Numerical Simulation Study of Expanding Fracture of 45 Steel Cylindrical Shell under Different Detonation Pressure
Abstract
:1. Introduction
2. Experimental Phenomenon of Fracture of Metal Cylindrical Shell
3. SPH Numerical Simulation Model and Verification
3.1. Model Construction
3.2. Material Parameters of the Model
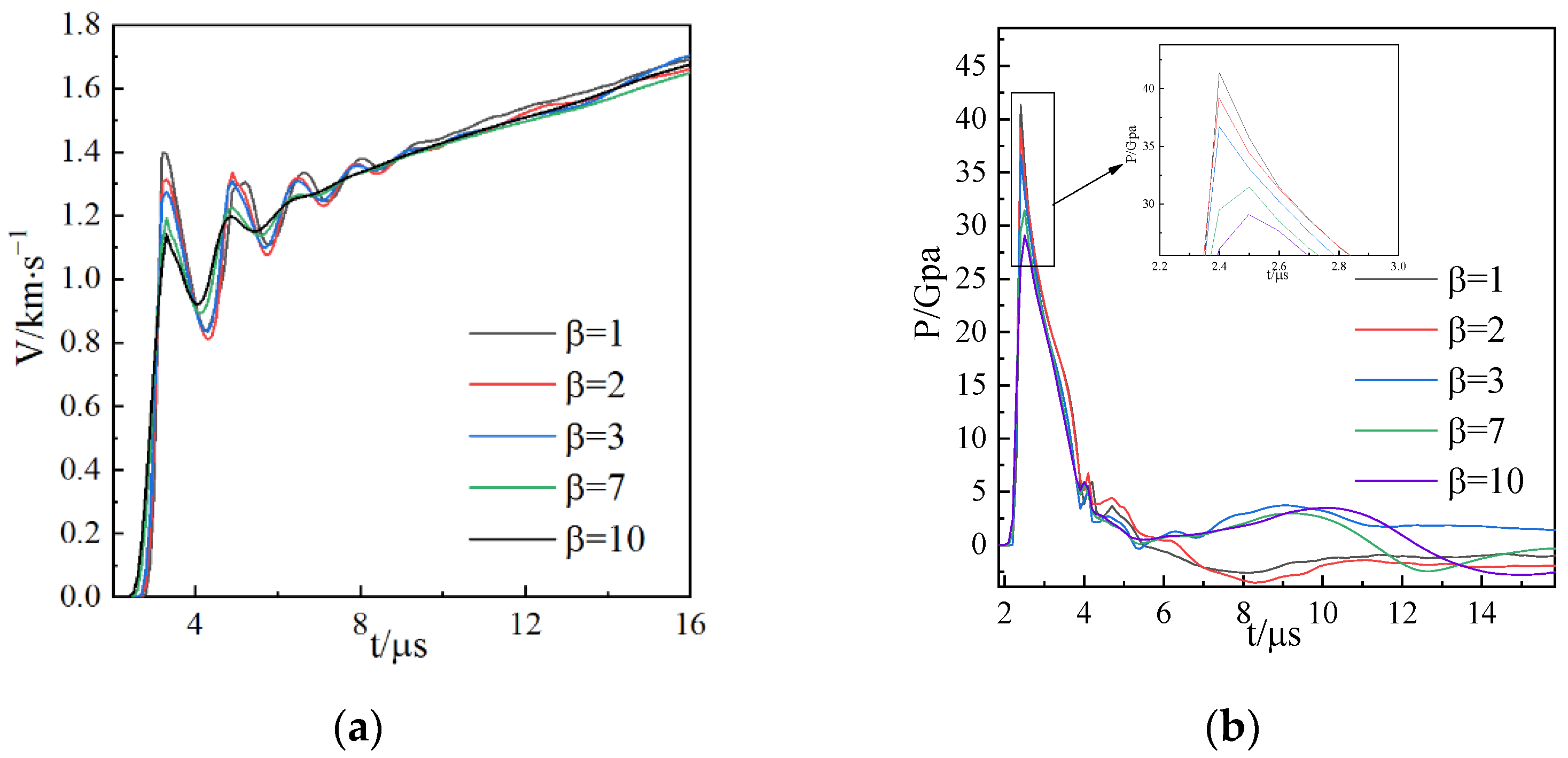
3.3. Validation of Numerical Models
4. Fracture Results and Analysis of 45 Steel Cylindrical Shell under Different Detonation Pressure
4.1. Numerical Simulation Models
4.2. Numerical Results and Analysis
5. Conclusions
- The experimental end-state fragmentation phenomenon of shear and tensile–shear mixed fracture under different explosive conditions can be simulated well by the SPH numerical model with a unified material constitutive and fracture model.
- As the detonation pressure decreases, the fracture mode of 45 steel cylindrical shell changes from pure shear to tensile–shear mixed fracture. Cracks always form in the middle of shell thickness.
- Under higher detonation pressure loading (JOB9003, RHT-901), the crack initiation and fracture of the 45 steel cylindrical shell occur during the loading stage; the failure of the cylindrical shell begins at mid-thickness in which the plastic strain accumulation is at its maximum. It spreads in the shear direction to the inner and outer walls, resulting in pure shear fracture mode.
- As the detonation loading pressure decreases, loaded by explosives of TNT and HNS, on account of the initial fracture occurring during the loading stage, the fracture still begins from the middle of the shell thickness and spreads along the shear direction to the inner and outer walls. When the cylindrical shell expands to the free expansion stage, the unbroken area is under circumferential tensile stress, resulting in a phenomenon known as “necking”. The growing crack turns to the radial direction along the “necking” area, resulting in a tensile–shear mixed fracture mode. Furthermore, the lower the explosion pressure, the earlier the cylindrical shells enter the free expansion stage and the higher proportion of final tensile cracks.
Author Contributions
Funding
Institutional Review Board Statement
Informed Consent Statement
Data Availability Statement
Conflicts of Interest
References
- Mott, N.F. Fragmentation of shell cases. Proc. R. Soc. Ser. A. Math. Phys. Sci. 1947, 189, 300–308. [Google Scholar]
- Beetle, J.C. SEM/1971(Part I). In Proceedings of the 4th Annual SEM Symposium, Chicago, IL, USA, 27–29 April 1971; IIT Research Institute: Chicago, IL, USA; pp. 137–144. [Google Scholar]
- Singh, M.; Suneja, H.R.; Bola, M.S.; Prakash, S. Dynamic tensile deformation and fracture of metal cylinders at high strain rates. Int. J. Impact Eng. 2002, 27, 939–954. [Google Scholar] [CrossRef]
- Arnold, W.; Rottenkolber, E. Fragment mass distribution of metal cased explosive charges. Int. J. Impact Eng. 2008, 35, 1393–1398. [Google Scholar] [CrossRef] [Green Version]
- Grady, D.E. Length scales and size distributions in dynamic fragmentation. Int. J. Fract. 2010, 163, 85–99. [Google Scholar] [CrossRef]
- Gurney, R.W. The initial velocities of fragments from bombs, shell, grenades. Ballist. Res. Lab. 1943, 405, 1–12. [Google Scholar]
- Taylor, G.I. Analysis of the Explosion of a Long Cylindrical Bomb Detonated at One End. In Mechanics of Fluids, Scientific Papers of GI Taylor; Technical Report HO 195/10/193; Cambridge University Press: Cambridge, UK, 1941; Volume 2, pp. 277–286. [Google Scholar]
- Hoggatt, C.R.; Recht, R.F. Fracture behavior of tubular bombs. J. Appl. Phys. 1968, 39, 1856–1862. [Google Scholar] [CrossRef]
- Martineau, R.L.A. Viscoplastic Model of Expanding Cylindrical Shells Subjected to Internal Explosive Detonations. Ph.D. Thesis, Colorado State University, Fort Collins, CO, USA, 1998. [Google Scholar]
- Jovičević-Klug, M.; Verbovšek, T.; Jovičević-Klug, P.; Šetina Batič, B.; Ambrožič, B.; Dražić, G.; Podgornik, B. Revealing the Pb whisker growth mechanism from Al-AlloySurface and morphological dependency on material stress and growth environment. Materials 2022, 15, 2574. [Google Scholar] [CrossRef]
- Hofmeister, A.M.; Criss, E.M.; Criss, R.E. Thermodynamic relationships for perfectly elastic solids undergoing steady-state heat flow. Materials 2022, 15, 2638. [Google Scholar] [CrossRef]
- Sidorova, E.; Karasev, A.; Kuznetsov, D.; Jönsson, P.G. Investigation of the initial corrosion destruction of a metal matrix around different non-metallic inclusions on surfaces of pipeline steels. Materials 2022, 15, 2530. [Google Scholar] [CrossRef]
- Liang, M.Z.; Li, X.; Lu, F. Effects of U-notches on the dynamic fracture and fragmentation of explosively driven cylinders. Theor. Appl. Fract. Mech. 2015, 77, 50–58. [Google Scholar] [CrossRef]
- Hu, B.Y.; Dong, Q.D.; Han, C.S.; Hu, H.B.; Wang, D.S.; Gao, X.H. Macroscopic study on adiabatic shear fracture of explosive metal tubes. Explos. Shock. 1992, 4, 319–325. [Google Scholar]
- Hu, H.B.; Tang, T.G.; Hu, B.Y.; Wang, D.S.; Han, C.S. The single-spin phenomenon of metallic cylindrical shells under blast loading and fracture. Explos. Shock. 2004, 24, 97–107. [Google Scholar]
- Liu, M.T.; Tang, T.G.; Hu, H.B.; Li, Q.Z.; Hu, X.Z.; Li, Y.C. Numerical Simulation of explosive-driven cylindrical shell expansion fracture under different detonation modes. Explos. Shock. 2014, 34, 415–420. [Google Scholar]
- Yu, X.L.; Dong, X.L.; Pan, S.J. Fracture behaviors of explosively driven TA2 alloy cylinders under different loadings. Explos. Shock. Waves 2018, 38, 148–154. [Google Scholar] [CrossRef]
- Liu, M.T.; Ren, G.W.; Fan, C.; Tang, T.G.; Wang, X.Y.; Hu, H.B. Experimental and numerical studies on the expanding fracture behavior of an explosively driven 1045 steel cylinder. Int. J. Impact Eng. 2017, 109, 240–252. [Google Scholar] [CrossRef]
- Zhang, S.W.; Jin, S.; Liu, C.L. Numerical simulation of detonation expansion fracture of a thick-walled circular tube with defects. Chin. J. Appl. Mech. 2010, 27, 622–625, 653. [Google Scholar]
- Zhai, M.H.; Wang, Z.K.; Jiao, H.W. Comparative analysis of SPH method and finite element method in meshless method. Mach. Des. Manuf. 2008, 7, 32–34. [Google Scholar]
- Wu, S.S.; Dong, X.L.; Yu, X.L. SPH simulation analysis of explosive expansion fracture of 45 steel cylindrical shell. Explos. Shock. 2021, 41, 67–77. [Google Scholar]
- Liu, G.R.; Liu, M.B.; Li, S. Smoothed Particle Hydrodynamics—A Meshfree Method; World Science: Hackensack, NJ, USA, 2004. [Google Scholar]
- Remington, T.P.; Owen, J.M.; Nakamura, A.M.; Miller, P.L.; Bruck Syal, M. Numerical simulations of laboratory-scale, hypervelocity-impact experiments for asteroid-deflection code validation. Earth Space Sci. 2020, 7, e2018EA000474. [Google Scholar] [CrossRef] [Green Version]
- Jankowiak, T.; Łodygowski, T. Smoothed particle hydrodynamics versus finite element method for blast impact. Bull. Pol. Acad. Sciences. Tech. Sci. 2013, 61, 111–121. [Google Scholar] [CrossRef]
- Kong, X.; Wu, W.; Li, J.; Liu, F.; Chen, P.; Li, Y. A numerical investigation on explosive fragmentation of metal casing using Smoothed Particle Hydrodynamic method. Mater. Eng. 2013, 51, 729–741. [Google Scholar] [CrossRef]
- Zhou, F.; Molinari, J.F.; Ramesh, K.T. A cohesive model-based fragmentation analysis: Effects of strain rate and initial defects distribution. Int. J. Solids Struct. 2005, 42, 5181–5207. [Google Scholar] [CrossRef]
- Wright, T.W.; Ockendon, H. A scaling law for the effect of inertia on the formation of adiabatic shear bands. Int. J. Plast. 1996, 12, 927–934. [Google Scholar] [CrossRef]
- Grady, D.E.; Kipp, M.E. The growth of unstable thermoplastic shear with application to steady-wave shock compression in solids. J. Mech. Phys. Solids 1987, 35, 95–119. [Google Scholar] [CrossRef]
- Xiao, Y.H. Normalized SPH without boundary deficiency and its application to transient solid mechanics problems. Meccanica 2020, 55, 2263–2283. [Google Scholar] [CrossRef]
- Goto, D.M.; Becker, R.; Orzechowski, T.J.; Springer, H.K.; Sunwoo, A.J.; Syn, C.K. Investigation of the fracture and fragmentation of explosively driven rings and cylinders. Int. J. Impact Eng. 2008, 35, 1547–1556. [Google Scholar] [CrossRef]
- Zhang, S.W.; Liu, C.L.; Yu, J.Q. Influence of microdefects on expansion fracture of round tube. Explos. Shock. 2008, 28, 316–323. [Google Scholar]
- Zhen, K.; Dong, X.L. Tensile-shear failure of 20 steel cylindrical shells subjected to explosive loading. Ordnance Mater. Sci. Eng. 2018, 41, 61–64. [Google Scholar] [CrossRef]
- Tang, T.G.; Li, Q.Z.; Sun, X.L.; Sun, Z.F.; Jin, S.; Gu, Y. Strain rate effect on expansion fracture of 45 steel cylindrical shell. Explos. Shock. 2006, 26, 129–133. [Google Scholar]
- Hu, B.Y.; Dong, Q.D.; Han, C.S.; Hu, H.B.; Wang, D.S. A mesoscopic study on adiabatic shear fracture of explosive metal pipes. Explos. Shock. 1993, 13, 305–312. [Google Scholar]
- Gray, J.P.; Monaghan, J.J.; Swift, R.P. SPH elastic dynamics. Comput. Methods Appl. Mech. Eng. 2001, 190, 49–50. [Google Scholar] [CrossRef]
- Belytschko, T.; Yong, G.; Shao, P.X. A unified stability analysis of meshless particle methods. Int. J. Numer. Methods Eng. 2000, 48, 1359–1400. [Google Scholar] [CrossRef]
- Wang, L.L. Basics of Stress Waves; National Defense Industry Press: Beijing, China, 2005. [Google Scholar]
- Hu, C.M.; He, H.L.; Hu, S.S. A study on dynamic mechanical behaviors of 45 steel. Explos. Shock. Waves 2003, 23, 188–192. [Google Scholar] [CrossRef]
- Sun, C.W. Applied Detonation Physics; National Defense Industry Press: Beijing, China, 2000. [Google Scholar]













| Types of Explosives | Wall Thickness/Inner Radius/d/R | δd | Fracture Mode | |||||
|---|---|---|---|---|---|---|---|---|
| RHT-901 | 5/30 | 0.17 | 0.18 | 7.8 | 0.37 | 15.8 | 2.5 | tensile–shear mixed fracture |
| 4/30 | 0.13 | 0.24 | 8.8 | 0.43 | 15.4 | 2.9 | tensile–shear mixed fracture | |
| 3/30 | 0.10 | 0.30 | 10.1 | 0.45 | 14.1 | 3.5 | pure shear | |
| JOB9003 | 6/20 | 0.30 | 0.44 | 11.5 | 0.89 | 23.5 | 4.5 | pure shear |
| 5/20 | 0.25 | 0.42 | 9.5 | 1.24 | 22.5 | 6.0 | pure shear | |
| 4/20 | 0.20 | 0.40 | 7.5 | 1.31 | 19.5 | 7.1 | pure shear | |
| 3/20 | 0.15 | 0.38 | 6.5 | 0.88 | 13.5 | 8.4 | pure shear |
| Johnson–Cook | Grüneison State Equation | |||||||
|---|---|---|---|---|---|---|---|---|
| A/MPa | B/MPa | C | C/m·s−1 | s | ||||
| 350 | 600 | 0.307 | 0.804 | 0.07 | 2 × 10−4 | 4600 | 1.49 | |
| Types of Explosives | A/GPA | B/GPA | |||||||
|---|---|---|---|---|---|---|---|---|---|
| JOB9003 | 842.0 | 21.81 | 0.28 | 4.6 | 1.35 | 1 | 35 | 1884 | 8740 |
| RHT-901 | 503.0 | 9.065 | 0.35 | 4.3 | 1.1 | 7.6 | 27 | 1658 | 7800 |
| Types of Explosives | R/h | Fracture Mode | ||||||||
|---|---|---|---|---|---|---|---|---|---|---|
| RHT-901 | 30/3 | experiment * | 0.30 | 10.1 | / | / | 0.45 | 14.1 | 3.5 | pure shear |
| simulation | 0.39 | 13.2 | 0.39 | 13.3 | 0.45 | 15.2 | 3.1 | pure shear | ||
| 30/4 | experiment * | 0.24 | 8.8 | / | / | 0.43 | 15.4 | 2.9 | tensile–shear mixed fracture | |
| simulation | 0.30 | 13.1 | 0.31 | 13.5 | 0.41 | 16.9 | 2.7 | tensile–shear mixed fracture | ||
| 30/5 | experiment * | 0.18 | 7.8 | / | / | 0.37 | 15.8 | 2.5 | tensile–shear mixed fracture | |
| simulation | 0.21 | 11.9 | 0.23 | 12.8 | 0.30 | 15.6 | 2.1 | tensile–shear mixed fracture | ||
| JOB9003 | 20/3 | experiment * | 0.38 | 6.5 | / | / | 0.88 | 13.5 | 8.4 | pure shear |
| simulation | 0.36 | 6.0 | 0.37 | 6.1 | 0.89 | 12.9 | 8.2 | pure shear | ||
| 20/4 | experiment * | 0.40 | 7.5 | / | / | 1.31 | 19.5 | 7.1 | pure shear | |
| simulation | 0.37 | 7.3 | 0.37 | 7.3 | 1.07 | 16.7 | 7.1 | pure shear | ||
| 20/5 | experiment * | 0.42 | 9.5 | / | / | 1.24 | 22.5 | 6.0 | pure shear | |
| simulation | 0.41 | 9.4 | 0.42 | 9.6 | 1.21 | 22.3 | 6.4 | pure shear | ||
| 20/6 | experiment * | 0.44 | 11.5 | / | / | 0.89 | 23.5 | 4.5 | pure shear | |
| simulation | 0.43 | 11.4 | 0.45 | 11.7 | 0.90 | 20.0 | 5.4 | pure shear |
| Types of Explosives | |||||||||
|---|---|---|---|---|---|---|---|---|---|
| JOB9003 | 842.0 | 21.81 | 0.28 | 4.6 | 1.35 | 10 | 35 | 1884 | 8740 |
| RHT-901 | 503.0 | 9.065 | 0.35 | 4.3 | 1.1 | 7.6 | 27 | 1658 | 7800 |
| TNT | 371.2 | 3.231 | 0.30 | 4.15 | 0.95 | 3 | 21 | 1730 | 6930 |
| HNS | 162.7 | 10.82 | 0.25 | 5.4 | 1.8 | 4.1 | 7.9 | 1000 | 5100 |
Publisher’s Note: MDPI stays neutral with regard to jurisdictional claims in published maps and institutional affiliations. |
© 2022 by the authors. Licensee MDPI, Basel, Switzerland. This article is an open access article distributed under the terms and conditions of the Creative Commons Attribution (CC BY) license (https://creativecommons.org/licenses/by/4.0/).
Share and Cite
Huang, Z.; Yu, X. Numerical Simulation Study of Expanding Fracture of 45 Steel Cylindrical Shell under Different Detonation Pressure. Materials 2022, 15, 3980. https://doi.org/10.3390/ma15113980
Huang Z, Yu X. Numerical Simulation Study of Expanding Fracture of 45 Steel Cylindrical Shell under Different Detonation Pressure. Materials. 2022; 15(11):3980. https://doi.org/10.3390/ma15113980
Chicago/Turabian StyleHuang, Zhenwei, and Xinlu Yu. 2022. "Numerical Simulation Study of Expanding Fracture of 45 Steel Cylindrical Shell under Different Detonation Pressure" Materials 15, no. 11: 3980. https://doi.org/10.3390/ma15113980
APA StyleHuang, Z., & Yu, X. (2022). Numerical Simulation Study of Expanding Fracture of 45 Steel Cylindrical Shell under Different Detonation Pressure. Materials, 15(11), 3980. https://doi.org/10.3390/ma15113980
