An Experimental Investigation on the Thermo-Rheological Behaviors of Lactic Acid-Based Natural Deep Eutectic Solvents
Abstract
:1. Introduction
2. Materials & Methods
2.1. Materials
2.2. NADES Preparation
2.3. Rheological Measurements
3. Experimental Methodology
3.1. Shear Flow Measurements
3.2. Oscillation Measurements
3.3. Thermogravimetric Analysis
3.4. Density
3.5. Statistical Analysis of Experimental Data
4. Results and Discussion
4.1. Steady-State Flow
Thermo-Rheological Steady-Flow Behavior
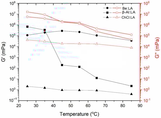
4.2. Oscillatory Tests
4.2.1. Angular Frequency Sweep
4.2.2. Dynamic Temperature Ramp Sweep
4.3. Thermal Stability
5. Mathematical Modeling
6. Conclusions
Supplementary Materials
Author Contributions
Funding
Institutional Review Board Statement
Informed Consent Statement
Data Availability Statement
Conflicts of Interest
Nomenclature
| β-Al | β-Alanine |
| AV | Apparent Viscosity |
| Be | Betaine |
| ChCl | Choline Chloride |
| HBAs | Hydrogen Bond Acceptors |
| HBD | Hydrogen Bond Donor |
| ILs | Ionic Liquids |
| LA | Lactic Acid |
| LVR | Linear Viscoelastic Region |
| NADES | Natural Deep Eutectic Solvents |
| TGA | Thermogravimetry Analysis |
References
- Tebel, K.H. An Introduction to Rheology. Von H. A. Barnes, J.F. Hutton undK. Walters. Elsevier Science Publishers, Amsterdam—New York 1989. IX, 199 S., zahlr. Abb. u. Tab., geb., US-$60,50. Chem. Ing. Tech. 1990, 62, 457. [Google Scholar] [CrossRef]
- Malkin, A.Y.; Isayev, A.I. Rheology: Concepts, Methods, and Applications, 2nd ed.; Elsevier: Amsterdam, The Netherlands, 2011; ISBN 9781895198492. [Google Scholar]
- Sheldon, R.A. The E factor 25 years on: The rise of green chemistry and sustainability. Green Chem. 2017, 19, 18–43. [Google Scholar] [CrossRef]
- Kümmerer, K. Sustainable Chemistry: A Future Guiding Principle. Angew. Chem. Int. Ed. 2017, 56, 16420–16421. [Google Scholar] [CrossRef] [PubMed]
- Liu, Y.; Friesen, J.B.; McAlpine, J.B.; Lankin, D.C.; Chen, S.N.; Pauli, G.F. Natural Deep Eutectic Solvents: Properties, Applications, and Perspectives. J. Nat. Prod. 2018, 81, 679–690. [Google Scholar] [CrossRef] [PubMed]
- Vanda, H.; Dai, Y.; Wilson, E.G.; Verpoorte, R.; Choi, Y.H. Green solvents from ionic liquids and deep eutectic solvents to natural deep eutectic solvents. Comptes Rendus Chim. 2018, 21, 628–638. [Google Scholar] [CrossRef]
- Zhang, K.; Hou, Y.; Wang, Y.; Wang, K.; Ren, S.; Wu, W. Efficient and Reversible Absorption of CO2 by Functional Deep Eutectic Solvents. Energy Fuels 2018, 32, 7727–7733. [Google Scholar] [CrossRef]
- Francisco, M.; van den Bruinhorst, A.; Zubeir, L.F.; Peters, C.J.; Kroon, M.C. A new low transition temperature mixture (LTTM) formed by choline chloride+lactic acid: Characterization as solvent for CO2 capture. Fluid Phase Equilib. 2013, 340, 77–84. [Google Scholar] [CrossRef]
- Elhamarnah, Y.A.; Nasser, M.; Qiblawey, H.; Benamor, A.; Atilhan, M.; Aparicio, S. A comprehensive review on the rheological behavior of imidazolium based ionic liquids and natural deep eutectic solvents. J. Mol. Liq. 2019, 277, 932–958. [Google Scholar] [CrossRef]
- Lapeña, D.; Lomba, L.; Artal, M.; Lafuente, C.; Giner, B. The NADES glyceline as a potential Green Solvent: A comprehensive study of its thermophysical properties and effect of water inclusion. J. Chem. Thermodyn. 2019, 128, 164–172. [Google Scholar] [CrossRef] [Green Version]
- Paiva, A.; Craveiro, R.; Aroso, I.; Martins, M.; Reis, R.L.; Duarte, A.R.C. ChemInform Abstract: Natural Deep Eutectic Solvents—Solvents for the 21st Century. ChemInform 2014, 45, 1063–1071. [Google Scholar] [CrossRef]
- Aissaoui, T.; Alnashef, I.M.; Qureshi, U.A.; Benguerba, Y. Potential applications of deep eutectic solvents in natural gas sweetening for CO2 capture. Rev. Chem. Eng. 2017, 33, 523–550. [Google Scholar] [CrossRef]
- Dai, Y.; Witkamp, G.J.; Verpoorte, R.; Choi, Y.H. Natural deep eutectic solvents as a new extraction media for phenolic metabolites in Carthamus tinctorius L. Anal. Chem. 2013, 85, 6272–6278. [Google Scholar] [CrossRef] [PubMed]
- Chemat, F.; Anjum, H.; Shariff, A.M.; Kumar, P.; Murugesan, T. Thermal and physical properties of (Choline chloride + urea + l-arginine) deep eutectic solvents. J. Mol. Liq. 2016, 218, 301–308. [Google Scholar] [CrossRef]
- Dai, Y.; Verpoorte, R.; Choi, Y.H. Natural deep eutectic solvents providing enhanced stability of natural colorants from safflower (Carthamus tinctorius). Food Chem. 2014, 159, 116–121. [Google Scholar] [CrossRef] [PubMed]
- Brett, C.M.A. Deep eutectic solvents and applications in electrochemical sensing. Curr. Opin. Electrochem. 2018, 10, 143–148. [Google Scholar] [CrossRef]
- Mano, F.; Aroso, I.M.; Barreiros, S.; Borges, J.P.; Reis, R.L.; Duarte, A.R.C.; Paiva, A. Production of poly(vinyl alcohol) (PVA) fibers with encapsulated natural deep eutectic solvent (NADES) using electrospinning. ACS Sustain. Chem. Eng. 2015, 3, 2504–2509. [Google Scholar] [CrossRef] [Green Version]
- Shakeel, A.; Farooq, U.; Iqbal, T.; Yasin, S.; Lupi, F.R.; Gabriele, D. Key characteristics and modelling of bigels systems: A review. Mater. Sci. Eng. C 2019, 97, 932–953. [Google Scholar] [CrossRef]
- Elhamarnah, Y.; Qiblawey, H.; Nasser, M.S.; Benamor, A. Thermo-rheological characterization of Malic Acid based Natural Deep Eutectic Solvents. Sci. Total Environ. 2020, 708, 134848. [Google Scholar] [CrossRef]
- Altamash, T.; Atilhan, M.; Aliyan, A.; Ullah, R.; Nasser, M.; Aparicio, S. Rheological, Thermodynamic, and Gas Solubility Properties of Phenylacetic Acid-Based Deep Eutectic Solvents. Chem. Eng. Technol. 2017, 40, 778–790. [Google Scholar] [CrossRef]
- Ghaedi, H.; Ayoub, M.; Sufian, S.; Shariff, A.M.; Lal, B. The study on temperature dependence of viscosity and surface tension of several Phosphonium-based deep eutectic solvents. J. Mol. Liq. 2017, 241, 500–510. [Google Scholar] [CrossRef]
- Das, A.K.; Sharma, M.; Mondal, D.; Prasad, K. Deep eutectic solvents as efficient solvent system for the extraction of κ-carrageenan from Kappaphycus alvarezii. Carbohydr. Polym. 2016, 136, 930–935. [Google Scholar] [CrossRef] [PubMed]
- Mbous, Y.P.; Hayyan, M.; Hayyan, A.; Wong, W.F.; Hashim, M.A.; Looi, C.Y. Applications of deep eutectic solvents in biotechnology and bioengineering—Promises and challenges. Biotechnol. Adv. 2017, 35, 105–134. [Google Scholar] [CrossRef] [PubMed]
- Ge, X.; Gu, C.; Wang, X.; Tu, J. Deep eutectic solvents (DESs)-derived advanced functional materials for energy and environmental applications: Challenges, opportunities, and future vision. J. Mater. Chem. A 2017, 5, 8209–8229. [Google Scholar] [CrossRef]
- Li, X.; Row, K.H. Development of deep eutectic solvents applied in extraction and separation. J. Sep. Sci. 2016, 39, 3505–3520. [Google Scholar] [CrossRef] [PubMed]
- Smith, E.L. Deep eutectic solvents (DESs) and the metal finishing industry: Where are they now? Trans. IMF 2013, 91, 241–248. [Google Scholar] [CrossRef]
- Troter, D.Z.; Todorović, Z.B.; Dokić-Stojanović, D.R.; Stamenković, O.S.; Veljković, V.B. Application of ionic liquids and deep eutectic solvents in biodiesel production: A review. Renew. Sustain. Energy Rev. 2016, 61, 473–500. [Google Scholar] [CrossRef]
- Boldrini, C.L.; Manfredi, N.; Perna, F.M.; Trifiletti, V.; Capriati, V.; Abbotto, A. Dye-Sensitized Solar Cells that use an Aqueous Choline Chloride-Based Deep Eutectic Solvent as Effective Electrolyte Solution. Energy Technol. 2017, 5, 345–353. [Google Scholar] [CrossRef]
- Chakrabarti, M.H.; Mjalli, F.S.; Alnashef, I.M.; Hashim, M.A.; Hussain, M.A.; Bahadori, L.; Low, C.T.J. Prospects of applying ionic liquids and deep eutectic solvents for renewable energy storage by means of redox flow batteries. Renew. Sustain. Energy Rev. 2014, 30, 254–270. [Google Scholar] [CrossRef]
- Altamash, T.; Nasser, M.S.; Elhamarnah, Y.; Magzoub, M.; Ullah, R.; Qiblawey, H.; Aparicio, S.; Atilhan, M. Gas solubility and rheological behavior study of betaine and alanine based natural deep eutectic solvents (NADES). J. Mol. Liq. 2018, 256, 286–295. [Google Scholar] [CrossRef] [Green Version]
- Elhamarnah, Y. Thermo-Rheological Characterization of Natural Deep Eutectic Solvents (Nades) Used in CO2 Capture. Master’s Thesis, Qatar University, Doha, Qatar, 2019; p. 55. [Google Scholar]
- Qiblawey, H.; Arshad, M.; Easa, A.; Atilhan, M. Viscosity and density of ternary solution of calcium chloride + sodium chloride + water from T = (293.15 to 323.15) K. J. Chem. Eng. Data 2014, 59, 2133–2143. [Google Scholar] [CrossRef]
- Craveiro, R.P.P. Engineering Bio-Based Polymers Using Alternative Solvents and Processes. Ph.D. Thesis, Universidade NOVA de Lisboa, Lisbon, Portugal, 2015; p. 166. [Google Scholar]
- Gonsior, N.; Hetzer, M.; Kulicke, W.M.; Ritter, H. First studies on the influence of methylated β-cyclodextrin on the rheological behavior of 1-ethyl-3-methyl imidazolium acetate. J. Phys. Chem. B 2010, 114, 12468–12472. [Google Scholar] [CrossRef] [PubMed]
- Altamash, T.; Nasser, M.S.; Elhamarnah, Y.; Magzoub, M.; Ullah, R.; Anaya, B.; Aparicio, S.; Atilhan, M. Gas Solubility and Rheological Behavior of Natural Deep Eutectic Solvents (NADES) via Combined Experimental and Molecular Simulation Techniques. ChemistrySelect 2017, 2, 7278–7295. [Google Scholar] [CrossRef]
- Ullah, R.; Atilhan, M.; Anaya, B.; Khraisheh, M.; García, G.; Elkhattat, A.; Tariq, M.; Aparicio, S. A detailed study of cholinium chloride and levulinic acid deep eutectic solvent system for CO2 capture via experimental and molecular simulation approaches. Phys. Chem. Chem. Phys. 2015, 17, 20941–20960. [Google Scholar] [CrossRef] [PubMed] [Green Version]
- García, G.; Aparicio, S.; Ullah, R.; Atilhan, M. Deep Eutectic Solvents: Physicochemical Properties and Gas Separation Applications. Energy Fuels 2015, 29, 2616–2644. [Google Scholar] [CrossRef]
- Al-Sadat, W.; Nasser, M.S.; Chang, F.; Nasr-El-Din, H.A.; Hussein, I.A. Rheology of a viscoelastic zwitterionic surfactant used in acid stimulation: Effects of surfactant and electrolyte concentration. J. Pet. Sci. Eng. 2014, 124, 341–349. [Google Scholar] [CrossRef]
- Sharma, M.; Mukesh, C.; Mondal, D.; Prasad, K. Dissolution of α-chitin in deep eutectic solvents. RSC Adv. 2013, 3, 18149. [Google Scholar] [CrossRef]
- Hughes, R. Practical Rheology. In Colloid Science; Kap.11; Cosgrove, T., Ed.; Wiley-Blackwell: London, UK, 2005; pp. 1–3. [Google Scholar] [CrossRef]
- Liddell, P.V.; Boger, D.V. Yield stress measurements with the vane. J. Nonnewton. Fluid Mech. 1996, 63, 235–261. [Google Scholar] [CrossRef]








| SN | Chemical | Chemical Structure | HBA/HBD | Remark at Room Temperature |
|---|---|---|---|---|
| 1 | Choline chloride | ![]() | HBA | Solid powder |
| 2 | Betaine | ![]() | HBA | Solid Powder |
| 3 | β-alanine | ![]() | HBA | Solid Powder |
| 4 | Lactic acid | ![]() | HBD | Viscous liquid |
| SN | NADES | Abbreviation | Molar Ratio | Water Content (ppm) | Water Content (%) |
|---|---|---|---|---|---|
| 1 | Choline chloride:lactic acid | ChCl:LA | 1:1 | 27,787 | 2.8 |
| 2 | Betaine:lactic acid | Be:LA | 1:1 | 7631 | 0.7 |
| 3 | β-alanine:lactic acid | β-Al:LA | 1:1 | 44,417 | 4.4 |
| Temperature (°C) | τo (mPa) | ɳo (mPa·s) | R2 | |
|---|---|---|---|---|
| β-Al:LA | 25 | 338,000 | 15,600 | 0.9811 |
| 45 | 11,214 | 3164.5 | 0.9995 | |
| 65 | 578.48 | 783.23 | 1.0000 | |
| 85 | 222.14 | 279.13 | 1.0000 | |
| Be:LA | 25 | 233,000 | 11,300 | 0.9860 |
| 45 | 27,389 | 3975.9 | 0.9985 | |
| 65 | 2656.5 | 818.19 | 0.9999 | |
| 85 | 974.50 | 268.56 | 1.0000 | |
| ChCl:LA | 25 | 0.0181 | 0.4003 | 1.0000 |
| 45 | 0.0056 | 0.1556 | 1.0000 | |
| 65 | 0.0244 | 0.0790 | 1.0000 | |
| 85 | 0.0153 | 0.0393 | 1.0000 |
Publisher’s Note: MDPI stays neutral with regard to jurisdictional claims in published maps and institutional affiliations. |
© 2022 by the authors. Licensee MDPI, Basel, Switzerland. This article is an open access article distributed under the terms and conditions of the Creative Commons Attribution (CC BY) license (https://creativecommons.org/licenses/by/4.0/).
Share and Cite
Elhamarnah, Y.; AlRasheedi, M.; AlMarri, W.; AlBadr, A.; AlMalki, A.; Mohamed, N.; Fatima, I.; Nasser, M.; Qiblawey, H. An Experimental Investigation on the Thermo-Rheological Behaviors of Lactic Acid-Based Natural Deep Eutectic Solvents. Materials 2022, 15, 4027. https://doi.org/10.3390/ma15114027
Elhamarnah Y, AlRasheedi M, AlMarri W, AlBadr A, AlMalki A, Mohamed N, Fatima I, Nasser M, Qiblawey H. An Experimental Investigation on the Thermo-Rheological Behaviors of Lactic Acid-Based Natural Deep Eutectic Solvents. Materials. 2022; 15(11):4027. https://doi.org/10.3390/ma15114027
Chicago/Turabian StyleElhamarnah, Yousef, Mashael AlRasheedi, Wadha AlMarri, Asma AlBadr, Alanoud AlMalki, Nora Mohamed, Izzah Fatima, Mustafa Nasser, and Hazim Qiblawey. 2022. "An Experimental Investigation on the Thermo-Rheological Behaviors of Lactic Acid-Based Natural Deep Eutectic Solvents" Materials 15, no. 11: 4027. https://doi.org/10.3390/ma15114027
APA StyleElhamarnah, Y., AlRasheedi, M., AlMarri, W., AlBadr, A., AlMalki, A., Mohamed, N., Fatima, I., Nasser, M., & Qiblawey, H. (2022). An Experimental Investigation on the Thermo-Rheological Behaviors of Lactic Acid-Based Natural Deep Eutectic Solvents. Materials, 15(11), 4027. https://doi.org/10.3390/ma15114027





