The Triaxial Test of Polypropylene Fiber Reinforced Fly Ash Soil
Abstract
:1. Introduction
2. Testing Materials, Apparatus, and Scheme
2.1. Testing Materials
2.2. Specimen Preparation
2.3. Testing Scheme
3. Test Results and Discussions
3.1. Stress–Strain Behavior of Polypropylene Fiber-Reinforced FAS Specimens
3.2. Influence of Polypropylene Fiber on Secant Modulus of FAS Specimens
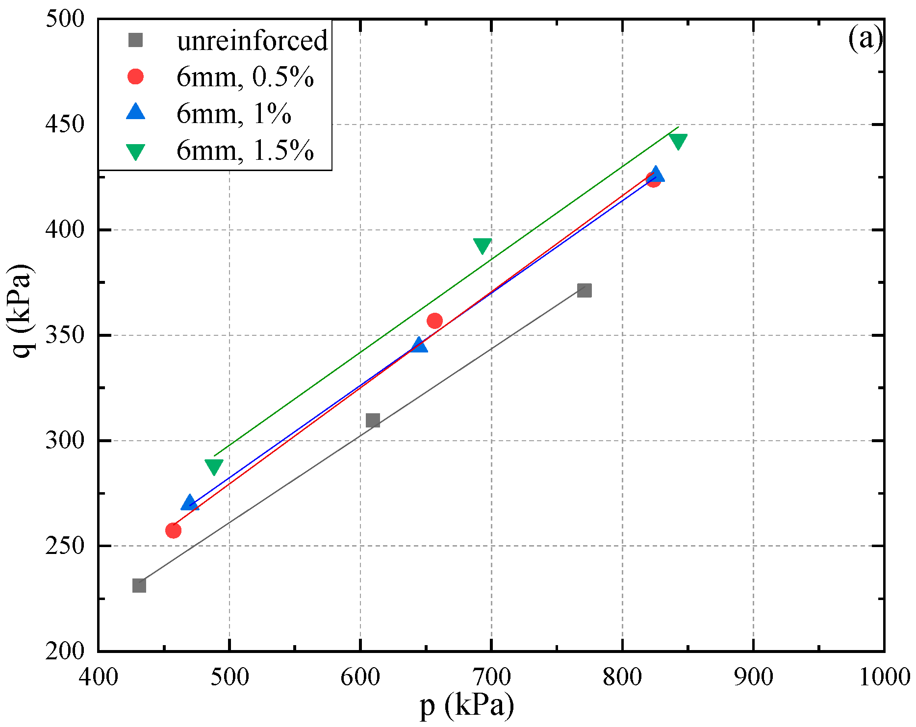
3.3. Influence of Polypropylene Fiber on the Peak Deviator Stress of Fiber-Reinforced-FAS Specimens
3.4. Reinforcement Coefficient of Polypropylene Fiber-Reinforced FAS Specimens
3.5. Influence of Polypropylene Fiber on the Unconsolidated Undrained Shear Strength
3.6. The Energy Absorption Capacity
4. Discussions
5. Conclusions
Author Contributions
Funding
Conflicts of Interest
References
- Danish, A.; Mosaberpanah, M.A.; Tuladhar, R.; Salim, M.U.; Yaqub, M.A.; Ahmad, N. Effect of cenospheres on the engineering properties of lightweight cementitious composites: A comprehensive review. J. Build. Eng. 2022, 49, 104016. [Google Scholar] [CrossRef]
- Fediuk, R.; Yushin, A. The use of fly ash the thermal power plants in the construction. IOP Conf. Ser. Mater. Sci. Eng. 2015, 93, 012070. [Google Scholar] [CrossRef]
- Ahmaruzzaman, M. A review on the utilization of fly ash. Prog. Energy Combust. Sci. 2010, 36, 327–363. [Google Scholar] [CrossRef]
- Shahane, H.A.; Patel, S. Influence of design parameters on engineering properties of angular shaped fly ash aggregates. Constr. Build. Mater. 2022, 327, 126914. [Google Scholar] [CrossRef]
- Nakonieczny, D.S.; Antonowicz, M.; Paszenda, Z.K. Cenospheres and their application advantages in biomedical engineering—A systematic review. Rev. Adv. Mater. Sci. 2020, 59, 115–130. [Google Scholar] [CrossRef]
- Nakonieczny, D.S.; Antonowicz, M.; Paszenda, Z. Surface modification methods of ceramic filler in ceramic-carbon fibre composites for bioengineering applications—A systematic review. Rev. Adv. Mater. Sci. 2020, 59, 586–605. [Google Scholar] [CrossRef]
- Sharma, V.; Lal Meena, M.; Kumar Chaudhary, A.; Kumar, M. Cenosphere powder filled basalt fiber reinforced epoxy composite: Physical, mechanical, and thermal conductivity analysis. Mater. Today Proc. 2021, 44, 4984–4989. [Google Scholar] [CrossRef]
- Hegde, S.; Padmaraj, N.H.; Siddesh, V.; Sunaya, T.S.; Adithya Kini, K.; Sanil, V.K. Experimental investigation of mechanical sustainability and acoustic performance of fly ash cenosphere/epoxy polymer composites. J. King Saud Univ.-Eng. Sci. 2021. [Google Scholar] [CrossRef]
- Park, J.H.; Edraki, M.; Mulligan, D.; Jang, H.S. The application of coal combustion by-products in mine site rehabilitation. J. Clean. Prod. 2014, 84, 761–772. [Google Scholar] [CrossRef]
- Song, H.; Liu, J.; Xue, F.; Cheng, F. The application of ultra-fine fly ash in the seal coating for the wall of underground coal mine. Adv. Powder Technol. 2016, 27, 1645–1650. [Google Scholar] [CrossRef]
- Mahvash, S.; Lopez-Querol, S.; Bahadori-Jahromi, A. Effect of class F fly ash on fine sand compaction through soil stabilization. Heliyon 2017, 3, e00274. [Google Scholar] [CrossRef] [PubMed] [Green Version]
- Feng, H.; Yang, Y.; Gong, X. Test research on engineering characteristic of flyash. Rock Soil Mech. 2002, 23, 579–582. [Google Scholar] [CrossRef]
- Parsons, R.L.; Kneebone, E. Field performance of fly ash stabilised subgrades. Ground Improv. 2005, 9, 33–38. [Google Scholar] [CrossRef]
- Amiralian, S.; Chegenizadeh, A.; Nikraz, H. A Review on The Lime and Fly ash Application in Soil Stabilization. Int. J. Biol. Ecol. Environ. Sci. 2012, 1, 124–126. [Google Scholar]
- Yang, Y.; Liang, B.; Ding, L. Experimental study on the stength behavior of flyash-lime or flyash-cement. Chin. J. Geotech. Eng. 2001, 2, 227–230. [Google Scholar]
- Yilmaz, Y. Compaction and strength characteristics of fly ash and fiber amended clayey soil. Eng. Geol. 2015, 188, 168–177. [Google Scholar] [CrossRef]
- Şenol, A. Effect of fly ash and polypropylene fibres content on the soft soils. Bull. Eng. Geol. Environ. 2011, 71, 379–387. [Google Scholar] [CrossRef]
- Kaniraj, S.; Havanagi, V. Behavior of Cement-Stabilized Fiber-Reinforced Fly Ash-Soil Mixtures. J. Geotech. Geoenviron. Eng.-J. Geotech. Geoenviron. Eng. 2001, 127, 574–584. [Google Scholar] [CrossRef]
- Chauhan, M.S.; Mittal, S.; Mohanty, B. Performance evaluation of silty sand subgrade reinforced with fly ash and fibre. Geotext. Geomembr. 2008, 26, 429–435. [Google Scholar] [CrossRef]
- Elkhebu, A.; Zainorabidin, A.; Asadi, A.; Bakar, I.H.; Huat, B.B.K.; Abdeldjouad, L.; Dheyab, W. Effect of incorporating multifilament polypropylene fibers into alkaline activated fly ash soil mixtures. Soils Found. 2019, 59, 2144–2154. [Google Scholar] [CrossRef]
- Nasir, N.H.M.; Usman, F.; Saggaf, A. Development of composite material from Recycled Polyethylene Terephthalate and fly ash: Four decades progress review. Curr. Res. Green Sustain. Chem. 2022, 5, 100280. [Google Scholar] [CrossRef]
- Santoni, R.; Tingle, J.; Webster, S. Engineering Properties of Sand-Fiber Mixtures for Road Construction. J. Geotech. Geoenviron. Eng.-J. Geotech. Geoenviron. Eng. 2001, 127, 258–268. [Google Scholar] [CrossRef]
- Park, T.; Tan, S. Enhanced performance of reinforced soil walls by the inclusion of short fiber. Geotext. Geomembr. 2005, 23, 348–361. [Google Scholar] [CrossRef]
- Yetimoglu, T.; Salbas, O. A study on shear strength of sands reinforced with randomly distributed discrete fibers. Geotext. Geomembr. 2003, 21, 103–110. [Google Scholar] [CrossRef]
- Kravchenko, E.; Liu, J.; Krainiukov, A.; Chang, D. Dynamic behavior of clay modified with polypropylene fiber under freeze-thaw cycles. Transp. Geotech. 2019, 21, 100282. [Google Scholar] [CrossRef]
- Gao, L.; Zhou, Q.; Yu, X.; Wu, K.; Mahfouz, A.H. Experimental study on the unconfined compressive strength of carbon fiber reinforced clay soil. Mar. Georesources Geotechnol. 2015, 35, 143–148. [Google Scholar] [CrossRef]
- Zhang, X.; Zhou, K.; Zhou, J. Experimental study on dynamic properties of cohesive soil reinforced with fibres. Chin. J. Geotech. Eng. 1998, 20, 45–49. [Google Scholar]
- Cai, Y.; Shi, B.; Liu, Z.; Tang, C.; Wang, B. Experimental study on effect of aggregate size on strength of filled soils. Chin. J. Geotech. Eng. 2005, 27, 1482–1486. [Google Scholar]
- Mucsi, G.; Szenczi, Á.; Nagy, S. Fiber reinforced geopolymer from synergetic utilization of fly ash and waste tire. J. Clean. Prod. 2018, 178, 429–440. [Google Scholar] [CrossRef]
- Wang, Y.; Guo, P.; Li, X.; Lin, H.; Liu, Y.; Yuan, H. Behavior of Fiber-Reinforced and Lime-Stabilized Clayey Soil in Triaxial Tests. Appl. Sci. 2019, 9, 900. [Google Scholar] [CrossRef] [Green Version]
- Correia, A.A.S.; Venda Oliveira, P.J.; Custódio, D.G. Effect of polypropylene fibres on the compressive and tensile strength of a soft soil, artificially stabilised with binders. Geotext. Geomembr. 2015, 43, 97–106. [Google Scholar] [CrossRef] [Green Version]
- Babu, G.; Vasudevan, A.M. Strength and Stiffness Response of Coir Fiber-Reinforced Tropical Soil. J. Mater. Civ. Eng.-J. Mater. Civ. Eng. 2008, 20, 571–577. [Google Scholar] [CrossRef]
- Zhong, H.; Zhang, M. Experimental study on engineering properties of concrete reinforced with hybrid recycled tyre steel and polypropylene fibres. J. Clean. Prod. 2020, 259, 120914. [Google Scholar] [CrossRef]
- Wang, J.; Dai, Q.; Si, R.; Guo, S. Mechanical, durability, and microstructural properties of macro synthetic polypropylene (PP) fiber-reinforced rubber concrete. J. Clean. Prod. 2019, 234, 1351–1364. [Google Scholar] [CrossRef]
- Merli, R.; Preziosi, M.; Acampora, A.; Lucchetti, M.C.; Petrucci, E. Recycled fibers in reinforced concrete: A systematic literature review. J. Clean. Prod. 2020, 248, 119207. [Google Scholar] [CrossRef]
- Rajesh Kumar, K.; Gobinath, R.; Shyamala, G.; Viloria, E.; Varela, N. Free thaw resistance of stabilized and fiber-reinforced soil vulnerable to landslides. Mater. Today Proc. 2020, 27, 664–670. [Google Scholar] [CrossRef]
- Jadhao, P.; Nagarnaik, P.B. Influence of polypropylene fibers on engineering behavior of soil-fly ash mixtures for road construction. Electron. J. Geotech. Eng. 2008, 13, 1–11. [Google Scholar]
- Shukla, S. Fundamentals of Fibre-Reinforced Soil Engineering; Springer: Singapore, 2017. [Google Scholar]
- GB/T 50123-2019; Standard for Geotechnical Testing Method. Planning Press: Beijing, China, 2019; p. 717.
- Materials, A. Standard test method for coal fly ash and raw or calcined natural pozzolan for use as a mineral admixture in concrete (ASTM C 618). Annu. Book ASTM Stand. 2004, 4, 312–319. [Google Scholar]
- JTG E40-2007; Test Methods of Soils for Highway. Communications Press: Beijing, China, 2007; p. 428.
- Li, L.; Zhang, J.; Xiao, H.; Hu, Z.; Wang, Z. Experimental Investigation of Mechanical Behaviors of Fiber-Reinforced Fly Ash-Soil Mixture. Adv. Mater. Sci. Eng. 2019, 2019, 1050536. [Google Scholar] [CrossRef] [Green Version]
- ASTM D4767-11; Standard Test Method for Consolidated Undrained Triaxial Compression Test for Cohesive Soils. Annual Book of ASTM Standards: West Conshohocken, PA, USA, 2011; p. 14.
- Varga, G.; Czap, Z. Soil models: Safety factors and settlements. Period. Polytech. Civ. Eng. 2004, 48, 53–63. [Google Scholar]
- Surarak, C.; Likitlersuang, S.; Wanatowski, D.; Balasubramaniam, A.; Oh, E.; Guan, H. Stiffness and strength parameters for hardening soil model of soft and stiff Bangkok clays. Soils Found. 2012, 52, 682–697. [Google Scholar] [CrossRef] [Green Version]
- Liu, J.-l.; Hou, T.-s.; Luo, Y.-s.; Cui, Y.-x. Experimental Study on Unconsolidated Undrained Shear Strength Characteristics of Synthetic Cotton Fiber Reinforced Soil. Geotech. Geol. Eng. 2019, 38, 1773–1783. [Google Scholar] [CrossRef]
- Padade, A.H.; Mandal, J.N. Expanded Polystyrene-Based Geomaterial with Fly Ash. Int. J. Geomech. 2014, 14, 06014013. [Google Scholar] [CrossRef]
- Wang, D.; Tang, C.; Li, J.; Liu, B.; Tang, W.; Zhu, K. Shear strength characteristics of fiber-reinforced unsaturated cohesive soils. Chin. J. Geotech. Eng. 2013, 35, 1933–1940. [Google Scholar]
- Brzeziński, K.; Józefiak, K.; Zbiciak, A. On the interpretation of shear parameters uncertainty with a linear regression approach. Measurement 2021, 174, 108949. [Google Scholar] [CrossRef]
- Handy, R.L. Linearizing Triaxial Test Failure Envelopes. Geotech. Test. J.-Geotech. Test. J. 1981, 4, 188–191. [Google Scholar] [CrossRef]
- Hamidi, A.; Hooresfand, M. Effect of fiber reinforcement on triaxial shear behavior of cement treated sand. Geotext. Geomembr. 2013, 36, 1–9. [Google Scholar] [CrossRef]
- Rong, D.; Tang, C.; Zeng, H.; Cheng, Q.; Li, H.; Shi, B. Evaporation process and tensile behavior of fiber-reinforced rammed earth. Chin. J. Geotech. Eng. 2021, 43, 670–678. [Google Scholar]




















| Property | Clay | Fly Ash |
|---|---|---|
| Optimum moisture content, (%) | 27.8 | 22.00 |
| Natural moisture content, (%) | 7.68 | - |
| Natural density, (g/cm3) | 1.35 | 2.16 |
| 2.68 | 2.16 | |
| Liquid limit, (%) | 34.0 | E4 |
| Plastic limit, (%) | 17.8 | NP |
| Maximum dry density, (g/cm3) | 1.42 | 1.36 |
| Loss on ignition (LOI) (%) | - | 2.74 |
| Passing NO. 325 (45 μm) (%) | - | 10.4 |
| Chemical Composition | SiO2 | Fe2O3 | Al2O3 | CaO | MgO | SO3 | K2O | Na2O | TiO2 |
|---|---|---|---|---|---|---|---|---|---|
| Clay (%) | 46.52 | 3.24 | 42.33 | - | 0.74 | 0.58 | 3.47 | 0.44 | 1.65 |
| Fly ash (%) | 60.62 | 6.85 | 22.35 | 1.96 | 1.16 | 0.16 | 2.46 | 0.50 | 1.20 |
| Fiber Type | Elastic Modulus (GPa) | Tensile Strength (MPa) | Elongation at Break (%) | Diameter (mm) |
|---|---|---|---|---|
| Polypropylene fiber | 5.2 | 512 | 25 | 0.023 |
| Number | FAS (%) | FC (%) | FL (mm) | Curing Periods (d) |
|---|---|---|---|---|
| 1 | 100 | - | - | 7 |
| 2 | 99.5 | 0.5 | 6 | 7 |
| 3 | 99 | 1 | 6 | 7 |
| 4 | 98.5 | 1.5 | 6 | 7 |
| 5 | 99.5 | 0.5 | 12 | 7 |
| 6 | 99 | 1 | 12 | 7 |
| 7 | 98.5 | 1.5 | 12 | 7 |
| 8 | 99.5 | 0.5 | 24 | 7 |
| 9 | 99 | 1 | 24 | 7 |
| 10 | 98.5 | 1.5 | 24 | 7 |
Publisher’s Note: MDPI stays neutral with regard to jurisdictional claims in published maps and institutional affiliations. |
© 2022 by the authors. Licensee MDPI, Basel, Switzerland. This article is an open access article distributed under the terms and conditions of the Creative Commons Attribution (CC BY) license (https://creativecommons.org/licenses/by/4.0/).
Share and Cite
Li, L.; Zhang, X.; Xiao, H.; Zhang, J.; Chen, N.; Li, W. The Triaxial Test of Polypropylene Fiber Reinforced Fly Ash Soil. Materials 2022, 15, 3807. https://doi.org/10.3390/ma15113807
Li L, Zhang X, Xiao H, Zhang J, Chen N, Li W. The Triaxial Test of Polypropylene Fiber Reinforced Fly Ash Soil. Materials. 2022; 15(11):3807. https://doi.org/10.3390/ma15113807
Chicago/Turabian StyleLi, Lihua, Xin Zhang, Henglin Xiao, Jiang Zhang, Na Chen, and Wentao Li. 2022. "The Triaxial Test of Polypropylene Fiber Reinforced Fly Ash Soil" Materials 15, no. 11: 3807. https://doi.org/10.3390/ma15113807
APA StyleLi, L., Zhang, X., Xiao, H., Zhang, J., Chen, N., & Li, W. (2022). The Triaxial Test of Polypropylene Fiber Reinforced Fly Ash Soil. Materials, 15(11), 3807. https://doi.org/10.3390/ma15113807
