Research on the Fracture Behavior of Steel-Fiber-Reinforced High-Strength Concrete
Abstract
:1. Introduction
2. Materials and Methods
2.1. Material
2.2. Mix Design
2.3. Specimen Preparation
2.4. Test Method
2.4.1. Three-Point Bending Test Procedure
2.4.2. Test Parameter Calculation
3. Results and Discussions
3.1. Fracture Toughness
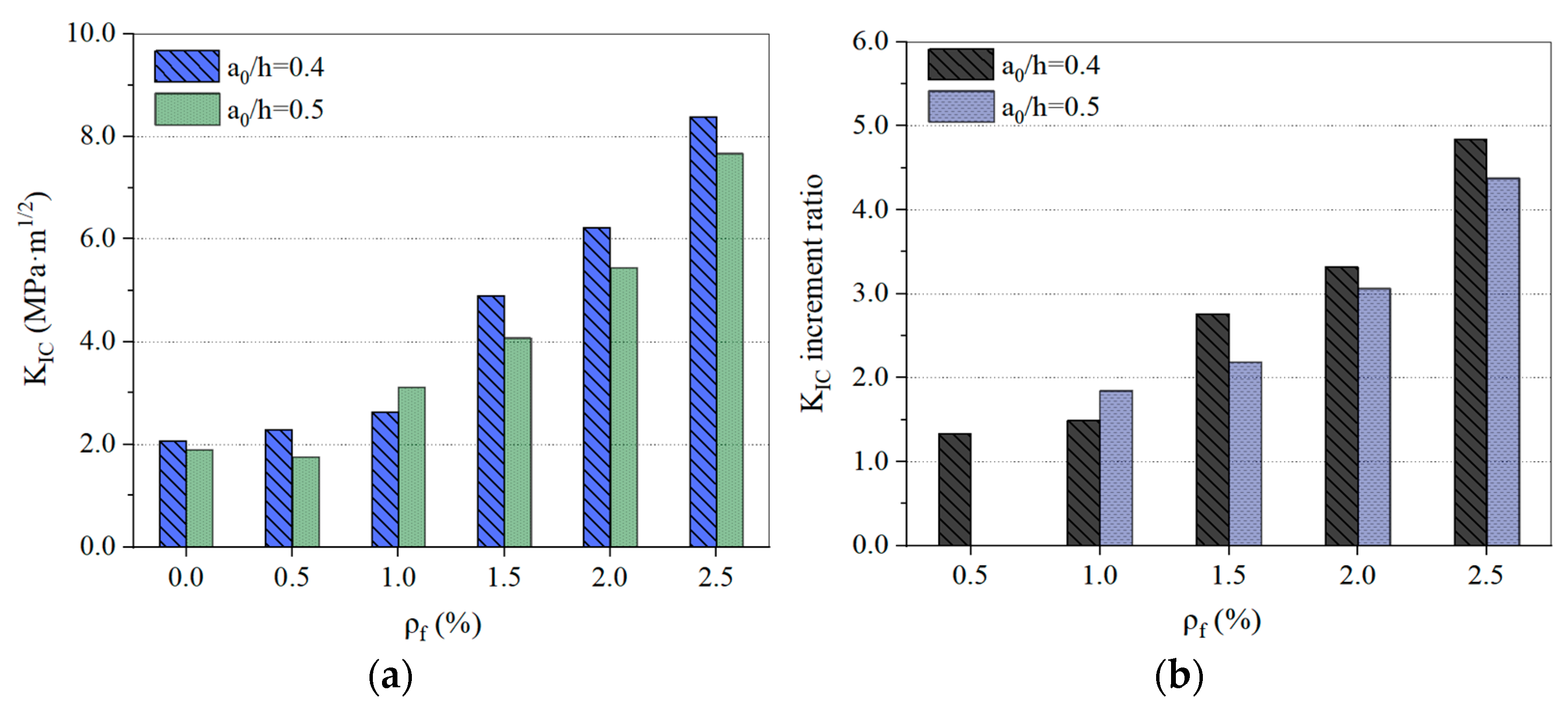
3.1.1. The Effect of ρf on the Fracture Toughness of SFHSC
3.1.2. Effect of Steel Fiber Type on Fracture Toughness of SFHSC
3.1.3. The Influence of Incision Depth on Fracture Toughness of SFHSC
3.2. Fracture Energy
3.2.1. The Effect of ρf on the Fracture Energy of SFHSC
3.2.2. Effect of Steel Fiber Type on the Fracture Energy of SFHSC
3.2.3. The Influence of Incision Depth on Fracture Energy of SFHSC
3.3. Unified Calculation Model of SFHSC Behavior
4. Conclusions
- (1)
- Steel fiber can significantly increase the KIC value of HSC. The ρf increases by 0.5%. When a/h0 = 0.4 and 0.5, KIC increases by 40.7% and 45.7%, respectively, and the average increment ratios are 2.75 and 2.87, respectively.
- (2)
- Steel fiber can more effectively improve the GF of HSC. The addition of steel fiber can significantly increase the HSC fracture energy, and leads to a steeper load–deflection curve ]. The peak load, peak deflection, and ultimate deflection all increase to varying degrees with an increase in ρf.
- (3)
- The BF is most effective for improving the fracture behavior of SHFSC. The KIC values of the BF are 3.62 and 7.41 times those of the MF and SF, respectively. The KIC increment ratios of the BF are 3.17 and 7.77 times those of the MF and SF, respectively. The GF values of the BF are 6.57 and 5.85 times those of the MF and SF, respectively. The GF increment ratios of the BF are 7.06 and 5.67 times those of the MF and SF, respectively.
- (4)
- A change in notch depth has no significant effect on the KIC of HSC specimens. The KIC of SFHSC specimens decreases slightly with an increase in the incision depth.
- (5)
- Based on the statistical analysis of the test results, the calculation models for the fracture parameters of SFHSC with different strengths are obtained. The fracture toughness calculation model is expressed as .The fracture energy calculation model is expressed as .
Author Contributions
Funding
Institutional Review Board Statement
Informed Consent Statement
Data Availability Statement
Conflicts of Interest
References
- Bernal, J.; Reyes, E.; Massana, J.; León, N.; Sánchez, E. Fresh and mechanical behavior of a self-compacting concrete with additions of nano-silica, silica fume and ternary mixtures. Constr. Build. Mater. 2018, 160, 196–210. [Google Scholar] [CrossRef]
- Shen, D.; Liu, X.; Li, Q.; Sun, L.; Wang, W. Early-age behavior and cracking resistance of high-strength concrete reinforced with Dramix 3D steel fiber. Constr. Build. Mater. 2018, 196, 307–316. [Google Scholar] [CrossRef]
- Jin, L.; Zhang, R.; Tian, Y.; Dou, G.; Du, X. Experimental investigation on static and dynamic mechanical properties of steel fiber reinforced ultra-high-strength concretes. Constr. Build. Mater. 2018, 178, 102–111. [Google Scholar] [CrossRef]
- Sun, X.; Gao, Z.; Cao, P.; Zhou, G.; Ling, Y.; Wang, X.; Zhao, Y.; Diao, M. Fracture performance and numerical simulation of basalt fiber concrete using three-point bending test on notched beam. Constr. Build. Mater. 2019, 225, 788–800. [Google Scholar] [CrossRef]
- Mousavi, S.M.; Ranjbar, M.M.; Madandoust, R. Combined effects of steel fibers and water to cementitious materials ratio on the fracture behavior and brittleness of high strength concrete. Eng. Fract. Mech. 2019, 216, 106517. [Google Scholar] [CrossRef]
- Aziminezhad, M.; Mardi, S.; Hajikarimi, P.; Nejad, F.M.; Gandomi, A.H. Loading rate effect on fracture behavior of fiber reinforced high strength concrete using a semi-circular bending test. Constr. Build. Mater. 2020, 240, 117681. [Google Scholar] [CrossRef]
- Xu, B.W.; Shi, H.S. Correlations among mechanical properties of steel fiber reinforced concrete. Constr. Build. Mater. 2009, 23, 3468–3474. [Google Scholar] [CrossRef]
- Kizilkanat, A.B.; Kabay, N.; Akyüncü, V.; Chowdhury, S.; Akça, A.H. Mechanical properties and fracture behavior of basalt and glass fiber reinforced concrete: An experimental study. Constr. Build. Mater. 2015, 100, 218–224. [Google Scholar] [CrossRef]
- Afroughsabet, V.; Ozbakkaloglu, T. Mechanical and durability properties of high-strength concrete containing steel and polypropylene fibers. Constr. Build. Mater. 2015, 94, 73–82. [Google Scholar] [CrossRef]
- Hwang, P.S.S. Mechanical properties of high-strength steel fiber-reinforced concrete. Constr. Build. Mater. 2004, 9, 669–673. [Google Scholar]
- Taha, M.M.R.; Shrive, N.G. Enhancing Fracture Toughness of High-Performance Carbon Fiber Cement Composites. ACI Mater. J. 2001, 98, 168–178. [Google Scholar]
- Hao, Y.; Hao, H. Dynamic compressive behavior of spiral steel fiber reinforced concrete in split Hopkinson pressure bar tests. Constr. Build. Mater. 2013, 48, 521–532. [Google Scholar] [CrossRef]
- RILEM. Determination of the Fracture Energy of Mortar and Concrete by Means of Three-Point Bend Tests on Notched Beams, Draft Recommendation (50-FMC). Mater. Struct. 1985, 18, 484. [Google Scholar] [CrossRef] [Green Version]
- Tschegg, E.K.; Schneemayer, A.; Merta, I.; Rieder, K.A. Energy dissipation capacity of fibre reinforce concrete under biaxial tension–compression load. Part II: Determination of the fracture process zone with the acoustic emission technique. Cem. Concr. Compos. 2015, 62, 187–194. [Google Scholar] [CrossRef]
- Şahin, Y.; Köksal, F. The influences of matrix and steel fibre tensile strengths on the fracture energy of high-strength concrete. Constr. Build. Mater. 2011, 25, 1801–1806. [Google Scholar] [CrossRef]
- Kazemi, M.T.; Fazileh, F.; Ebrahiminezhad, M.A. Cohesive Crack Model and Fracture Energy of Steel-Fiber-Reinforced-Concrete Notched Cylindrical Specimens. J. Mater. Civ. Eng. 2007, 19, 884–890. [Google Scholar] [CrossRef]
- Chalioris, C.E. Analytical approach for the evaluation of minimum fiber factor required for steel fibrous concrete beams under combined shear and flexure. Constr. Build. Mater. 2013, 43, 317–336. [Google Scholar] [CrossRef]
- Chalioris, C.E.; Karayannis, C.G. Effectiveness of the use of steel fibers on the torsional behavior of flanged concrete beams. Cem. Concr. Compos. 2009, 31, 331–341. [Google Scholar] [CrossRef]
- Usman, M.; Farooq, H.S.; Omair, M.; Hanif, A. Axial compressive behavior of confined steel fiber reinforced high strength concrete. Constr. Build. Mater. 2020, 230, 117043. [Google Scholar] [CrossRef]
- Yoo, D.Y.; Yoon, Y.S.; Banthia, N. Predicting the post-cracking behavior of normal- and high-strength steel-fiber-reinforced concrete beams. Constr. Build. Mater. 2015, 93, 477–485. [Google Scholar] [CrossRef]
- Şemsi, Y. Effect of aspect ratio and volume fraction of steel fiber on the mechanical properties of SFRC. Constr. Build. Mater. 2007, 21, 1250–1253. [Google Scholar]
- Zhang, P.; Guan, Y.Q.; Liu, H.C.; Li, F.Q. Study on Notch Sensitivity of Fracture Properties of Concrete Containing Nano-SiO2 Particles and Fly Ash. J. Nanomater. 2013, 2013, 1–7. [Google Scholar]
- Carpinteri, A.; Ingraffea, A.R.; Bazant, Z.P. Fracture Mechanics of Concrete: Material Characterization and Testing. J. Appl. Mech. 1984, 53, 477. [Google Scholar] [CrossRef] [Green Version]
- Hillerborg, A.; Modéer, M.; Petersson, P.E. Analysis of crack formation and crack growth in concrete by means of fracture mechanics and finite elements. Cem. Concr. Res. 1976, 6, 773–781. [Google Scholar] [CrossRef]
- Hillerborg, A. The theoretical basis of a method to determine the fracture energy GF of concrete. Mater. Struct. 1985, 18, 291–296. [Google Scholar] [CrossRef]
- Hu, Y.; Wang, J.; Zhang, C.; Li, H.; Hu, X. Notch sensitivity of reinforced concrete in fracture tests. Eng. Fract. Mech. 1993, 46, 677–681. [Google Scholar] [CrossRef]
- Kovler, Y.V.Z.L. Notch sensitivity of concrete and size effect Part I: Effect of specimen size and crack length by 3-point bending. Cem. Concr. Res. 1985, 6, 979–987. [Google Scholar]
- Ren, X.; Li, J. Multi-scale based fracture and damage analysis of steel fiber reinforced concrete. Eng. Fail. Anal. 2013, 35, 253–261. [Google Scholar] [CrossRef]
- Elik, Z.; Bingl, A.F. Fracture properties and impact resistance of self-compacting fiber reinforced concrete (SCFRC). Mater. Struct. 2020, 53, 1–16. [Google Scholar]
- Jorbat, M.H.; Hosseini, M.; Mahdikhani, M. Effect of polypropylene fibers on the mode I, mode II, and mixed-mode fracture toughness and crack propagation in fiber-reinforced concrete. Theor. Appl. Fract. Mech. 2020, 109, 102723. [Google Scholar] [CrossRef]
- Deng, Z. The fracture and fatigue performance in flexure of carbon fiber reinforced concrete. Cem. Concr. Compos. 2005, 27, 131–140. [Google Scholar] [CrossRef]
- Wu, Z.; Shi, C.; He, W.; Wu, L. Effects of steel fiber content and shape on mechanical properties of ultra high performance concrete. Constr. Build. Mater. 2016, 103, 8–14. [Google Scholar] [CrossRef]
- Güneyisi, E.; Gesoglu, M.; Özturan, T.; Ipek, S. Fracture behavior and mechanical properties of concrete with artificial lightweight aggregate and steel fiber. Constr. Build. Mater. 2015, 84, 156–168. [Google Scholar] [CrossRef]
- Choi, W.-C.; Jung, K.-Y.; Jang, S.-J.; Yun, H.-D. The Influence of Steel Fiber Tensile Strengths and Aspect Ratios on the Fracture Properties of High-Strength Concrete. Materials 2019, 12, 2105. [Google Scholar] [CrossRef] [PubMed] [Green Version]
- Christidis, K.I.; Badogiannis, E.G.; Mintzoli, C. Flexural behavior of pumice lightweight concrete reinforced with end-hooked steel fibres. Structures 2021, 33, 3835–3847. [Google Scholar] [CrossRef]
- Parthiban, P.; Kar, S.; Mondal, A.K.; Gunasekar, S.; Shaisundaram, V. Stress–strain behaviour of (hpfrc) high-performance fibre reinforced concrete: An experimental study. Mater. Today Proc. 2021. [Google Scholar] [CrossRef]
- Kazemi, M.; Golsorkhtabar, H.; Beygi, M.; Gholamitabar, M. Fracture properties of steel fiber reinforced high strength concrete using work of fracture and size effect methods. Constr. Build. Mater. 2017, 142, 482–489. [Google Scholar] [CrossRef]
- Zhang, X.X.; Elazim, A.; Ruiz, G.; Yu, R.C. Fracture behaviour of steel fiber-reinforced concrete at a wide range of loading rates. Int. J. Impact Eng. 2014, 71, 89–96. [Google Scholar] [CrossRef]
- Standard of China Engineering Construction Standardization Association of the People’s Republic of China. Test Method for Steel Fiber Reinforced Concrete, CECS13:89; China Planning Press: Beijing, China, 1989. [Google Scholar]
- Standard of China Engineering Construction Standardization Association of the People’s Republic of China. Standard Test Methods for Fiber Reinforced Conrete, CECS13:09; China Planning Press: Beijing, China, 2009. [Google Scholar]
- Kizilkanat, A.B. Experimental Evaluation of Mechanical Properties and Fracture Behavior of Carbon Fiber Reinforced High Strength Concrete. Period. Polytech. Civ. Eng. 2016, 6, 289–296. [Google Scholar] [CrossRef] [Green Version]
- Qian, C.X.; Stroeven, P. Development of hybrid polypropylene-steel fiber-reinforced concrete. Cem. Concr. Res. 2000, 30, 63–69. [Google Scholar] [CrossRef]
- Wang, X.W.; Tian, W.L.; Fan, L.L.; Zhou, M.J.; Zhao, X.Y. Research on Fracture-CMOD Toughness of Steel Fiber Reinforced Concrete. Adv. Mater. Res. 2010, 168–170, 1784–1787. [Google Scholar] [CrossRef]















| Steel Fiber Type | Average Length lf/mm | Equivalent Diameter df/mm | Aspect Ratio lf/df |
|---|---|---|---|
| Milled steel fiber | 31.312 | 0.9936 | 31.51 |
| Bow steel fiber | 32.426 | 0.5648 | 57.40 |
| Shear corrugated steel fiber | 30.529 | 0.5592 | 54.60 |
| Mix No. | Cement | Water | W/C Ratio | Fine Aggregate | Coarse Aggregate | Superplasticizer (FDN-1) | ρf |
|---|---|---|---|---|---|---|---|
| MF00 | 487 | 146 | 0.3 | 618 | 1199 | 4.87 | 0.0 |
| MFT05-0 | 520 | 156 | 0.3 | 710 | 1065 | 5.20 | 0.0 |
| MFT05 | 520 | 156 | 0.3 | 710 | 1065 | 5.20 | 39.3 |
| MFT10-0 | 547 | 164 | 0.3 | 696 | 1044 | 5.47 | 0.0 |
| MFT10 | 547 | 164 | 0.3 | 696 | 1044 | 5.47 | 78.6 |
| MFT15-0 | 573 | 172 | 0.3 | 682 | 1023 | 5.73 | 0.0 |
| MFT15 | 573 | 172 | 0.3 | 682 | 1023 | 5.73 | 117.9 |
| MFT20-0 | 600 | 180 | 0.3 | 668 | 1002 | 6.00 | 0.0 |
| MFT20 | 600 | 180 | 0.3 | 668 | 1002 | 6.00 | 157.2 |
| MFT25-0 | 627 | 188 | 0.3 | 654 | 981 | 6.27 | 0.0 |
| MFT25 | 627 | 188 | 0.3 | 654 | 981 | 6.27 | 196.5 |
| BFT15-0 | 573 | 172 | 0.3 | 682 | 1023 | 5.73 | 0.0 |
| BFT15 | 573 | 172 | 0.3 | 682 | 1023 | 5.73 | 117.9 |
| SFT15-0 | 573 | 172 | 0.3 | 682 | 1023 | 5.73 | 0.0 |
| SFT15 | 573 | 172 | 0.3 | 682 | 1023 | 5.73 | 117.9 |
| Mix No. | ρf/% | a/h0 | Peak Load Pmax/kN | Subcritical Crack Growth Length Δa/mm | KIC/MPa·m1/2 | GF/N·m−1 | CMODC/mm | CTODC/mm |
|---|---|---|---|---|---|---|---|---|
| MFT00-4 | 0.0 | 0.4 | 3.1555 | 34.25 | 2.0679 | 117.9977 | 0.0903 | 0.0343 |
| MFT00-5 | 0.0 | 0.5 | 2.2942 | 23.34 | 1.8981 | 116.0086 | 0.0852 | 0.0291 |
| MFT05-4 | 0.5 | 0.4 | 3.1915 | 31.68 | 2.2890 | 290.7975 | 0.0980 | 0.0328 |
| MFT05-5 | 0.5 | 0.5 | 1.7311 | 30.73 | 1.7531 | 339.9776 | 0.1039 | 0.0271 |
| MFT05-0-4 | 0.0 | 0.4 | 3.4333 | 20.97 | 1.7222 | 122.8843 | 0.0609 | 0.0212 |
| MFT05-0-5 | 0.0 | 0.5 | * | * | * | * | * | * |
| MFT10-4 | 1.0 | 0.4 | 3.6135 | 30.98 | 2.6288 | 614.5192 | 0.1184 | 0.0372 |
| MFT10-5 | 1.0 | 0.5 | 2.8067 | 29.72 | 3.1170 | 914.7674 | 0.1731 | 0.0834 |
| MFT10-0-4 | 0.0 | 0.4 | 2.6569 | 25.01 | 1.7615 | 97.4028 | 0.0639 | 0.0223 |
| MFT10-0-5 | 0.0 | 0.5 | 1.4566 | 29.50 | 1.6891 | 86.2186 | 0.0887 | 0.0332 |
| MFT15-4 | 1.5 | 0.4 | 3.9438 | 33.53 | 4.8897 | 1023.5237 | 0.2053 | 0.0736 |
| MFT15-5 | 1.5 | 0.5 | 3.2958 | 31.84 | 4.0708 | 1260.7336 | 0.2885 | 0.0976 |
| MFT15-0-4 | 0.0 | 0.4 | 3.4175 | 31.72 | 1.7726 | 104.6507 | 0.0628 | 0.0290 |
| MFT15-0-5 | 0.0 | 0.5 | 2.1774 | 26.63 | 1.8625 | 133.7628 | 0.0849 | 0.0265 |
| MFT20-4 | 2.0 | 0.4 | 4.7587 | 12.56 | 6.2200 | 1924.8270 | 0.3106 | 0.1054 |
| MFT20-5 | 2.0 | 0.5 | 3.3240 | 37.52 | 5.4453 | 1365.6888 | 0.3413 | 0.1199 |
| MFT20-0-4 | 0.0 | 0.4 | 3.3998 | 24.80 | 1.8742 | 157.4831 | 0.0683 | 0.0216 |
| MFT20-0-5 | 0.0 | 0.5 | 2.5554 | 23.77 | 1.7792 | 135.7786 | 0.0888 | 0.0269 |
| MFT25-4 | 2.5 | 0.4 | 6.3708 | 43.43 | 8.3826 | 2842.1893 | 0.4394 | 0.1552 |
| MFT25-5 | 2.5 | 0.5 | 5.0915 | 40.35 | 7.6635 | 2409.6982 | 0.5298 | 0.1833 |
| MFT25-0-4 | 0.0 | 0.4 | 2.9207 | 23.38 | 1.7326 | 118.0064 | 0.0680 | 0.0289 |
| MFT25-0-5 | 0.0 | 0.5 | 2.2196 | 25.03 | 1.7517 | 95.2540 | 0.0820 | 0.0253 |
| BFT15-4 | 1.5 | 0.4 | 9.7843 | 61.05 | 29.5033 | 11,217.1258 | 2.5063 | 0.8449 |
| BFT15-0-4 | 0.0 | 0.4 | 3.2905 | 25.37 | 2.0203 | 120.6065 | 0.0719 | 0.0239 |
| SFT15-4 | 1.5 | 0.4 | 4.0623 | 31.99 | 3.7856 | 1825.1208 | 0.2512 | 0.0480 |
| SFT15-0-4 | 0.0 | 0.4 | 3.0870 | 27.35 | 2.1178 | 117.0248 | 0.0803 | 0.0250 |
Publisher’s Note: MDPI stays neutral with regard to jurisdictional claims in published maps and institutional affiliations. |
© 2021 by the authors. Licensee MDPI, Basel, Switzerland. This article is an open access article distributed under the terms and conditions of the Creative Commons Attribution (CC BY) license (https://creativecommons.org/licenses/by/4.0/).
Share and Cite
Qin, S.; Gao, D.; Wang, Z.; Zhu, H. Research on the Fracture Behavior of Steel-Fiber-Reinforced High-Strength Concrete. Materials 2022, 15, 135. https://doi.org/10.3390/ma15010135
Qin S, Gao D, Wang Z, Zhu H. Research on the Fracture Behavior of Steel-Fiber-Reinforced High-Strength Concrete. Materials. 2022; 15(1):135. https://doi.org/10.3390/ma15010135
Chicago/Turabian StyleQin, Shanming, Danying Gao, Zhanqiao Wang, and Haitang Zhu. 2022. "Research on the Fracture Behavior of Steel-Fiber-Reinforced High-Strength Concrete" Materials 15, no. 1: 135. https://doi.org/10.3390/ma15010135
APA StyleQin, S., Gao, D., Wang, Z., & Zhu, H. (2022). Research on the Fracture Behavior of Steel-Fiber-Reinforced High-Strength Concrete. Materials, 15(1), 135. https://doi.org/10.3390/ma15010135
