacity of glycyrrhizic acid added casein phosphopeptide-amorphous calcium phosphate. Microsc. Res. Tech. 2020, 83, 744–754. [Google Scholar] [CrossRef]
- Moore, J.P.; Le, N.T.; Brandt, W.F.; Driouich, A.; Farrant, J.M. Towards a systems-based understanding of plant desiccation tolerance. Trends Plant Sci. 2009, 14, 110–117. [Google Scholar] [CrossRef]
- Cazzola, M.; Vernè, E.; Cochis, A.; Sorrentino, R.; Azzimonti, B.; Prenesti, E.; Rimondini, L.; Ferraris, S. Bioactive glasses functionalized with polyphenols: In vitro interactions with healthy and cancerous osteoblast cells. J. Mater. Sci. 2017, 52, 9211–9223. [Google Scholar] [CrossRef]
- Cazzola, M.; Corazzari, I.; Prenesti, E.; Bertone, E.; Vernè, E.; Ferraris, S. Bioactive glass coupling with natural polyphenols: Surface modification, bioactivity and anti-oxidant ability. Appl. Surf. Sci. 2016, 367, 237–248. [Google Scholar] [CrossRef]
- Zhang, X.; Ferraris, S.; Prenesti, E.; Vernè, E. Surface functionalization of bioactive glasses with natural molecules of biological significance, part II: Grafting of polyphenols extracted from grape skin. Appl. Surf. Sci. 2013, 287, 341–348. [Google Scholar] [CrossRef]
- Messier, C.; Epifano, F.; Genovese, S.; Grenier, D. Licorice and its potential beneficial effects in common oro-dental diseases. Oral Dis. 2012, 18, 32–39. [Google Scholar] [CrossRef]
- Nascimento, M.H.M.d.; de Araújo, D.R. Exploring the Pharmacological Potential of Glycyrrhizic Acid: From Therapeutic Applications to Trends in Nanomedicine. Future Pharmacol. 2022, 2, 1–15. [Google Scholar] [CrossRef]
- Petrova, S.; Schlotgauer, A.; Kruppa, A.I.; Leshina, T.V. Self-Association of Glycyrrhizic Acid. NMR Study. Z. Für Phys. Chem. 2017, 231, 839–855. [Google Scholar] [CrossRef]
- Hu, Y.J.; Liu, Y.; Wang, J.B.; Xiao, X.H.; Qu, S.S. Study of the interaction between monoammonium glycyrrhizinate and bovine serum albumin. J. Pharm. Biomed. Anal. 2004, 36, 915–919. [Google Scholar] [CrossRef]
- Babaeva, D.T.; Esanov, R.S.; Axunov, M.B.; Gafurov, N.R.; Matchanov, A.D. Study of the biological activity of the supramolecular complex of glycyrrhizic and salicylic acids. Chem. Nat. Compd. 2020, 3, 242–245.35. [Google Scholar]
- Matchanov, A.D.; Zaynutdinov, U.N.; Islamov, A.K.H.; Vypova, N.L.; Tashpulatov, F.N.; Matchanov, U.D. Supramolecular Complexes of Glycyrrhizic Acid, its Monoammonium Salt with Diterpenoid Lagochilin and their Hemostatic Activity. Biochem Ind. J. 2017, 11, 1183636. [Google Scholar]
- Kansal, I.; Tulyaganov, D.U.; Goel, A.; Pascual, M.J.; Ferreira, J.M.F. Structural analysis and thermal behavior of diopside-fluorapatite-wollastonite glasses and glass-ceramics. Acta Biomater. 2010, 6, 4380–4388. [Google Scholar] [CrossRef]
- Bruckner, R.; Tylkowski, M.; Hupa, L.; Brauer, D.S. Controlling the ion release from mixed alkali bioactive glasses by varying modifier ionic radii and molar volume. Mater. Chem. B 2016, 4, 3121. [Google Scholar] [CrossRef] [Green Version]
- Vukajlovic, D.; Parker, J.; Bretcanu, O.; Novakovic, K. Chitosan based polymer/bioglass composites for tissue engineering applications. Mater. Sci. Eng. C 2019, 96, 955–967. [Google Scholar] [CrossRef]
- Jones, J.R. Review of bioactive glass: From Hench to hybrids. Acta Biomater. 2013, 9, 4457–4486. [Google Scholar] [CrossRef]
- Vichery, C.; Nedelec, J.-M. Bioactive glass nanoparticles: From synthesis to materials design for biomedical applications. Materials 2016, 9, 288. [Google Scholar] [CrossRef] [Green Version]
- Bai, J.; Xu, J.; Hang, K.; Kuang, Z.; Ying, L.; Zhou, C.; Ni, L.; Wang, Y.; Xue, D. Glycyrrhizic Acid Promotes Osteogenic Differentiation of Human Bone Marrow Stromal Cells by Activating the Wnt/β-Catenin Signaling Pathway. Front. Pharmacol. 2021, 12, 7635. [Google Scholar] [CrossRef]
- Westhauser, F.; Essers, C.; Karadjian, M.; Reible, B.; Schmidmaier, G.; Hagmann, S.; Moghaddam, A. Supplementation with 45S5 Bioactive Glass Reduces In Vivo Resorption of the β-Tricalcium-Phosphate-Based Bone Substitute Material Vitoss. Int. J. Mol. Sci. 2019, 20, 4253. [Google Scholar] [CrossRef] [PubMed] [Green Version]
- Karadjian, M.; Essers, C.; Tsitlakidis, S.; Reible, B.; Moghaddam, A.; Boccaccini, A.R.; Westhauser, F. Biological Properties of Calcium Phosphate Bioactive Glass Composite Bone Substitutes: Current Experimental Evidence. Int. J. Mol. Sci. 2019, 20, 305. [Google Scholar] [CrossRef] [PubMed] [Green Version]
- Li, Y.; Chen, S.K.; Li, L.; Qin, L.; Wang, X.L.; Lai, Y.X. Bone defect animal models for testing efficacy of bone substitute biomaterials. J. Orthop. Translat. 2015, 3, 95–104. [Google Scholar] [CrossRef] [PubMed] [Green Version]






| No. | Supramolecular Assemblies | pH |
|---|---|---|
| 1 | GA:BG 10:1 | 3.29 |
| 2 | GA:BG 20:1 | 3.23 |
| 3 | GA:BG 50:1 | 2.99 |
| 4 | MSGA:BG 10:1 | 4.33 |
| 5 | MSGA:BG 20:1 | 3.92 |
| 6 | MSGA:BG 50:1 | 3.43 |
Publisher’s Note: MDPI stays neutral with regard to jurisdictional claims in published maps and institutional affiliations. |
© 2022 by the authors. Licensee MDPI, Basel, Switzerland. This article is an open access article distributed under the terms and conditions of the Creative Commons Attribution (CC BY) license (https://creativecommons.org/licenses/by/4.0/).
Share and Cite
Matchanov, A.D.; Esanov, R.S.; Renkawitz, T.; Soliev, A.B.; Kunisch, E.; Gonzalo de Juan, I.; Westhauser, F.; Tulyaganov, D.U. Synthesis, Structure–Property Evaluation and Biological Assessment of Supramolecular Assemblies of Bioactive Glass with Glycyrrhizic Acid and Its Monoammonium Salt. Materials 2022, 15, 4197. https://doi.org/10.3390/ma15124197
Matchanov AD, Esanov RS, Renkawitz T, Soliev AB, Kunisch E, Gonzalo de Juan I, Westhauser F, Tulyaganov DU. Synthesis, Structure–Property Evaluation and Biological Assessment of Supramolecular Assemblies of Bioactive Glass with Glycyrrhizic Acid and Its Monoammonium Salt. Materials. 2022; 15(12):4197. https://doi.org/10.3390/ma15124197
Chicago/Turabian StyleMatchanov, Alimjon D., Rakhmat S. Esanov, Tobias Renkawitz, Azamjon B. Soliev, Elke Kunisch, Isabel Gonzalo de Juan, Fabian Westhauser, and Dilshat U. Tulyaganov. 2022. "Synthesis, Structure–Property Evaluation and Biological Assessment of Supramolecular Assemblies of Bioactive Glass with Glycyrrhizic Acid and Its Monoammonium Salt" Materials 15, no. 12: 4197. https://doi.org/10.3390/ma15124197
APA StyleMatchanov, A. D., Esanov, R. S., Renkawitz, T., Soliev, A. B., Kunisch, E., Gonzalo de Juan, I., Westhauser, F., & Tulyaganov, D. U. (2022). Synthesis, Structure–Property Evaluation and Biological Assessment of Supramolecular Assemblies of Bioactive Glass with Glycyrrhizic Acid and Its Monoammonium Salt. Materials, 15(12), 4197. https://doi.org/10.3390/ma15124197

