Fundamental Investigations of Bond Behaviour of High-Strength Micro Steel Fibres in Ultra-High Performance Concrete under Cyclic Tensile Loading
Abstract
:1. Introduction
2. Experimental Investigations
2.1. Pullout Tests (Groups of Fibres)
2.1.1. Test Specimen, Test Program, and Test Set-Up
2.1.2. Test Results for Monotonic Loading
2.1.3. Test Results for Cyclic Tensile Loading
3. Theoretical Investigations
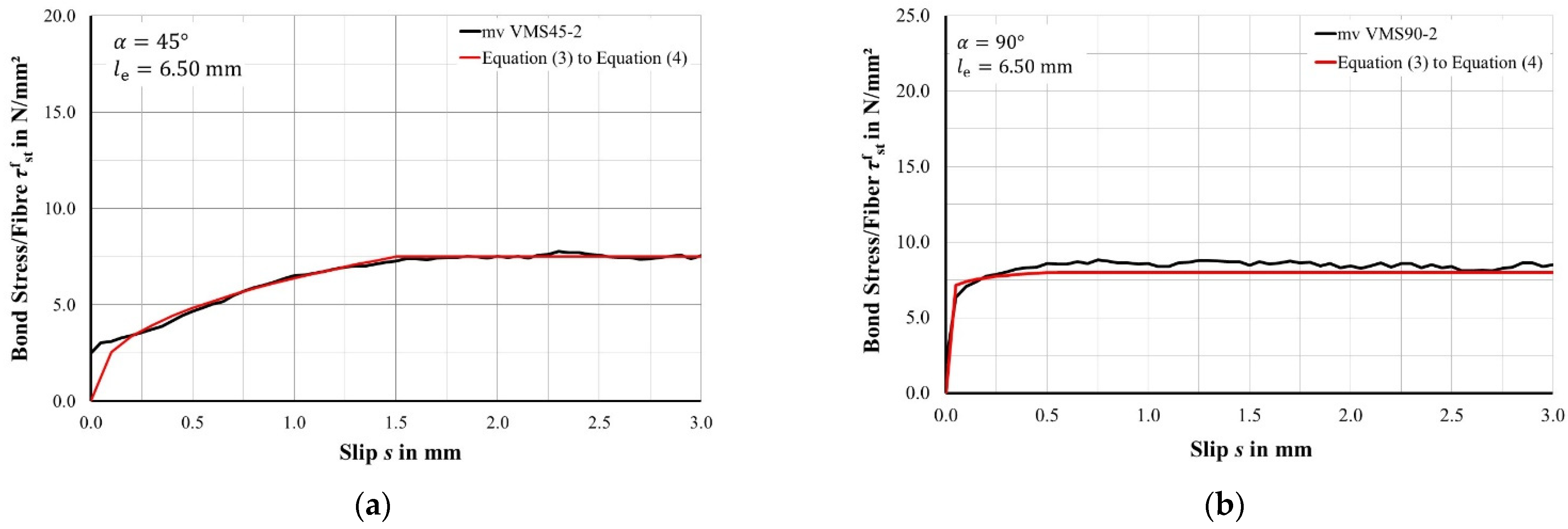
3.1. Bond Stress-Slip Relationship for High-Strength Micro Steel Fibres in UHPC
3.2. S/N-Relationship for Fibre Pullout
4. Numerical Investigations
4.1. Geometric Model to Describe the Fibre-Matrix Composite
4.2. Material Model of Fibre-Matrix Bond Zone
4.3. Numerical Analyses Concerning the Fatigue Behaviour of the Bond Zone
5. Conclusions
- Under monotonic loading continuous pullout always occurred, despite the orientation angle of the fibre. The test results of the cyclic loaded pullout tests show that cyclic loading can lead to fibre rupture.
- An analytical bond stress-slip relationship set up for monotonic loading depends on the angle of fibre orientation.
- The S/N-curve of the pullout tests under cyclic loading shows a correlation between the fatigue resistance respectively to the fatigue degradation and the angle of fibre orientation. Fatigue degradation is higher with a decreasing orientation angle.
- At tensile cyclic loading, the fatigue of the bond resistance starts at the crack surface and propagate during load cycles till the end of fibres. Due to inelastic deformation, residual stresses occur and may influence bond capacity.
- The investigations show that the bond mechanisms adhesion and micro aggregate interlock are decisively influencing the maximum pullout resistance. The maximum pullout resistance is only reached with the beginning of microcrack opening in the matrix, when the detachment of the fibre from the matrix is completed.
Author Contributions
Funding
Acknowledgments
Conflicts of Interest
References
- Schweizerischer Ingenieur- und Architektenverein (SIA). Ultra-High Performance Fiber Reinforced Concrete (UHPFRC)—Materials, Design and Execution; SIA: Zurich, Switzerland, 2016; Volume 1. [Google Scholar]
- Association Francaise de Normalisation (AFNOR). National Addition to Eurocode 2—Design of Concrete Structures: Specific Rules for Ultra-High Performance Fibre-Reinforced Concrete (UHPFRC); AFNOR: Paris, France, 2016. [Google Scholar]
- Japan Society of Civil Engineers (JSCE). Recommendations for design and construction of ultra high strength fiber reinforced concrete structures. In JSCE Guidelines for Concrete No. 9; Niwa, J., Ed.; JSCE: Tokyo, Japan, 2006. [Google Scholar]
- Bandelt, M.J.; Frank, T.E.; Lepech, M.D.; Billington, S.L. Bond behavior and interface modeling of reinforced high-performance fiber-reinforced cementitious composites. Cem. Concr. Compos. 2017, 83, 188–201. [Google Scholar] [CrossRef]
- Marchand, P.; Baby, F.; Khadour, A.; Battesti, T.; Rivillon, P.; Quiertant, M.; Nguyen, H.H.; Généreux, G.; Deveaud, J.P.; Simon, A.; et al. Bond behaviour of reinforcing bars in UHPFRC experimental investigation. Mater. Struct. 2016, 49, 1979–1995. [Google Scholar] [CrossRef]
- Sturm, A.B.; Visintin, P. Local bond slip behavior of steel reinforcing bars embedded in ultra high performance fibre reinforced concrete. Struct. Concr. 2019, 20, 108–122. [Google Scholar] [CrossRef]
- Roy, M.; Hollmann, C.; Wille, K. Influence of volume fraction and orientation of fibers on the pullout behavior of reinforcement bar embedded in ultra high performance. Construct. Build. Mater. 2017, 146, 582–593. [Google Scholar] [CrossRef]
- Wang, D.-D.; Shi, Q.-Q.; Wang, Y.-X.; Kang, S.-B. Evaluation of bond-slip behavior of reinforcement in ultra-high-performance fiber-reinforced concrete. Struct. Concr. 2020, 22, 2391–2406. [Google Scholar] [CrossRef]
- Ranjbarian, M.; Mechtcherine, V.; Storm, J.; Kaliske, M. Influence of fibre orientation on pull-out behaviour of PVA microfibre embedded in cement-based matrix under monotonic and cyclic loading. In Advances in Engineering Materials, Structures and Systems: Innovations, Mechanics and Applications; Zingoni, A., Ed.; CRC Press: Boca Raton, FL, USA, 2019; pp. 1433–1438. [Google Scholar]
- Wille, K.; Naaman, A.E. Effect of Ultra-High-Performance Concrete on Pullout Behaviour of High-Strength Brass-Coated Steel Fibers. ACI Mater. J. 2013, 110, 451–461. [Google Scholar]
- Stengel, T. Verbundverhalten und Mechanische Leistungsfähigkeit von Stahlfasern in Ultrahochfestem Beton [Bond Behaviour and Mechanical Performance of Steel Fibres in Ultra-High Strength Concrete]. Ph.D. Thesis, TU Munich, Munich, Germany, 27 November 2013. [Google Scholar]
- Makita, T. Fatigue Behaviour of UHPFRC and R-UHPFRC—RC Composite Members. Ph.D. Thesis, École Polytechnique Fédérale de Lausanne, Lausanne, Switzerland, 20 March 2014. [Google Scholar]
- Graybeal, B.A.; Hartman, J.L. Ultra-High Performance Concrete Material Properties. In Proceedings of the 2003 Transportation Research Board Conference, Washington, DC, USA, 12–16 January 2003. [Google Scholar]
- Bornemann, R.; Faber, S. UHPC with steel- and non-corroding high-strength polymer fibres under static and cyclic loading. In Proceedings of the International UHPC Symposium, Kassel, Germany, 13–15 September 2004; pp. 673–682. [Google Scholar]
- Fahrat, F.A. High-performance fibre-reinforced cementitious composites (CARDIFRC)—Performance and application to retrofitting. Eng. Fract. Mech. 2007, 74, 151–167. [Google Scholar]
- Behloul, M.; Chanvillard, G.; Piienta, P.; Pineaud, A.; Rivillon, R. Fatigue flexural behavior of pre-cracked specimens of special UHPFRC. In Proceedings of the Seventh International Symposium on the Utilization of High-Strength/High-Performance Concrete, ACI Symposium Publication 228, Washington, DC, USA, 20–24 June 2005; pp. 1253–1268. [Google Scholar]
- Abrishambaf, A.; Pimentel, M.; Nunes, S. A meso-mechanical model to simulate the tensile behaviour of ultra-high performance fibre-reinforced cementitious composites. Compos. Struct. 2019, 222, 110911. [Google Scholar] [CrossRef]
- Cao, Y.Y.Y.; Yua, Q.; Brouwersa, H.; Chenb, W. Predicting the rate effects on hooked-end fiber pullout performance from Ultra-High Performance Concrete. Cem. Concr. Res. 2019, 120, 164–175. [Google Scholar] [CrossRef]
- McSwain, A.C.; Berube, K.A.; Cusatis, G.; Landis, E.N. Confinement effects of fiber pullout forces for ultra-high-performance concrete. Cem. Concr. Compos. 2018, 91, 53–58. [Google Scholar] [CrossRef]
- Lappa, E.S. High Strength Fibre Reinforced Concrete: Static and Fatigue Behaviour in Bending. Ph.D. Thesis, TU Delft, Delft, The Netherlands, 28 June 2007. [Google Scholar]
- De Smedt, M.; de Wilder, K.; Verstrynge, E.; Vandewalle, L. Monotonic and cyclic pull-out behaviour of 3D and 5D hooked-end steel fibres from a concrete matrix. In Proceedings of the 12th Fib International PhD Symposium in Civil Engineering, Prague, Czech Republic, 29–31 August 2018. [Google Scholar]
- Stürwald, S. Versuche zum Biegetragverhalten von UHPC mit Kombinierter Bewehrung [Experiments on the Flexural Behaviour of UHPC with Combined Reinforcement]; Research Report; Fachgebiet Massivbau, Fachbereich Bauingenieurwesen, Universität Kassel: Kassel, Germany, 2011. [Google Scholar]
- Lanwer, J.-P.; Oettel, V.; Empelmann, M.; Höper, S.; Kowalsky, U.; Dinkler, D. Bond behaviour of micro streel fibres embedded in ultra-high performance subjected to monotonic and cyclic loading. Struct. Concr. 2019, 20, 1243–1253. [Google Scholar] [CrossRef]
- Oettel, V.; Lanwer, J.-P.; Empelmann, M. Auszugverhalten von Mikrostahlfasern aus UHPC unter monoton steigender und zyklischer Belastung [Pullout Behaviour of Micro-Steel Fibres from UHPC under Monotonic and Cyclic Loading]. Bauingenieur 2021, 96, 1–10. [Google Scholar] [CrossRef]
- Lanwer, J.-P.; Empelmann, M. Fundamental Investigations on the Performance of Micro Steel Fibres in Ultra-High Performance Concrete under Monotonic and Cyclic Tensile Loading. Appl. Sci. 2021, 11, 9377. [Google Scholar] [CrossRef]
- FIB—Fédération Internationale du Béton. Fib Model Code for Concrete Structures 2010; Ernst & Sohn: Berlin, Germany, 2013. [Google Scholar]
- Höper, S. Modellierung und Numerische Analyse des Faser-Matrix-Verbundes in UHPFRC unter Zugbeanspruchung [Modelling and Numerical Analysis of the Fibre-Matrix-Bond in UHPFRC under Tensile Loading]. Ph.D. Thesis, TU Braunschweig, Braunschweig, Germany, 14 July 2021. [Google Scholar]
- Qi, J.; Wu, Z.; Ma, Z.J.; Wang, J. Pullout behavior of straight and hooked-end steel fibers in UHPC matrix with various embedded angles. Constr. Build. Mater. 2018, 191, 764–774. [Google Scholar] [CrossRef]
- Schäfer, H.A. contribution to the solution of contact problems with the aid of bond elements. Comput. Methods Appl. Mech. Eng. 1975, 6, 335–353. [Google Scholar] [CrossRef]
- Höper, S.; Kowalsky, U.; Dinkler, D. Micro-structure related modelling of ultra-high-performance fiber reinforced concrete (UHPFRC) subjected to cyclic tensile loading. Proc. Appl. Math. Mech. 2018, 18, e201800375. [Google Scholar] [CrossRef]
- Naaman, A.E.; Namur, G.G.; Alwan, J.M.; Najm, H.S. Fiber Pullout and Bond Slip. I: Analytical Study. J. Struct. Eng. 1991, 117, 2769–2790. [Google Scholar] [CrossRef]
- Cox, J.V.; Hermann, L.R. Development of plasticity bond model for steel reinforcement. Mech. Cohes-Frict. Mater. 1998, 3, 155–180. [Google Scholar] [CrossRef]
- Heek, P. Modellbildung und Numerische Analysen zur Ermüdung von Stahlfaserbeton [Modelling and Numerical Analysis of Fatigue of Steel Fibre Reinforced Concrete]. Ph.D. Thesis, Ruhr-Universität Bochum, Bochum, Germany, June 2017. [Google Scholar]
- Lindorf, A. Ermüdung des Verbundes von Stahlbeton unter Querzug [Fatigue of the Composite of Reinforced Concrete under Transverse Tension]. Ph.D. Thesis, TU Dresden, Dresden, Germany, 1 December 2011. [Google Scholar]
- Juhart, J. Adhäsion von UHPC an Stahl und Glas: Ein Beitrag zu Adhäsion und Haftfestigkeit von Hochleistungs- und Ultra-Hochleistungs-Feinkornbeton an Stahl und Glas unterschiedlicher Rauheit [Adhesion of UHPC to Steel and Glass: A Contribution to Adhesion and Bond Strength of High Performance and Ultra High Performance Fine-Grained Concrete to Steel and Glass of Different Roughness]. Ph.D. Thesis, TU Graz, Graz, Austria, June 2011. [Google Scholar]
















| Series | Orientation [°] | Embedded Length 2 [mm] | Load Amplitude | Amount |
|---|---|---|---|---|
| VMS | 30/45/60/75/90 | 6.50/3.25 | - | 30 |
| VMZ | 0.10–0.75 1 | 90 |
| Series | Embedded Length | Embedded Length | F3.25/F6.50 |
|---|---|---|---|
| 3.25 mm | 6.50 mm | - | |
| VMS30 | 376.9 ± 41.2 | 993.6 ± 66.6 | 0.38 |
| VMS45 | 955.3 ± 135.8 | 953.6 ± 151.9 | 1.00 |
| VMS60 | 480.7 ± 71.0 | 1176.3 ± 26.7 | 0.41 |
| VMS75 | 778.8 ± 52.0 | 884.0 ± 77.7 | 0.88 |
| VMS90 | 568.7 ± 42.4 | 1159.1 ± 53.3 | 0.49 |
| Series | ||||
|---|---|---|---|---|
| VMS30 | 30 | 10.0 | 2.00 | 0.60 |
| VMS45 | 45 | 7.5 | 1.50 | 0.40 |
| VMS60 | 60 | 8.0 | 1.00 | 0.20 |
| VMS75 | 75 | 6.0 | 0.75 | 0.10 |
| VMS90 | 90 | 8.0 | 0.50 | 0.05 |
| Parameter | Symbol | Unit | Value |
|---|---|---|---|
| Fibre diameter 1 | mm | 0.19 | |
| Wire length 1 | mm | 16.5 | |
| Embedding fibre length 1 | mm | 6.5 | |
| Matrix radius 1 | mm | 2.0 | |
| Matrix height 1 | mm | 40.0 | |
| Initial Young’s modulus of bond zone | 2 | N/mm2 | 13,000.0 |
| Bond strength (rigid bond) | N/mm2 | 13.0 | |
| Bond strength (sliding bond) | N/mm2 | 10.3 | |
| Coefficient of anisotropy | - | 1.0 | |
| Damage due to debonding | - | 0.002 | |
| Coefficient of friction | - | 0.15 | |
| Coefficient of lateral pressure evolution | - | 0.001 | |
| Damage evolution coefficient | - | 0.025 |
Publisher’s Note: MDPI stays neutral with regard to jurisdictional claims in published maps and institutional affiliations. |
© 2021 by the authors. Licensee MDPI, Basel, Switzerland. This article is an open access article distributed under the terms and conditions of the Creative Commons Attribution (CC BY) license (https://creativecommons.org/licenses/by/4.0/).
Share and Cite
Lanwer, J.-P.; Höper, S.; Gietz, L.; Kowalsky, U.; Empelmann, M.; Dinkler, D. Fundamental Investigations of Bond Behaviour of High-Strength Micro Steel Fibres in Ultra-High Performance Concrete under Cyclic Tensile Loading. Materials 2022, 15, 120. https://doi.org/10.3390/ma15010120
Lanwer J-P, Höper S, Gietz L, Kowalsky U, Empelmann M, Dinkler D. Fundamental Investigations of Bond Behaviour of High-Strength Micro Steel Fibres in Ultra-High Performance Concrete under Cyclic Tensile Loading. Materials. 2022; 15(1):120. https://doi.org/10.3390/ma15010120
Chicago/Turabian StyleLanwer, Jan-Paul, Svenja Höper, Lena Gietz, Ursula Kowalsky, Martin Empelmann, and Dieter Dinkler. 2022. "Fundamental Investigations of Bond Behaviour of High-Strength Micro Steel Fibres in Ultra-High Performance Concrete under Cyclic Tensile Loading" Materials 15, no. 1: 120. https://doi.org/10.3390/ma15010120
APA StyleLanwer, J.-P., Höper, S., Gietz, L., Kowalsky, U., Empelmann, M., & Dinkler, D. (2022). Fundamental Investigations of Bond Behaviour of High-Strength Micro Steel Fibres in Ultra-High Performance Concrete under Cyclic Tensile Loading. Materials, 15(1), 120. https://doi.org/10.3390/ma15010120

