Experimental Study on the Effect of Gradient Interface on the Mechanical Properties of Cu/WCP Functionally Gradient Materials Using Digital Image Correlation Technique
Abstract
1. Introduction
2. Materials and Methods
2.1. Preparation of Functionally Gradient Materials
2.2. Digital Image Correlation Method
2.2.1. Basic Principles of Digital Image Correlation
2.2.2. Specimen Preparation and Experimental Set Up
3. Experimental Details
4. Results and Discussion
4.1. Mechanical Properties of Cu/WCP Composites
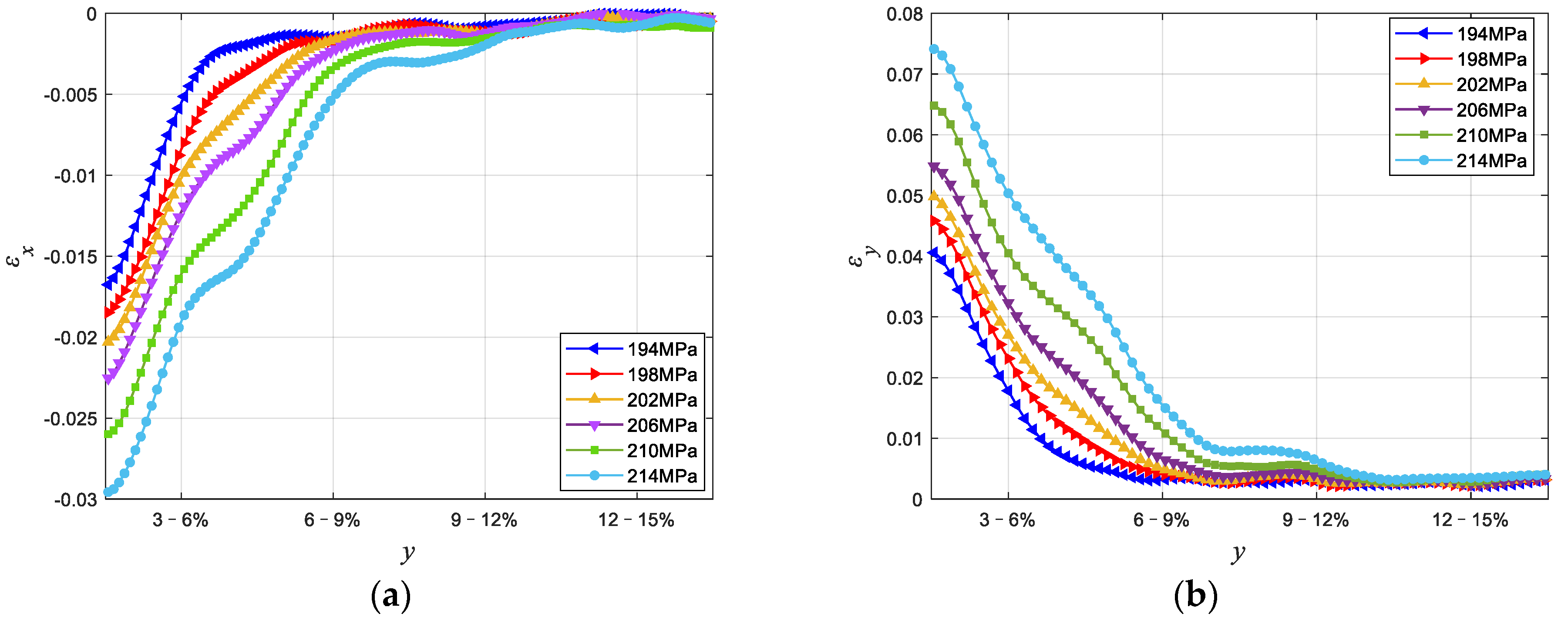
4.2. Effect of Gradient Interface on the Mechanical Properties of Cu/WCP Functionally Gradient Materials
4.3. Fracture Location Analysis
5. Conclusions
Author Contributions
Funding
Institutional Review Board Statement
Informed Consent Statement
Data Availability Statement
Conflicts of Interest
Abbreviations
| DIC | Digital Image Correlation |
| FGMs | Functionally Gradient Materials |
References
- Kawasaki, A.; Watanabe, R. Finite element analysis of thermal stress of the metal/ceramic multi-layer composites with compositional gradients. J. Jpn. Inst. Met. 1987, 51, 525–529. [Google Scholar] [CrossRef]
- Erdemir, E.; Canakci, A.; Varol, T. Microstructural characterization and mechanical properties of functionally graded Al2024/SiC composites prepared by powder metallurgy techniques. T. Nonferr. Metal. Soc. 2015, 25, 3569–3577. [Google Scholar] [CrossRef]
- Hirshikesh, S.; Natarajan, S.; Annabattula, R.K.; Pañeda, E.M. Phase field modelling of crack propagation in functionally graded materials. Compos. Part B Eng. 2019, 169, 239–248. [Google Scholar] [CrossRef]
- Li, H.; Lambros, J.; Cheeseman, B.A.; Santare, M.H. Experimental investigation of the quasi-static fracture of functionally graded materials. Int. J. Solids. Struct. 2000, 37, 3715–3732. [Google Scholar] [CrossRef]
- Zhang, C.; Chen, F.; Huang, Z.F.; Jia, M.Y.; Chen, G.Y.; Ye, Y.Q.; Lin, Y.J.; Liu, W.; Chen, B.Q.; Shen, Q.; et al. Additive manufacturing of functionally graded materials: A review. Mater. Sci. Eng. A 2019, 764, 138209. [Google Scholar] [CrossRef]
- Tilbrook, M.T.; Rozenburg, K.; Steffler, E.D.; Rutgers, L.; Hoffman, M. Crack propagation paths in layered, graded composites. Compos. Part B Eng. 2006, 37, 490–498. [Google Scholar] [CrossRef]
- Fulland, M.; Steigemann, M.; Richard, H.A.; Neugebauer, M.S. Development of stress intensities for cracks in FGMs with orientation perpendicular and parallel to the gradation. Eng. Fract. Mech. 2012, 95, 37–44. [Google Scholar] [CrossRef]
- Sola, A.; Bellucci, D.; Cannillo, V. Functionally graded materials for orthopedic applications-an update on design and manufacturing. Biotechnol. Adv. 2016, 24, 504–531. [Google Scholar] [CrossRef]
- Uzun, H.; Lindley, T.C.; Mcshane, H.B.; Rawlings, R.D. Fatigue crack growth behavior of 2124/SiC/10p functionally graded materials. Metall. Mater. Trans. A 2001, 32, 1831–1839. [Google Scholar] [CrossRef]
- Xu, F.M.; Zhu, S.J.; Zhao, J.; Qi, M.; Wang, F.G.; Li, S.X.; Wang, Z.G. Fatigue crack growth in SiC particulates reinforced Al matrix graded composite. Mater. Sci. Eng. A 2003, 360, 191–196. [Google Scholar] [CrossRef]
- Marur, P.R.; Tippur, H.V. Numerical analysis of crack-tip fields in functionally graded materials with a crack normal to the elastic gradient. Int. J. Solids. Struct. 2000, 37, 5353–5370. [Google Scholar] [CrossRef]
- Paneda, E.M.; Gallego, R. Numerical analysis of quasi-static fracture in functionally graded materials. Int. J. Mech. Mater. Des. 2015, 11, 405–424. [Google Scholar] [CrossRef]
- Anlas, G.; Santare, M.H.; Lambros, J. Numerical calculation of stress intensity factors in functionally graded materials. Int. J. Fract. 2000, 104, 131–143. [Google Scholar] [CrossRef]
- Berezovski, A.; Engelbrecht, J.; Maugin, G.A. Stress wave propagation in functionally graded materials. In Proceedings of the 5th World Congress on Ultrasonics, Paris, France, 7–10 September 2003; pp. 507–509. [Google Scholar]
- Kan, W.H.; Albino, C.; Dias-da-Costa, D.; Dolman, K.; Lucey, T.; Tang, X.; Chang, L.; Proust, G.; Cairney, J. Microstructure characterisation and mechanical properties of a functionally-graded NbC/high chromium white cast iron composite. Mater. Charact. 2018, 136, 196–205. [Google Scholar] [CrossRef]
- Bruck, H.A.; McNeill, S.R.; Sutton, M.A.; Peters, W.H. Digital image correlation using Newton-Raphson method of partial differential correction. Exp. Mech. 1989, 29, 261–267. [Google Scholar] [CrossRef]
- Pan, B.; Xie, H.M.; Xu, B.Q.; Dai, F.L. Performance of sub-pixel registration algorithms in digital image correlation. Meas. Sci. Technol. 2006, 17, 1615–1621. [Google Scholar]
- Henriques, J.; Xavier, J.; Andrade-Campos, A. Identification of orthotropic elastic properties of wood by a synthetic image approach based on digital image correlation. Materials 2022, 15, 625. [Google Scholar] [CrossRef]
- Kopfler, C.; Yoshida, S.; Ghimire, A. Application of Digital Image Correlation in Space and Frequency Domains to Deformation Analysis of Polymer Film. Materials 2022, 15, 1842. [Google Scholar] [CrossRef]
- Abood, A.M.; Khazal, H.; Hassan, A.F. Evaluation of mixed-mode stress intensity factor and T-stress in continuous epoxy glass functionally graded beam using digital image correlation. Mater. Today, 2021; in press. [Google Scholar]
- Khazal, H.; Hassan, A.; Farouq, W.; Bayesteh, H. Computation of fracture parameters in stepwise functionally graded materials using digital Image correlation technique. Mater. Perform. Charact. 2019, 8, 344–354. [Google Scholar] [CrossRef]
- Farouq, W.; Khazal, H.; Hassan, A.K.F. Fracture analysis of functionally graded material using digital image correlation technique and extended element-free Galerkin method. Opt. Laser. Eng. 2019, 121, 307–322. [Google Scholar] [CrossRef]
- Abanto-Bueno, J.; Lambros, J. Investigation of crack growth in functionally graded materials using digital image correlation. Eng. Fract. Mech. 2002, 69, 1695–1711. [Google Scholar] [CrossRef]
- Pan, B.; Qian, K.; Xie, H.; Asundi, A. Two-dimensional digital image correlation for in-plane displacement and strain measurement: A review. Meas. Sci. Technol. 2009, 20, 062001. [Google Scholar] [CrossRef]
- Pan, B.; Xie, H.; Wang, Z. Equivalence of digital image correlation criteria for pattern matching. Appl. Opt. 2010, 49, 5501–5509. [Google Scholar] [CrossRef] [PubMed]
- Pan, B.; Wang, Z.; Lu, Z. Genuine full-field deformation measurement of an object with complex shape using reliability-guided digital image correlation. Opt. Express 2010, 19, 1011–1023. [Google Scholar] [CrossRef]
- Lu, H.; Cary, P.D. Deformation measurements by digital image correlation: Implementation of a second-order displacement gradient. Exp. Mech. 2000, 40, 393–400. [Google Scholar] [CrossRef]
- Schreier, H.W.; Sutton, M.A. Systematic errors in digital image correlation due to undermatched subset shape functions. Exp. Mech. 2002, 42, 303–310. [Google Scholar] [CrossRef]
- Baker, S.; Matthews, I. Lucas-Kanade 20 Years On: A Unifying Framework. Int. J. Comput. Vision. 2004, 56, 221–255. [Google Scholar] [CrossRef]
- Schreier, H.W.; Braasch, J.R.; Sutton, M.A. Systematic errors in digital image correlation caused by intensity interpolation. Opt. Eng. 2000, 39, 2915–2921. [Google Scholar] [CrossRef]
- Pan, B. Reliability-guided digital image correlation for image deformation measurement. Appl. Opt. 2009, 48, 1535–1542. [Google Scholar] [CrossRef]
- Pan, B.; Lu, Z.X.; Xie, H.M. Mean intensity gradient: An effective global parameter for quality assessment of the speckle patterns used in digital image correlation. Opt. Lasers. Eng. 2010, 48, 469–477. [Google Scholar] [CrossRef]
- Sun, Y.F.; Pang, J.H.L.; Wong, C.K.; Su, F. Finite element formulation for a digital image correlation method. Appl. Opt. 2005, 44, 7357–7363. [Google Scholar] [CrossRef] [PubMed]
- Besnard, G.; Hild, F.; Roux, S. Finite-element displacement fields analysis from digital images: Application to Portevin-Le Châtelier bands. Exp. Mech. 2006, 46, 789–803. [Google Scholar] [CrossRef]
- Ma, S.P.; Zhao, Z.; Wang, X. Mesh-based digital image correlation method using higher order isoparametric elements. J. Strain Anal. Eng. Des. 2012, 47, 163–175. [Google Scholar] [CrossRef]
- Réthoré, J.; Roux, S.; Hild, F. From pictures to extended finite elements: Extended digital image correlation (X-DIC). Comptes Rendus Mécanique 2007, 335, 131–137. [Google Scholar] [CrossRef]
- Réthoré, J.; Elguedj, T.; Simon, P.; Coret, M. On the use of NURBS functions for displacement derivatives measurement by digital image correlation. Exp. Mech. 2010, 50, 1099–1116. [Google Scholar] [CrossRef]
- Beeck, J.V.; Neggers, J.; Schreurs, P.J.G.; Hoefnagels, J.P.M.; Geers, M.G.D. Quantification of three-dimensional surface deformation using global digital image correlation. Exp. Mech. 2014, 54, 557–570. [Google Scholar] [CrossRef][Green Version]
- Besnard, G.; Leclerc, H.; Hild, F.; Roux, S.; Swiergiel, N. Analysis of image series through global digital image correlation. J. Strain Anal. Eng. Des. 2012, 47, 214–228. [Google Scholar] [CrossRef]
- Yang, R. A regularized finite-element digital image correlation for irregular displacement field. Opt. Laser. Eng. 2014, 56, 67–73. [Google Scholar] [CrossRef]
- Passieux, J.C.; Périé, J.N. High resolution digital image correlation using proper generalized decomposition: PGD-DIC. Int. J. Numer. Methods Eng. 2012, 92, 531–550. [Google Scholar] [CrossRef]
- Wang, X.; Ma, S.P. Mesh-based digital image correlation method using non-uniform elements for measuring displacement fields with high gradient. Exp. Mech. 2014, 54, 1545–1554. [Google Scholar] [CrossRef]
- Wittevrongel, L.; Lava, P.; Lomov, S.V.; Debruyne, D. A self adaptive global digital image correlation algorithm. Exp. Mech. 2015, 55, 361–378. [Google Scholar] [CrossRef]
- Wang, B.; Pan, B. Subset-based local vs. finite element-based global digital image correlation: A comparison study. Theor. Appl. Mech. Lett. 2016, 6, 200–208. [Google Scholar] [CrossRef]
- Zhou, P.; Goodson, K.E. Sub-pixel displacement and deformation gradient measurement using digital image/speckle correlation (DISC). Opt. Eng. 2001, 40, 1613–1620. [Google Scholar] [CrossRef]











| WC Content | Poisson Ratio | Elastic Modulus (GPa) | Tensile Strength (MPa) |
|---|---|---|---|
| 3% | 0.36 | 116 | 219 |
| 6% | 0.345 | 121 | 242 |
| 9% | 0.335 | 127 | 264 |
| 12% | 0.327 | 133 | 289 |
| 15% | 0.32 | 139 | 307 |
Publisher’s Note: MDPI stays neutral with regard to jurisdictional claims in published maps and institutional affiliations. |
© 2022 by the authors. Licensee MDPI, Basel, Switzerland. This article is an open access article distributed under the terms and conditions of the Creative Commons Attribution (CC BY) license (https://creativecommons.org/licenses/by/4.0/).
Share and Cite
Yu, H.; Liu, Y.; Hu, Y.; Ta, M. Experimental Study on the Effect of Gradient Interface on the Mechanical Properties of Cu/WCP Functionally Gradient Materials Using Digital Image Correlation Technique. Materials 2022, 15, 4004. https://doi.org/10.3390/ma15114004
Yu H, Liu Y, Hu Y, Ta M. Experimental Study on the Effect of Gradient Interface on the Mechanical Properties of Cu/WCP Functionally Gradient Materials Using Digital Image Correlation Technique. Materials. 2022; 15(11):4004. https://doi.org/10.3390/ma15114004
Chicago/Turabian StyleYu, Hai, Yunpeng Liu, Yunxiang Hu, and Mingyang Ta. 2022. "Experimental Study on the Effect of Gradient Interface on the Mechanical Properties of Cu/WCP Functionally Gradient Materials Using Digital Image Correlation Technique" Materials 15, no. 11: 4004. https://doi.org/10.3390/ma15114004
APA StyleYu, H., Liu, Y., Hu, Y., & Ta, M. (2022). Experimental Study on the Effect of Gradient Interface on the Mechanical Properties of Cu/WCP Functionally Gradient Materials Using Digital Image Correlation Technique. Materials, 15(11), 4004. https://doi.org/10.3390/ma15114004

