An Efficient Dopant for Introducing Magnetism into Topological Insulator Bi2Se3
Abstract
:1. Introduction
2. Experimental and Computational Details
2.1. Preparation and Characterization of Single Crystal Bi2Se3
2.2. Theoretical Method and Computational Details
3. Results and Discussions
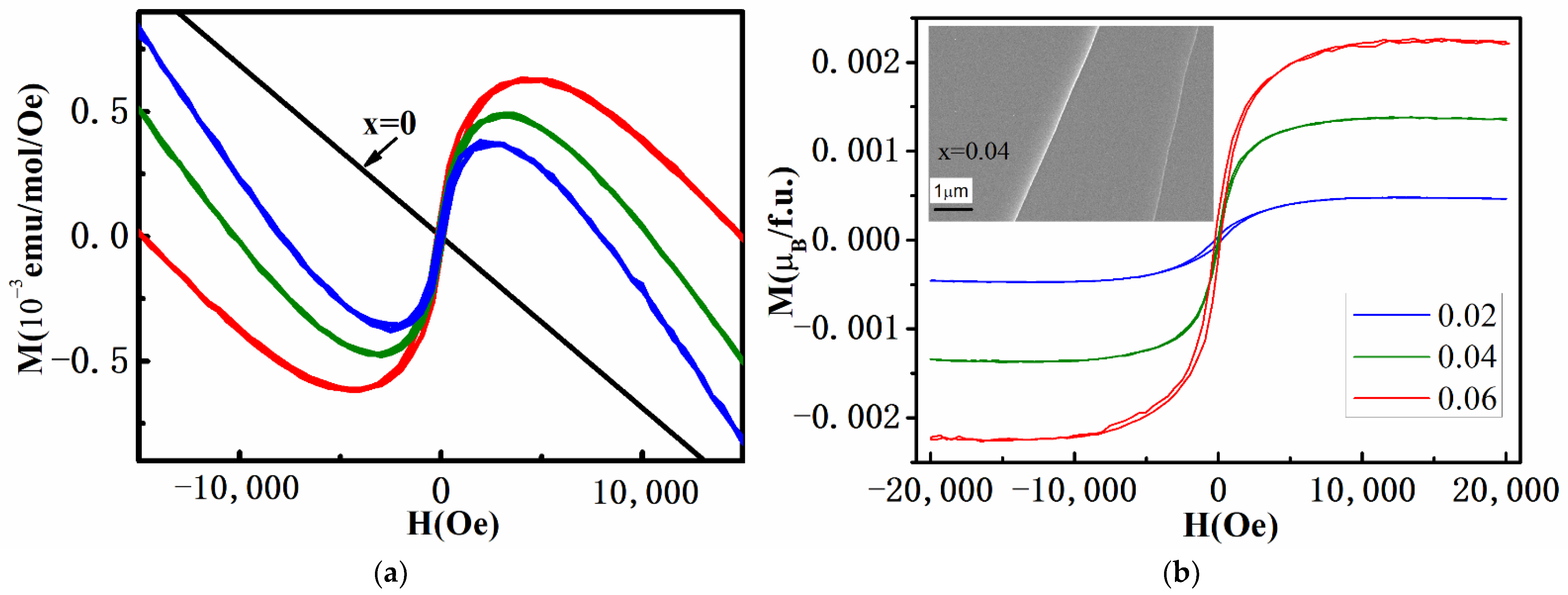
3.1. Geometrical Structure and Magnetic Properties of X Doping Bi2Se3
3.2. Electronic Structure of C Doping Bi2Se3
4. Conclusions
Author Contributions
Funding
Conflicts of Interest
References
- Zhang, W.; Yu, R.; Zhang, H.J.; Dai, X.; Fang, Z. First-principles studies of the three-dimensional strong topological insulators Bi2Te3, Bi2Se3 and Sb2Te3. New J. Phys. 2010, 12, 65013. [Google Scholar] [CrossRef]
- Xue, L.; Zhou, P.; Zhang, C.X.; He, C.Y.; Hao, G.L.; Sun, L.Z.; Zhong, J.X. First-principles study of native point defects in Bi2Se3. AIP Adv. 2013, 3, 52105. [Google Scholar] [CrossRef] [Green Version]
- Qi, X.L.; Li, R.D.; Zang, J.D.; Zhang, S.C. Inducing a Magnetic Monopole with Topological Surface States. Science 2009, 323, 1184–1187. [Google Scholar] [CrossRef] [PubMed] [Green Version]
- Zhang, H.J.; Liu, C.X.; Qi, X.L.; Dai, X.; Fang, Z.; Zhang, S.C. Topological insulators in Bi2Se3, Bi2Te3 and Sb2Te3 with a single Dirac cone on the surface. Nat. Phys. 2009, 5, 438–442. [Google Scholar] [CrossRef]
- Hsieh, D.; Xia, Y.; Qian, D.; Wray, L.; Dil, J.H.; Meier, F.; Osterwalder, J.; Patthey, L.; Checkelsky, J.G.; Ong, N.P. A tunable topological insulator in the spin helical Dirac transport regime. Nature 2009, 460, 1101–1105. [Google Scholar] [CrossRef] [PubMed] [Green Version]
- Chen, J.; Qin, H.J.; Yang, F.; Liu, J.; Guan, T.; Qu, F.M.; Zhang, G.H.; Shi, J.R.; Xie, X.C.; Yang, C.L. Gate-voltage control of chemical potential and weak antilocalization in BiSe. Phys. Rev. Lett. 2010, 105, 176602. [Google Scholar] [CrossRef] [Green Version]
- Lian, R.; Zhang, J.M.; Yang, Y.; Xu, G.; Huang, Z. Cr doped topological insulator Bi2Se3 under external electric field: A first-principle study. J. Phys. Conf. Ser. 2017, 864, 012039. [Google Scholar] [CrossRef] [Green Version]
- Liu, Q.; Liu, C.X.; Xu, C.; Qi, X.L.; Zhang, S.C. Magnetic Impurities on the Surface of a Topological Insulator. Phys. Rev. Lett. 2010, 102, 156603. [Google Scholar] [CrossRef] [Green Version]
- Wray, L.A.; Xu, S.Y.; Xia, Y.Q.; Hsieh, D.; Fedorov, A.V.; Hor, Y.S.; Cava, R.J.; Bansil, A.; Lin, H.; Hasan, M.Z. A topological insulator surface under strong Coulomb, magnetic and disorder perturbations. Nat. Phys. 2011, 7, 32–37. [Google Scholar] [CrossRef] [Green Version]
- Chen, Y.L.; Chu, J.H.; Analytis, J.G.; Liu, Z.K.; Igarashi, K.; Kuo, H.H.; Qi, X.L.; Mo, S.K.; Moore, R.G.; Lu, D.H. Massive Dirac Fermion on the Surface of a Magnetically Doped Topological Insulator. Science 2010, 329, 659–662. [Google Scholar] [CrossRef] [Green Version]
- Yu, R.; Zhang, W.; Zhang, H.J.; Zhang, S.C.; Dai, X.; Fang, Z. Quantized Anomalous Hall Effect in Magnetic Topological Insulators. Science 2010, 329, 61–64. [Google Scholar] [CrossRef] [PubMed] [Green Version]
- Chang, C.Z.; Zhang, J.; Feng, X.; Shen, J.; Zhang, Z.; Guo, M.; Li, K.; Ou, Y.; Wei, P.; Wang, L. Experimental Observation of the Quantum Anomalous Hall Effect in a Magnetic Topological Insulator. Science 2013, 340, 167–170. [Google Scholar] [CrossRef] [PubMed] [Green Version]
- Niu, C.; Dai, Y.; Zhang, Z.; Ma, Y.; Huang, B. Ferromagnetism and manipulation of topological surface states in Bi2Se3 family by 2p light elements. Appl. Phys. Lett. 2012, 100, 194. [Google Scholar] [CrossRef]
- Hou, Y.; Wu, R. Magnetizing topological surface states of Bi2Se3 with a CrI3 monolayer. Sci. Adv. 2018, 1874, 1802. [Google Scholar]
- Koirala, N.; Brahlek, M.; Salehi, M.; Wu, L.; Dai, J.; Waugh, J.; Nummy, T.; Han, M.G.; Moon, J.; Zhu, Y. Record Surface State Mobility and Quantum Hall Effect in Topological Insulator Thin Films via Interface Engineering. Nano. Lett. 2015, 15, 8245–8249. [Google Scholar] [CrossRef]
- Katmis, F.; Lauter, V.; Nogueira, F.S.; Assaf, B.A.; Jamer, M.E.; Wei, P.; Satpati, B.; Freeland, J.W.; Eremin, I.; Heiman, D. A high-temperature ferromagnetic topological insulating phase by proximity coupling. Nature 2016, 533, 513–516. [Google Scholar] [CrossRef]
- Zhang, J.; Zhao, K.; Yang, X.S.; Zhao, Y. Preparation and Magnetic Properties for FeSex/Bi2Se3 Bilayer Films on Silicon Substrates by RF Magnetron Sputtering. Funct. Mater. Lett. 2019, 12, 1950018. [Google Scholar] [CrossRef]
- Yang, Q.I.; Dolev, M.; Zhang, L.; Zhao, J.; Fried, A.D.; Schemm, E.; Liu, M.; Palevski, A.; Marshall, A.F.; Risbud, S.H. Emerging Weak Localization Effects on Topological Insulator-Insulating Ferromagnet (Bi2Se3-EuS) Interface. Phys. Rev. B 2013, 88, 081407.1–081407.4. [Google Scholar] [CrossRef] [Green Version]
- Lee, Y.F.; Kumar, R.; Hunte, F.; Narayan, J.; Schwartz, J. Microstructure and transport properties of epitaxial topological insulator Bi2Se3 thin films grown on MgO (100), Cr2O3 (0001), and Al2O3 (0001) templates. J. Appl. Phys. 2015, 118, 1057–1110. [Google Scholar] [CrossRef]
- Matetskiy, A.V.; Kibirev, I.A.; Hirahara, T.; Hasegawa, S.; Zotov, A.V.; Saranin, A.A. Direct observation of a gap opening in topological interface states of MnSe/Bi2Se3 heterostructure. Appl. Phys. Lett. 2015, 7, 3045. [Google Scholar] [CrossRef] [Green Version]
- Zhu, S.; Meng, D.; Liang, G.; Shi, G.; Wu, K. Proximity-induced magnetism and an anomalous Hall effect in Bi2Se3/LaCoO3: A topological insulator/ferromagnetic insulator thin film heterostructure. Nanoscale 2018, 10, 21. [Google Scholar] [CrossRef] [PubMed]
- Chang, S.J.; Chuang, P.Y.; Chong, C.W.; Chen, Y.J.; Huang, J.C.; Chen, P.W.; Tseng, Y.C. Heterostructured ferromagnet–topological insulator with dual-phase magnetic properties. RSC. Adv. 2018, 8, 7785–7791. [Google Scholar] [CrossRef] [PubMed] [Green Version]
- Zhang, H.; Li, H.; Wang, H.; Cheng, G.; Wang, J. Linear positive and negative magnetoresistance in topological insulator Bi2Se3 flakes. Appl. Phys. Lett. 2018, 113, 113503. [Google Scholar] [CrossRef]
- Collins-Mcintyre, L.J.; Harrison, S.E.; Schönherr, P.; Steinke, N.J.; Hesjedal, T. Magnetic ordering in Cr-doped Bi2Se3 thin films. EPL (Europhys. Lett.) 2014, 107, 57009. [Google Scholar] [CrossRef]
- Aramberri, H.; Mufioz, M.C. Gap and spin texture engineering of Dirac topological states at the Cr-Bi2Se3 interface. Phys. Rev. B 2016, 93, 245401.1–245401.7. [Google Scholar] [CrossRef] [Green Version]
- Yilmaz, T.; Hines, W.; Sun, F.C.; Pletikosić, I.; Budnick, J.; Valla, T.; Sinkovic, B. Distinct effects of Cr bulk doping and surface deposition on the chemical environment and electronic structure of the topological insulator Bi2Se3. Appl. Surf. Sci. 2017, 407, 371–378. [Google Scholar] [CrossRef] [Green Version]
- Tung, Y.; Chong, C.W.; Liao, C.W.; Chang, C.H.; Huang, S.Y.; Chuang, P.Y.; Lee, M.K.; Cheng, C.M.; Li, Y.C.; Liu, C.P. Tuning the transport and magnetism in a Cr–Bi2Se3 topological insulator by Sb doping. RSC Adv. 2017, 7, 47789–47795. [Google Scholar] [CrossRef] [Green Version]
- Choi, J.H.; Lee, W.; Kim, B.S.; Choi, S.; Cho, S. Mn-doped V2VI3 semiconductors: Single crystal growth and magnetic properties. J. Appl. Phys. 2005, 97, 495. [Google Scholar] [CrossRef]
- Wei, Z.; Lv, L.; Zhang, M.; Yang, X.; Zhao, Y. Tuning of Electrical and Magnetic Transport Properties in Bi2Se3 Topological Insulator Crystals Doped with Mn. J. Supercond. Nov. Magn. 2015, 28, 2083–2088. [Google Scholar] [CrossRef]
- Choi, Y.H.; Jo, N.H.; Lee, K.J.; Lee, H.W.; Jo, Y.H.; Kajino, J.; Takabatake, T.; Ko, K.T.; Park, J.H.; Jung, M.H. Simple tuning of carrier type in topological insulator Bi2Se3 by Mn doping. Appl. Phys. Lett. 2012, 101, 152103. [Google Scholar] [CrossRef] [Green Version]
- Choi, J.; Lee, H.W.; Kim, B.S.; Park, H.; Choi, S.; Hong, S.C.; Cho, S. Magnetic and transport properties of Mn-doped Bi2Se3 and Sb2Se3. J. Magn. Magn. Mater. 2006, 304, 164–166. [Google Scholar] [CrossRef]
- Von Bardeleben, H.J.; Cantin, L.; Zhang, D.M.; Richardella, A.; Rench, D.W.; Samarth, N.; Borchers, J.A. Ferromagnetism in Bi2Se3: Mn epitaxial layers. Phys. Rev. B 2013, 88, 1336–1340. [Google Scholar] [CrossRef]
- Collins-Mcintyre, L.J.; Watson, M.D.; Baker, A.A.; Zhang, S.L.; Coldea, A.I.; Harrison, S.E.; Pushp, A.; Kellock, A.J.; Parkin, S.S.P.; Van, G. X-ray magnetic spectroscopy of MBE-grown Mn-doped Bi2Se3 thin films. AIP Adv. 2014, 4, 3045. [Google Scholar] [CrossRef] [Green Version]
- Savehenko, D.; Tarasenko, R.; Valiska, M.; Kopecek, J.; Fekete, L. Local moment formation and magnetic coupling of Mn dopants in Bi2Se3: A low-temperature ferromagnetic resonance study. Physica B 2018, 536, 604–613. [Google Scholar] [CrossRef] [Green Version]
- Li, H.; Song, Y.R.; Yao, M.; Zhu, F.F. Carrier density dependence of the magnetic properties in iron-doped Bi2Se3 topological insulator. J. Appl. Phys. 2013, 113, 043926. [Google Scholar] [CrossRef] [Green Version]
- Wei, X.Y.; Zhang, J.Y.; Zhao, B.; Zhu, Y.; Yang, Z.Q. Ferromagnetism in Fe-doped Bi2Se3 topological insulators with Se vacancies. Phys. Lett. A 2015, 379, 417–420. [Google Scholar] [CrossRef]
- Salman, Z.; Pomjakushina, E.; Pomjakushin, V.; Kanigel, A.; Chashka, K.; Conder, K.; Morenzoni, E.; Prokscha, T.; Sedlak, K.; Suter, A. The Nature of Magnetic Ordering in Magnetically Doped Topological Insulator Bi2−xFexSe3. Mater. Sci. 2012, 1203, 4850. [Google Scholar]
- Yang, H.; Liu, L.G.; Zhang, M.; Yang, X.S. Growth and magnetic properties of Ni-doped Bi2Se3 topological insulator crystals. Solid State Commun. 2016, 241, 26–31. [Google Scholar] [CrossRef]
- Niu, W.; Du, K.; Wang, S.B.; Zhang, M.H.; Gao, M.; Chen, Y.D.; Liu, H.; Zhou, W.; Song, F.Q.; Wang, P. Intrinsic ferromagnetism and quantum transport transition in individual Fe-doped Bi2Se3 topological insulator nanowires. Nanoscale 2017, 10, 1039. [Google Scholar] [CrossRef]
- Zhang, M.; Lv, L.; Wei, Z.T.; Yang, X.S.; Zhao, Y. Ferromagnetism on a paramagnetic host background in cobalt-doped Bi2Se3 topological insulator. Chin. Phys. B 2014, 23, 579–583. [Google Scholar]
- Yang, H.; Liu, L.G.; Zhang, M. Anomalous second ferromagnetic phase transition in Co0.08Bi1.92Se3 topological insulator. J. Alloys Compd. 2016, 678, 463–467. [Google Scholar]
- Harrison, S.E.; Collins-Mcintyre, L.J.; Zhang, S.L.; Baker, A.A.; Hesjedal, T. Study of Dy-doped Bi2Te3: Thin film growth and magnetic properties. J. Phys. Condens. Matter. 2015, 27, 245602. [Google Scholar] [CrossRef] [PubMed] [Green Version]
- Kim, J.; Lee, K.; Takabatake, T.; Kim, H.; Kim, M.; Jung, M.H. Corrigendum: Magnetic Transition to Antiferromagnetic Phase in Gadolinium Substituted Topological Insulator Bi2Te3. Sci. Rep. 2015, 5, 10309. [Google Scholar] [CrossRef] [PubMed] [Green Version]
- Harrison, S.E.; Collins-Mcintyre, L.J.; Zhang, S.L.; Baker, A.A.; Figueroa, A.I.; Kellock, A.J.; Pushp, A.; Chen, Y.L.; Parkin, S.S.P.; Harris, J.S. Study of Ho-doped Bi2Te3 topological insulator thin films. Appl. Phys. Lett. 2015, 107, 146802. [Google Scholar] [CrossRef] [Green Version]
- Oveshnikov, L.N.; Rodionov, Y.I.; Kugel, K.I.; Karateev, I.A.; Aronzon, B. Magnetism of Bi2Se3 thin films with Eu-rich flat inclusions. J. Phys. Condens. Matter. 2018, 30, 44. [Google Scholar] [CrossRef]
- Song, Y.R. Large magnetic moment of gadolinium substituted topological insulator: Bi1.98Gd0.02Se3. Appl. Phys. Lett. 2012, 100, 195322. [Google Scholar] [CrossRef]
- Moon, J.; Koirala, N.; Salehi, M.; Zhang, W.; Wu, W.; Oh, S. Solution to the hole-doping problem and tunable quantum Hall effect in Bi2Se3 thin films. Nano Lett. 2018, 18, 820. [Google Scholar] [CrossRef] [Green Version]
- Kuntsevich, A.; Bryzgalov, M.A.; Prudkoglyad, V.A.; Martovitskii, V.P.; Chizhevskii, E.G. Structural distortion behind the nematic superconductivity in SrxBi2Se3. New J. Phys. 2018, 20, 10. [Google Scholar] [CrossRef]
- Asaba, T.; Lawson, B.; Tinsman, C.; Chen, L.; Corbae, P.; Li, G.; Qiu, Y.; Hor, Y.; Fu, L.; Li, L. Rotational Symmetry Breaking in a Trigonal Superconductor Nb-doped Bi2Se3. Phys. Rev. X 2017, 7, 1. [Google Scholar] [CrossRef] [Green Version]
- Hor, Y.S.; Checkelsky, J.; Qu, D.; Ong, N.; Cava, R. Superconductivity and non-metallicity induced by doping the topological insulators Bi2Se3 and Bi2Te3. J. Phys. Chem. Solids 2010, 72, 572–576. [Google Scholar] [CrossRef] [Green Version]
- Peng, H.; Xiang, H.J.; Wei, S.H.; Li, S.S.; Xia, J.B.; Li, J. Origin and Enhancement of Hole-Induced Ferromagnetism in First-Row d0 Semiconductors. Phys. Rev. Lett. 2009, 102, 017201. [Google Scholar] [CrossRef] [PubMed]
- Dev, P.; Zhang, P. Unconventional magnetism in semiconductors: Role of localized acceptor states. Phys. Rev. B 2010, 81, 085207. [Google Scholar] [CrossRef]
- Slipukhina, I.; Mavropoulos, P.; Bliigel, S.; Lezaic, M. Ferromagnetic spin coupling of 2p-impurities in band insulators stabilized by intersite Coulomb interaction: Nitrogen-doped MgO. Phys. Rev. Lett. 2011, 107, 137203. [Google Scholar] [CrossRef] [PubMed] [Green Version]
- Chakraborty, B.; Nandi, P.K.; Kawazoe, Y.; Ramaniah, L.M. Room-temperature d0 ferromagnetism in carbon-doped Y2O3 for spintronic applications: A density functional theory study. Phys. Rev. B 2018, 97, 18. [Google Scholar] [CrossRef]
- Davis, B.A.; Chakraborty, B.; Kalarikkal, N. Room Temperature Ferromagnetism in Carbon Doped MoO3 for Spintronic Applications: A DFT Study. J. Phys. Condens. Matter. 2016, 28, 336001. [Google Scholar] [CrossRef]
- Xin, X.; Guo, C.; Pang, R.; Zhang, M.; Shi, X.; Yang, X.; Zhao, Y. Theoretical and experimental studies of spin polarized carbon doped Bi2Se3. Appl. Phys. Lett. 2019, 11, 042401.1–042401.5. [Google Scholar] [CrossRef]
- Kresse, G.; Hafner, J. Ab initio molecular dynamics for liquid metals. Phys. Rev. B 1993, 48, 13115–13118. [Google Scholar] [CrossRef]
- Perdew, J.P.; Burke, K.; Ernzerhof, M. Generalized Gradient Approximation Made Simple. Phys. Rev. Lett. 1996, 77, 3865–3868. [Google Scholar] [CrossRef] [Green Version]
- Blochl, P.E. Projector augmented-wave method. Phys. Rev. B Condens. Matter. 1994, 50, 17953–17979. [Google Scholar] [CrossRef] [Green Version]
- Nakajima, S. The crystal structure of Bi2Te3−xSex. J. Phys. Chem. Solids 1963, 24, 479–485. [Google Scholar] [CrossRef]





| Efrom (eV) | dX-Bi (Å) | dX-Se (Å) | Mtot (μB) | MX (μB) | Mtot (μB).exp | |
|---|---|---|---|---|---|---|
| BBi | −4.565 | / | 1.979 | 0.978 | 0.208 | |
| BSe1 | −11.007 | 2.460 | / | 0 | 0 | 0.44 a |
| BSe2 | −10.52 | 2.838 | / | 1.416 | 0.413 | 3.0 a |
| Bgap | −12.177 | / | 1.832 | 0 | 0 | |
| CBi | −0.808 | / | 1.885 | 0.410 | 0.164 | |
| CSe1 | −9.933 | 2.369 | / | 0.649 | 0.377 | 2.0 a, 1.66 b |
| CSe2 | −9.492 | 2.798 | / | 0.980 | 0.375 | 2.0 a, 1.95 b |
| Cgap | −9.975 | / | 1.801 | 0.673 | 0.225 | 1.53 b |
| NBi | −16.216 | / | 1.997 | 0 | 0 | |
| NSe1 | −17.418 | 2.285 | / | 0 | 0 | 0.14 a |
| NSe2 | −17.151 | 2.325 | / | 0.094 | 0.028 | 1.0 a |
| Ngap | −16.303 | / | 1.956 | 0.794 | 0.576 |
| x | Saturation Magnetization MSmol | Remanent Magnetization Mr [μB/f.u.] | Coercivity Hc (Oe) | |
|---|---|---|---|---|
| [μB/f.u.] | [μB/Catom] | |||
| 0.02 | 4.71 × 10−4 | 0.0235 | 7.85 × 10−5 | 227 |
| 0.04 | 1.37 × 10−3 | 0.034 | 2.1 × 10−4 | 112 |
| 0.06 | 2.25 × 10−3 | 0.0375 | 7.5 × 10−4 | 232 |
Publisher’s Note: MDPI stays neutral with regard to jurisdictional claims in published maps and institutional affiliations. |
© 2022 by the authors. Licensee MDPI, Basel, Switzerland. This article is an open access article distributed under the terms and conditions of the Creative Commons Attribution (CC BY) license (https://creativecommons.org/licenses/by/4.0/).
Share and Cite
Wang, D.; Hu, C.-E.; Liu, L.-G.; Zhang, M.; Chen, X.-R. An Efficient Dopant for Introducing Magnetism into Topological Insulator Bi2Se3. Materials 2022, 15, 3864. https://doi.org/10.3390/ma15113864
Wang D, Hu C-E, Liu L-G, Zhang M, Chen X-R. An Efficient Dopant for Introducing Magnetism into Topological Insulator Bi2Se3. Materials. 2022; 15(11):3864. https://doi.org/10.3390/ma15113864
Chicago/Turabian StyleWang, Dan, Cui-E Hu, Li-Gang Liu, Min Zhang, and Xiang-Rong Chen. 2022. "An Efficient Dopant for Introducing Magnetism into Topological Insulator Bi2Se3" Materials 15, no. 11: 3864. https://doi.org/10.3390/ma15113864
APA StyleWang, D., Hu, C.-E., Liu, L.-G., Zhang, M., & Chen, X.-R. (2022). An Efficient Dopant for Introducing Magnetism into Topological Insulator Bi2Se3. Materials, 15(11), 3864. https://doi.org/10.3390/ma15113864

